|
|
продолжение табл. 1 |
|
|
|
1 |
2 |
3 |
Н2 |
Париетальные клетки |
Повышение секреторной |
|
слизистой оболочки |
активности |
|
желудка |
|
|
|
|
|
Секреторные клетки |
Повышение секреторной |
|
слюнной железы |
активности |
|
Поджелудочная железа |
Стимуляция секреции |
|
|
панкреатического |
|
|
полипептида |
|
Сердце |
Снижение тонуса миокарда |
|
|
|
|
Гладкие мышцы стенки |
Снижение тонуса |
|
артерий |
|
|
|
|
|
Миометрий |
Угнетение сократительной |
|
|
активности |
|
|
|
|
Тканевые базофильные |
Угнетение дегрануляции |
|
гранулоциты |
(регуляция высвобождения |
|
|
гистамина по обратной |
|
|
связи) |
|
Базофильные |
Снижение хемотаксиса. |
|
гранулоциты крови |
Угнетение высвобождения |
|
|
лизосомных ферментов |
|
Нейтрофильные |
Снижение цитотоксической |
|
гранулоциты |
активности, уменьшение |
|
Т-лимфоциты |
продукции фактора, |
|
|
который угнетает |
|
|
миграцию макрофагов |
|
|
|
|
Жировая ткань |
Повышение |
|
|
высвобождения жирных |
|
|
кислот |
|
Рецепторы |
Угнетение высвобождения |
|
симпатических нервов |
катехоламинов |
|
|
|
|
Нейроны ЦНС |
Медиация возбуждения |
|
|
ЦНС |
Н3 |
Нейроны ЦНС |
Угнетение высвобождения |
|
|
медиаторов в синапсах |
196
В медицинской практике применяются лекарственные препараты, которые являются антогонистами гистаминовых рецепторов.
1. Антогонисты гистаминовых Н1-рецепторов: применяются при аллергических состояниях различного происхождения, при бронхиальной астме.
По химическому строению современные блокаторы Н1-рецепторов подразделяют на производные 8 :
1. этаноламина – димедрол (дифенгидрамина гидрохлорид), тавегил
(клемастин);
2.этилендиамина – супрастин (хлоропирамин);
3.фенотиазина – дипразин (прометазина гидрохлорид);
4.хинуклидина – фенкарол (квифенадин);
5.тетрагидрокардолина – диазолин (мебгидролина нападисилат);
6.пиперидина – терфенадин (селдан), лоратидин (кларитин).
Химическое |
|
|
|
|
|
|
строение |
|
некоторых |
|
блокаторов |
гистаминовых |
|||||||||||||||
Н1-рецепторов приведено на рисунке 6: |
|
|
|
||||||||||||||||||||||||
|
|
|
|
|
|
|
|
|
|
|
H |
|
|
|
|
|
|
|
|
CH3 . HCl |
|
|
|
||||
|
|
|
|
|
|
|
|
|
|
|
|
|
|
|
|
|
|
|
|
|
|
||||||
|
|
|
|
|
|
|
|
|
|
|
|
|
|
|
|
|
|
|
|
|
|
|
|
|
|
|
|
|
|
|
|
|
|
|
|
|
|
|
С |
|
|
|
|
|
|
O - CH2 - CH2 - N |
|
|
|
||||||
|
|
|
|
|
|
|
|
|
|
|
|
|
|
|
|
|
|
|
|
||||||||
|
|
|
|
|
|
|
|
|
|
||||||||||||||||||
|
|
|
|
|
|
|
|
|
|
|
|
|
|
|
|||||||||||||
|
|
|
|
|
|
|
|
|
|
|
|
|
|
|
|
