file:///G:/ответы/ангем тема1.html
Вопрос: Определитель
равен…
Ответ: 0
Вопрос: Составьте уравнение параболы с вершиной в начале координат, осью которой служитосьабсцисс, а расстояние отфокуса до вершины равно 4.
Ответ:
или 
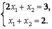
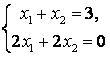
Вопрос: Решением системы уравнений
является:
Ответ: 
Вопрос: Найдите эксцентриситет гиперболы, если расстояние между ее директрисами вдвое меньше расстояния между вершинами.
Ответ: 
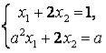
Вопрос: Система
имеетнетривиальное решение...
Ответ: при 
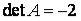
Вопрос: Определитель
равен…
Ответ: 
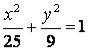
Вопрос: Найдите координаты центра эллипса
.
Ответ: (2,–3)
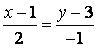
Вопрос: Тангенс угла между прямыми
и
можно найти по формуле…
Ответ: 
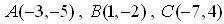
Вопрос: Координаты точки пересечения высоттреугольника
, где
, равны…
Ответ: 
Вопрос: Наибольшая сторона треугольника
с вершинами
Стр. 11 из 37 |
11.10.2010 21:17 |
file:///G:/ответы/ангем тема1.html
равна…
Ответ: 10
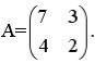
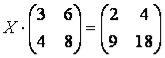
Вопрос: Найдите матрицу, обратную к матрице 
Ответ: 
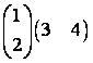
Вопрос: Произведение
равно:
Ответ: 
Вопрос: Заданы матрицы
и
. Тогда определительпроизведения
равен…
Ответ: 
Вопрос: Точка пересечения диагоналей параллелограмма, две стороны которого лежат на прямых
и
, принадлежитпрямой…
Ответ: 
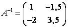
Вопрос: Матрица
, обратная для матрицы
, равна…
Ответ: 
Вопрос: Матрица С равна произведению ВА, где
,
. Тогда элемент
равен…
Стр. 12 из 37 |
11.10.2010 21:17 |
file:///G:/ответы/ангем тема1.html
Ответ: 0
Вопрос: Точки
и
симметричны относительно…
Ответ: прямой 
Вопрос: Найдите эксцентриситет эллипса, если расстояние между директрисами в 3 раза больше расстояния между фокусами.
Ответ: 
Вопрос: В треугольнике
известна точка
и уравнение прямой
:
. Тогда средняя линия треугольника, проходящая через середины сторон
и
, лежит на прямой…
Ответ: 
Вопрос: Медиана
треугольника
, где
определяется уравнением…
Ответ: 
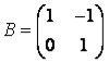
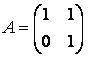
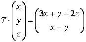
Вопрос: Пусть
. Матрицей
, удовлетворяющей равенству
, является:
Ответ: 
Вопрос: Угол между прямой
и осью
равен…
Ответ: 
Вопрос: Определитель
равен…
Ответ: 
Вопрос: Выразите x через y и s из системы 
Ответ: 
Вопрос:
— матрица размера
, ее определительравен 5. Определительматрицы
равен:
Ответ: 45
Стр. 13 из 37 |
11.10.2010 21:17 |
file:///G:/ответы/ангем тема1.html
Вопрос: Матрица
равна…
Ответ: 
Вопрос: Решением системы уравнений
методом Гаусса является:
Ответ: система несовместна
Вопрос: Система
является несовместной при...
Ответ: 
Вопрос: Значение выражения
, где
и
– решения системы
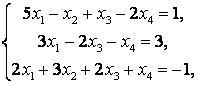
равно…
Ответ: 19
Вопрос: Определитель матрицы
, если
, равен:
Ответ: 
Вопрос: В матричном уравнении
элемент
искомой матрицы…
Ответ: может быть выбран произвольно
Вопрос: Система
имеет ранг, равный…
Ответ: 3
Стр. 14 из 37 |
11.10.2010 21:17 |
file:///G:/ответы/ангем тема1.html
Вопрос: Равенство
верно при всех
если матрица
равна…
Ответ: 
Вопрос: Уравнение прямой, проходящей через точки
и
имеетвид…
Ответ: 
Вопрос: Составьте каноническое уравнение эллипса с расстоянием между фокусами 8 и большой осью 10.
Ответ: 
Вопрос: Коэффициент при
в многочлене, который получается при вычислении
определителя
равен:
Ответ: 1
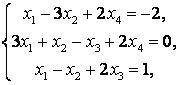
Вопрос: Значение выражения
, где
и
– решения системы
равно…
Ответ: 9
Вопрос: Одно из оснований трапеции лежит на прямой
, а средняя линия лежитна прямой
. Тогда второе основание лежитна прямой…
Ответ: 
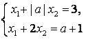
Вопрос: Система
является неопределенной при...
Ответ: 
Вопрос: Составьте уравнение параболы, фокус которой находится в точке
, а директрисой служитосьординат.
Ответ: 
Стр. 15 из 37 |
11.10.2010 21:17 |