file:///G:/ответы/ангем тема1.html
Вопрос: Система
является совместной, если между числами a, b и c выполняется соотношение…
Ответ: 
Вопрос: Матрица С равна произведению BA, где
,
. Тогда элемент
равен…
Ответ: 
Вопрос:
— матрица размера
, ее определитель равен 2. Тогда определитель матрицы
равен…
Ответ: 
Вопрос: Точки
и
симметричны относительно…
Ответ: прямой 
Вопрос: Матрица
будетобратной для
при…
Ответ: 
Вопрос: Асимптоты гиперболы взаимно перпендикулярны. Тогда ее эксцентриситетравен…
Ответ: 
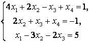
Вопрос: Значение выражения
, где
и
– решения системы
равно…
Ответ: 
Вопрос: В треугольнике
известна точка
и уравнение прямой
:
. Тогда средняя линия треугольника, проходящая через середины сторон
и
, лежит на прямой…
Стр. 36 из 37 |
11.10.2010 21:17 |
file:///G:/ответы/ангем тема1.html
Ответ: 
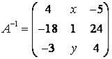
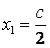
Вопрос: Пусть в системе 
, где с – произвольная постоянная.
Тогда
равно…
Ответ: 
Копырайт Мыкола Троекуров
Стр. 37 из 37 |
11.10.2010 21:17 |