file:///G:/ответы/ангем тема1.html
Вопрос: Пусть матрица
имеетпорядок
, и
. Определитель матрицы
равен:
Ответ: 500
Вопрос: Уравнения асимптотгиперболы
имеютвид…
Ответ: 
Вопрос: Определитель
равен:
Ответ: 60
Вопрос: Среди перечисленных ниже пар прямых перпендикулярными являются…
Ответ:
и 
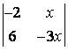
Вопрос: Определитель
равен:
Ответ: 
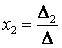
Вопрос: Точка С, делящая отрезок
и
в отношении
, имеет координаты…
Ответ: 
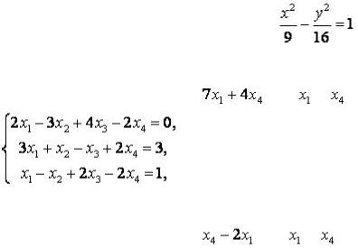
Вопрос: Решением уравнения
является:
Ответ: 
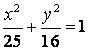
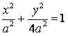
Вопрос: Эксцентриситет эллипса
равен…
Ответ: 
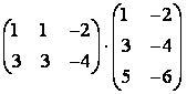
Вопрос: Определитель произведения
равен…
Ответ: 12
Вопрос: Определитель квадратной матрицы при ее транспонировании...
Ответ: не меняется
Стр. 26 из 37 |
11.10.2010 21:17 |
file:///G:/ответы/ангем тема1.html
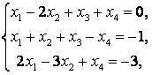
Вопрос: Решением системы уравнений
является:
Ответ: 
Вопрос: Если
, то произведение
равно:
Ответ: 
Вопрос: Найдите эксцентриситет эллипса
.
Ответ: 
Вопрос: Высота
треугольника
, где
определяется уравнением…
Ответ:
Вопрос: Определитель
в формуле Крамера
для системы
равен…
Ответ: 117
Вопрос: Элемент
матрицы
равен…
Ответ: 0
Вопрос: Все элементы матрицы
являются целыми числами. При каком условии все элементы обратной матрицы
также являются целыми числами?
Ответ: если определитель матрицы
равен 
Вопрос: Решением системы уравнений
является:
Ответ: 
Стр. 27 из 37 |
11.10.2010 21:17 |
file:///G:/ответы/ангем тема1.html
Вопрос: Определитель
равен:
Ответ: 
Вопрос:
— матрица размера
, ее определитель равен 2. Определитель матрицы
равен:
Ответ: 
Вопрос: Середины сторон треугольника имеюткоординаты
,
и
. Тогда периметр этого треугольника равен…
Ответ: 
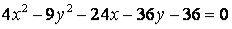
Вопрос: Расстояние от фокуса гиперболы |
|
до ее асимптоты равно… |
|
Ответ: 4 |
|
|
|
Вопрос: Значение выражения |
, где |
и |
– решения системы |
равно… |
|
|
|
Ответ: 5 |
|
|
|
Вопрос: Значение выражения |
, где |
и |
– решения системы |
равно…
Ответ: 4
Вопрос: Как расположены точки
и
относительно прямых
и
?
Ответ: В одном и том же углу, образованном этими прямыми
Вопрос: Определитель
равен:
Ответ: 
Вопрос: Если определительквадратной однородной системы отличен отнуля, то эта система…
Стр. 28 из 37 |
11.10.2010 21:17 |
file:///G:/ответы/ангем тема1.html
Ответ: … имеет только тривиальное решение
Вопрос: Элемент
матрицы
, обратной матрице
, равен:
Ответ: 
Вопрос: Пусть
. Решением матрицы
, где
– единичная матрица размера
, является:
Ответ: 
Вопрос: Заданы матрицы
и
. Тогда определительматрицы
равен…
Ответ: 7
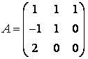
Вопрос: Найти фундаментальную систему решений и общее решение однородной системы,
заданной матрицей
.
Ответ:
Вопрос: Определитель
равен…
Ответ: 
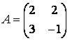
Вопрос: Матрица С равна произведению ВА, где
,
Стр. 29 из 37 |
11.10.2010 21:17 |
file:///G:/ответы/ангем тема1.html
. Тогда элемент
равен…
Ответ: 
Вопрос: Расстояние от точки
, лежащей на параболе, до фокуса этой параболы равно 4.
Чему равно расстояние отточки
до директрисы этой параболы?
Ответ: 4
Вопрос: Определитель произведения
равен…
Ответ: 36
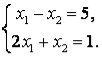
Вопрос: Решением системы
является набор чисел…
Ответ: 
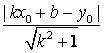
Вопрос: Расстояние от точки
до прямой
равно…
Ответ: 
Вопрос: Определитель
равен…
Ответ: 
Вопрос: Определитель матрицы
равен…
Ответ:
Вопрос: Алгебраическое дополнение
для матрицы
равно…
Ответ: –2
Вопрос: Заданы координаты трех последовательных вершин параллелограмма
:
Стр. 30 из 37 |
11.10.2010 21:17 |