file:///G:/ответы/ангем тема1.html
Вопрос: Уравнение определяет…
Ответ: эллипс с эксцентриситетом 
Вопрос: В треугольнике
известна вершина
и уравнение прямой
:
. Площадьтреугольника равна 6. Тогда длина стороны
равна…
Ответ: 4
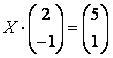
Вопрос: В матричном уравнении
элемент
искомой матрицы равен…
Ответ: 
Вопрос: Уравнением, которому удовлетворяет матрица
, является: (Здесь
– единичная матрица размера
.)
Ответ: 
Вопрос: Общее решение матричного уравнения
имеет вид…
Ответ: 
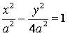
Вопрос: Эксцентриситет гиперболы
равен…
Ответ: 
Вопрос: Эксцентриситет эллипса — это…
Ответ: отношение расстояния от произвольной точки эллипса до фокуса к расстоянию от этой точки до директрисы, односторонней с данным фокусом
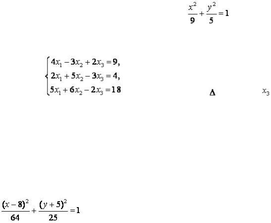
Вопрос: Определитель
равен:
Ответ: 
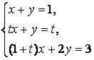
Вопрос: При каком соотношении между числами
система
является совместной?
Стр. 6 из 37 |
11.10.2010 21:17 |
file:///G:/ответы/ангем тема1.html
Ответ: 
Вопрос: Прямые
и
перпендикулярны при…
Ответ: 
Вопрос: Оси эллипса параллельны координатным осям. Даны точки касания эллипса с осями координат:
и
. Найдите фокусы этого эллипса.
Ответ:
Вопрос: Определитель второго порядка равен нулю. Обязательно ли при этом его строки пропорциональны?
Ответ: да, это необходимое и достаточное условие равенства нулю определителя второго порядка
Вопрос: Условием параллельности прямых является…
Ответ: равенство их угловых коэффициентов
Вопрос: Прямая, проходящая через точку
перпендикулярно прямой
, отсекаетот координатного угла треугольник, площадькоторого равна…
Ответ: 
Вопрос: Верно ли утверждение: определитель суммы матриц равен сумме их определителей?
Ответ: неверно
Вопрос: Общим решением системы |
является: |
Ответ: 
Вопрос: Определитель
равен…
Ответ: 
Вопрос: Треугольник
с вершинами
является…
Ответ: остроугольным
Вопрос: Биссектриса
треугольника
, где
определяется уравнением…
Ответ: 
Стр. 7 из 37 |
11.10.2010 21:17 |
file:///G:/ответы/ангем тема1.html
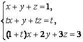
Вопрос: При каких t система
является совместной?
Ответ: при 
Вопрос: Заданы матрицы
и
. Тогда определитель матрицы
равен…
Ответ: 22
Вопрос: Матрица С равна произведению ВА, где
,
. Тогда элемент
равен…
Ответ: 
Вопрос: Уравнение прямой, параллельной прямой
и проходящей через точку с координатами
,
, имеетвид…
Ответ: 
Вопрос: Матрица С равна произведению ВА, где
,
. Тогда элемент
равен…
Ответ: 0
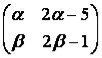
Вопрос: Элемент
матрицы
равен…
Ответ: 
Стр. 8 из 37 |
11.10.2010 21:17 |
file:///G:/ответы/ангем тема1.html
Вопрос: При каких t система
несовместна?
Ответ: ни при каких t
Вопрос: Эксцентриситет гиперболы
равен…
Ответ: 
Вопрос: Определитель
равен:
Ответ: –58
Вопрос: Алгебраическое дополнение
в определителе
равно:
Ответ: 
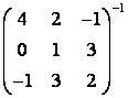
Вопрос: Обратная матрица для
равна:
Ответ: 
Вопрос: Матрица размера
имеет... миноров второго порядка.
Ответ: 3
Вопрос: Известна вершина параллелограмма
и уравнения двух его сторон
,
. Тогда уравнения двух других сторон имеютвид…
Ответ:
Вопрос: Элемент
матрицы
равен…
Стр. 9 из 37 |
11.10.2010 21:17 |
file:///G:/ответы/ангем тема1.html
Ответ: 
Вопрос: Отношение расстояния между фокусами эллипса |
к расстоянию между |
его директрисами равно… |
|
Ответ: 4/9 |
|
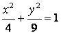
Вопрос: В системе |
главный определитель и значение |
равны … |
Ответ: 
Вопрос: На параболе
взята точка, находящаяся на расстоянии
отдиректрисы параболы. Тогда расстояние от этой точки до вершины параболы равно…
Ответ: 
Вопрос: Оси эллипса параллельны координатным осям. Даны точки касания эллипса с осями координат:
и
. Составьте уравнение этого эллипса.
Ответ:
Вопрос: Составьте уравнение гиперболы, если ее асимптоты задаются уравнениями
и точка
принадлежитгиперболе.
Ответ: 
Вопрос: Определитель
равен…
Ответ: 
Вопрос: Расстояние от точки, лежащей на гиперболе
, до директрисы равно 8. Тогда расстояние от этой точки до фокуса гиперболы, одностороннего с данной директрисой, равно…
Ответ: 10
Стр. 10 из 37 |
11.10.2010 21:17 |