file:///G:/ответы/ангем тема1.html
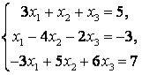
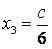
Вопрос: Пусть в системе 
, где с – произвольная постоянная. Тогда
равно…
Ответ: 
Вопрос: Асимптотами гиперболы являются прямые
и
, а координаты одного из фокусов
. Тогда координаты другого фокуса…
Ответ: 
Вопрос: Ранг матрицы
равен:
Ответ: 2
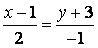
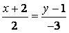
Вопрос: Угол между прямыми
и
равен…
Ответ: 
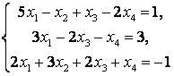
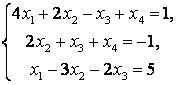
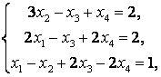
Вопрос: Значение выражения
, где
и
– решения системы
равно…
Ответ: 10
Вопрос: Точки
и
расположены относительно прямой
…
Ответ: по разные стороны, причем начало координат лежит в одной полуплоскости с точкой А
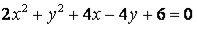
Вопрос: Найдите эксцентриситет гиперболы
.
Ответ: 
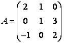
Вопрос: Элемент
матрицы
равен…
Стр. 1 из 37 |
11.10.2010 21:17 |
file:///G:/ответы/ангем тема1.html
Ответ: 
Вопрос: Условием перпендикулярности прямых является…
Ответ: равенство произведения их угловых коэффициентов минус единице
Вопрос: Определитель произведения
равен…
Ответ: 4
Вопрос: Матрица С равна произведению ВА, где
,
. Тогда элемент
равен…
Ответ: 
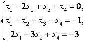
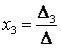
Вопрос: Определитель
в формуле Крамера
для системы
равен…
Ответ: 
Вопрос: Элемент
матрицы
равен…
Ответ: 
Вопрос: Фокусы эллипса расположены в точках
и
. Тогда центр этого эллипса находится в точке…
Ответ: 
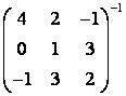
Вопрос: Определитель матрицы
равен двум. Определитель обратной матрицы
равен:
Ответ: 
Стр. 2 из 37 |
11.10.2010 21:17 |
file:///G:/ответы/ангем тема1.html
Вопрос: Матрица
равна…
Ответ: 
Вопрос: Невырожденной матрицей называется...
Ответ: квадратная с определителем, отличным от нуля
Вопрос: Эксцентриситет эллипса
может приниматьзначения
Ответ: 
Вопрос: Пусть в системе 
, где с – произвольная постоянная.
Тогда
равно…
Ответ: 
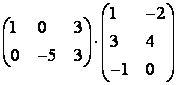
Вопрос: Произведение матриц
равно…
Ответ: 
Вопрос: Прямые
и
параллельны при …
Ответ: 
Вопрос: Определитель
равен…
Ответ: 
Стр. 3 из 37 |
11.10.2010 21:17 |
file:///G:/ответы/ангем тема1.html
Вопрос: Матрица
, обратная для матрицы
, равна…
Ответ: 
Вопрос: Матрица
, обратная для матрицы
, равна…
Ответ: 
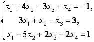
Вопрос: Значение выражения
, где
и
– решения системы
равно…
Ответ: 
Вопрос: Уравнение параболы с фокусом
и директрисой
имеет вид…
Ответ: 
Вопрос: Система линейных уравнений является несовместной, если...
Ответ: ранг расширенной матрицы больше ранга матрицы системы
Вопрос: Определитель
равен…
Ответ: 
Вопрос: К первой строке определителя, умноженной на 2, прибавили вторую, умноженную на 3. Определительпри этом...
Ответ: увеличился вдвое
Вопрос: Пусть в системе 
равно с, где с – произвольная
Стр. 4 из 37 |
11.10.2010 21:17 |
file:///G:/ответы/ангем тема1.html
постоянная. Тогда
равно…
Ответ: 
Вопрос: Уравнение
…
Ответ: определяет точку 
Вопрос: Общим решением неоднородной системы уравнений, заданной следующей
расширенной матрицей
, является:
Ответ:
Вопрос: Определитель равен:
Ответ: 
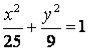
Вопрос: Расстояние от точки, лежащей на эллипсе
, до директрисы равно 5. Тогда расстояние от этой точки до фокуса эллипса, одностороннего с данной директрисой, равно…
Ответ: 4
Вопрос: Определитель
равен…
Ответ: 
Вопрос: В матричном уравнении
элемент
искомой матрицы равен…
Ответ: 
Стр. 5 из 37 |
11.10.2010 21:17 |