file:///G:/ответы/ангем тема1.html
Вопрос: Элемент
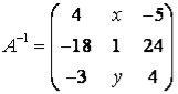
матрицы
, обратной матрице
, равен:
Ответ: 
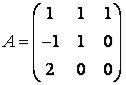
Вопрос: Ранг матрицы
равен:
Ответ: 3
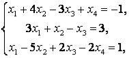
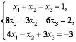
Вопрос: Найдите фундаментальную систему решений и общее решение системы уравнений
Ответ: 
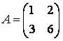
Вопрос: Матрица
является невырожденной для...
Ответ: 
Вопрос: Точка, симметричная точке
относительно прямой
, имеет координаты…
Ответ: 
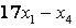
Вопрос: Значение выражения
, где
и
– решения системы
равно…
Ответ: 23
Вопрос: Угол
в треугольнике с вершинами
равен…
Ответ: 
Стр. 16 из 37 |
11.10.2010 21:17 |
file:///G:/ответы/ангем тема1.html
Вопрос: Решением уравнения
является:
Ответ: 
Вопрос: Уравнение директрисы эллипса имеетвид
, а координаты центра
. Тогда уравнение второй директрисы имеет вид…
Ответ: 
Вопрос: Определитель
в формуле Крамера
для системы
равен…
Ответ: 8
Вопрос: Переменными в системе
, которые могутбытьвыбраны произвольно, являются:
Ответ: 
Вопрос: Пусть
. Матрицей, удовлетворяющей уравнению
, является:
Ответ: 
Вопрос: Запишите уравнение директрисы параболы
.
Ответ: 
Вопрос: Оси эллипса параллельны координатным осям. Даны точки касания эллипса с осями координат:
и
. Найдите эксцентриситет эллипса.
Ответ:
Вопрос: Для того, чтобы произведение двух квадратных матриц было вырожденной матрицей…
Ответ: необходимо и достаточно, чтобы хотя бы одна из матриц-сомножителей была вырожденной
Стр. 17 из 37 |
11.10.2010 21:17 |
file:///G:/ответы/ангем тема1.html
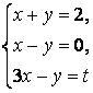
Вопрос: При каких t система
является совместной?
Ответ: при 
Вопрос: Площадь трапеции
, где
, составляет…
Ответ: 6 кв.ед.
Вопрос: Произведение матриц
, если
, равно:
Ответ: 
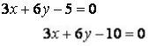
Вопрос: Одно из оснований трапеции лежит на прямой
, а второе — на прямой
. Тогда средняя линия трапеции лежит на прямой…
Ответ:
Вопрос: Матрица
будетобратной для
при
Ответ: 
Вопрос: Уравнение
…
Ответ: не определяет ни одной точки
Вопрос: Значение выражения
, где
и
– решения системы
равно…
Ответ: 
Вопрос: Центр эллипса расположен в точке
, расстояние между его фокусами равно 8,
а уравнение одной из директрис имеетвид
. Тогда малая ось эллипса равна…
Ответ: 4
Вопрос: Определитель третьего порядка равен двум. Могут ли все его миноры быть четными?
Ответ: нет, не могут
Стр. 18 из 37 |
11.10.2010 21:17 |
file:///G:/ответы/ангем тема1.html
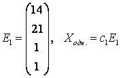
Вопрос: Пусть в системе 
равно
, где с – произвольная постоянная. Тогда
равно…
Ответ: 
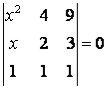
Вопрос: Определитель
равен…
Ответ: 
Вопрос: Прямая
отсекаетот координатного угла треугольник, площадь которого равна…
Ответ: 12
Вопрос: Определитель
равен…
Ответ: 
Вопрос: Составьте уравнение гиперболы, если ее асимптоты
и расстояние между фокусами, лежащими на оси ординат, равно 10.
Ответ: 
Вопрос: Элемент
матрицы
равен…
Ответ: 
Вопрос: Уравнение
определяет…
Ответ: пару прямых
Вопрос: Определитель
равен:
Ответ: 0
Стр. 19 из 37 |
11.10.2010 21:17 |
file:///G:/ответы/ангем тема1.html
Вопрос: Точка пересечения медиан треугольника
, где имеет координаты…
Ответ: 
Вопрос: Определитель
равен…
Ответ: 
Вопрос: Уравнением гиперболы с фокусами
,
и эксцентриситетом, равным 2, является…
Ответ: 
Вопрос: При перестановке двух строк определитель…
Ответ: … меняет знак.
Вопрос: Матрица размера
можетиметьлинейно-независимых столбцов ...
Ответ: не более трех
Вопрос: В системе
главный определитель
и значение
равны …
Ответ: 
Вопрос: Точки
…
Ответ: лежат на одной прямой
Вопрос: Расстояние от точки, лежащей на гиперболе
, до директрисы равно 6. Тогда расстояние от этой точки до фокуса гиперболы, одностороннего с данной директрисой, равно…
Ответ: 10
Вопрос: Прямая, проходящая через точку
параллельно прямой
, отсекаетот координатного угла треугольник, площадькоторого равна…
Ответ: 
Вопрос: Даны середины сторон треугольника
,
и
. Тогда вершинами этого треугольника являются точки…
Стр. 20 из 37 |
11.10.2010 21:17 |