file:///G:/ответы/ангем тема1.html
. Тогда вершина D имеет координаты…
Ответ: 
Вопрос: Пусть в системе 
равно с, где с – произвольная постоянная. Тогда
равно…
Ответ: 
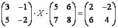
Вопрос: Решением матричного уравнения
является:
Ответ: 
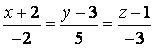
Вопрос: Расстояние между прямыми
и
равно…
Ответ: 3/2
Вопрос: Директрисой эллипса, односторонней с фокусом
является прямая
, а малая полуось эллипса равна 2. Тогда центром эллипса является …
Ответ: точка 
Вопрос: Составьте уравнение параболы, которая симметрична относительно оси ординат, ее фокус находится в точке
, а вершина совпадает с началом координат.
Ответ:
или 
Вопрос: Значение выражения
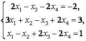
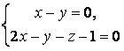
, где
и
– решения системы
равно…
Ответ: 0
Вопрос: Расстояние от фокуса гиперболы
до ее асимптоты равно…
Ответ: 3
Вопрос: Решением матричного уравнения
является:
Стр. 31 из 37 |
11.10.2010 21:17 |
file:///G:/ответы/ангем тема1.html
Ответ: 
Вопрос: Алгебраическое дополнение
для заданной матрицы
равно:
Ответ: 10
Вопрос: Расстояние от директрисы параболы до ее вершины равно 5. Тогда расстояние от директрисы параболы до ее фокуса равно…
Ответ: 10
Вопрос: Уравнением, которому удовлетворяет матрица
, является: (Здесь
– единичная матрица размера
.)
Ответ: 
Вопрос: Угол между прямыми
и
составляет…
Ответ: 
Вопрос: Расстояние от вершины параболы до ее фокуса равно 4. Тогда расстояние отфокуса параболы до ее директрисы равно…
Ответ: 8
Вопрос: Пусть
Какие из
выражений
определены для указанных матриц?
Ответ: 
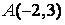
Вопрос: Координаты точки, равноудаленной от точек
и
и лежащей на оси ординат, равны…
Ответ: такой точки нет
Вопрос: Найдите эксцентриситет гиперболы, если ее асимптоты образуют угол в
.
Ответ:
или 
Стр. 32 из 37 |
11.10.2010 21:17 |
file:///G:/ответы/ангем тема1.html
Вопрос: Матрица
, обратная для матрицы
, равна…
Ответ: 
Вопрос: Уравнение
определяет…
Ответ: гиперболу с эксцентриситетом 
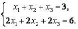
Вопрос: Исследуйте на совместность и решите систему уравнений 
Ответ: совместна и неопределенна, 
Вопрос: Определитель
равен:
Ответ: 1
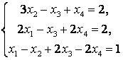
Вопрос: Пусть в системе 
равно с, где с – произвольная постоянная. Тогда
равно…
Ответ: 
Вопрос: Пусть
, а матрица
является ненулевой. Может ли произведение
быть нулевой матрицей?
Ответ: нет, не может
Вопрос: Решением матричного уравнения
является:
Ответ: 
Стр. 33 из 37 |
11.10.2010 21:17 |
file:///G:/ответы/ангем тема1.html
Вопрос: Определитель
равен…
Ответ: 9
Вопрос: Вычислите
, где
.
Ответ: 
Вопрос: Фокусом параболы является точка
, уравнение директрисы имеет вид
. Тогда вершина параболы расположена в точке…
Ответ: 
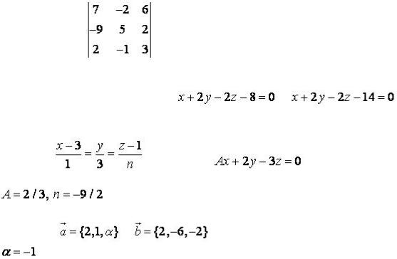
Вопрос: Определитель |
равен… |
|
|
Ответ: 51 |
|
|
|
Вопрос: Расстояние между плоскостями |
и |
равно … |
|
Ответ: 2 |
|
|
|
Вопрос: Прямая |
и плоскость |
|
будутперпендикулярны |
при … |
|
|
|
Ответ: |
|
|
|
Вопрос: Векторы |
и |
ортогональны при … |
|
Ответ: |
|
|
|
Вопрос: Смешанное произведение
векторов
,
,
равно …
Ответ: 1
Вопрос: Направляющим вектором прямой
является вектор с координатами …
Ответ: 
Стр. 34 из 37 |
11.10.2010 21:17 |
file:///G:/ответы/ангем тема1.html
Вопрос: Гиперболоид |
будет поверхностью вращения вокруг оси |
при … |
Ответ: ни при каких 
Вопрос: Параметрические уравнения прямой
имеютвид …
Ответ: 
Вопрос: Векторное произведение
— это …
Ответ: вектор, перпендикулярный векторам
и 
Вопрос: Известно, что некоторый линейный оператор переводитвектор
в вектор
,
а вектор
— в вектор
. Тогда этот оператор переводитвектор
в вектор…
Ответ: 
Вопрос: Вектор
…
Ответ: невозможно представить в виде линейной комбинации векторов
и 
Вопрос: Уравнение плоскости с нормальным вектором
, проходящей через точку
, имеет вид …
Ответ: 
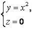
Вопрос: Уравнение поверхности, полученной вращением параболы
вокруг оси
, имеет вид …
Ответ: 
Вопрос: В линейном пространстве геометрических векторов, перпендикулярных некоторой заданной прямой, базисом являются …
Ответ: любые два неколлинеарных вектора, перпендикулярных данной прямой
Вопрос: Плоскости
и
параллельны при …
Ответ: 
Стр. 35 из 37 |
11.10.2010 21:17 |