|
|
|
|
|
|
|
|
CH3 |
(а) |
|
|
|
|
|
|
|
|
|
|
|
|
|
|
|
|
|
|
N |
|
|
|
|
|||||||
|
|
|
|
|
|
|
|
|
|
|
|
|
|
|
|
|
|
|
|
||||||||
|
|
|
|
|
|
|
|
|
|
|
|
|
|
|
|
|
CH3 . HCl |
|
|
||||||||
|
|
|
|
|
|
|
|
|
|
|
|
|
|
|
|
|
|
|
|||||||||
|
|
|
|
|
|
|
|
|
|
|
|
|
|
|
|
|
|
|
|
|
|
N - CH - CH - N |
|
|
|||
|
|
|
|
|
|
|
|
|
|
|
|
|
|
|
|
|
|
|
|
|
|
|
|
||||
|
|
|
|
|
|
|
|
|
|
|
|
|
|
|
|
|
|
|
|
|
|
||||||
|
|
|
|
|
|
|
|
|
|
|
|
|
|
|
|
|
|
|
|
|
|
||||||
|
|
|
|
|
|
|
|
|
|
|
|
|
|
|
|
2 |
2 |
|
|
|
|
||||||
Cl |
|
|
|
|
|
|
|
|
|
|
CH2 |
|
CH3 |
(б) |
|
|
|||||||||||
|
|
|
|
|
|
|
|
|
|||||||||||||||||||
|
|
|
|
|
|
|
|
|
|
|
|
|
|
|
|
|
|
|
|
|
|
|
|
|
|
|
|
|
|
|
|
|
|
|
|
|
|
|
|
|
|
|
|
|
|
|
|
|
|
|
|
|
|
|
|
|
|
|
|
|
|
|
|
S |
|
|
|
|
|
|
|
|
|
|
|
||||||||
|
|
|
|
|
|
|
|
|
|
|
|
|
|
|
|
|
|
|
|
||||||||
|
|
|
|
|
|
|
|
|
|
|
|
|
|
|
|
|
|
|
|
|
|
. HCl |
|
|
|
|
|
|
|
|
|
|
|
|
|
|
|
|
|
|
|
|
|
|
|
|
|
|
|
|
|
|
|
|
|
|
|
|
|
|
|
|
|
N |
|
|
|
|
|
|
|
|
|
|
|
|
|||||||
|
|
|
|
|
|
|
|
|
|
|
|
|
|
|
|
|
|
|
|
|
|
CH3 |
|
|
|
|
|
|
|
|
|
|
|
|
|
|
|
|
|
|
|
|
|
|
|
|
|
|
|
|
|
|
|
|
|
|
|
|
|
|
|
|
|
CH2 - CH - N |
|
|
|
|
|
||||||||||||||
|
|
|
|
|
|
|
|
|
|
|
|
|
|
|
|
|
|
|
|
|
|
CH3 |
|
|
|
|
|
|
|
|
|
|
|
|
|
|
|
|
|
|
|
|
|
|
|
|
|
|
|
|
|
|
|
|
|
|
|
|
|
|
|
|
|
|
|
|
|
|
|
|
|
CH3 |
|
|
(в) |
|
|
||||||
|
|
|
|
|
|
|
|
|
|
|
|
|
|
|
|
|
|
|
|
|
|
|
|
|
|
|
|
|
|
|
|
|
|
|
|
Рис. 6 Строение димедрола (а), супрастина (б), дипразина (в) |
|||||||||||||||||||
197
2. Антогонисты гистаминовых Н2-рецепторов: применяются для уменьшения секреции соляной кислоты при язвенной болезни желудка и двенадцатиперстной кишки (циметидин, ранитидин, фамотидин, низатидин),
химическое строение которых представлено в таблице 2 6 .
Таблица 2
Блокаторы гистаминовых Н2-рецепторов
Название лекарственных |
Химическое строение |
средств |
|
Циметидин |
|
Ранитидин
Фамотидин
Низатидин
Примечание Исторический пример: открытие и внедрение антагонистов
Н2-рецепторов 6
Идея. Блокаторы Н2-рецепторов сегодня являются лекарствами с наибольшим объемом продаж в мире. Их открытие началось с наблюдения, что гистамин является мощным стимулятором секреции желудка и что классические антигистаминные препараты (известные теперь как блокаторы Н1-рецепторов) не подавляют это действие. Для Джеймса Блэка, создавшего к этому времени первый
198
клинически значимый блокатор β-адренорецепторов, это означало, что могут существовать разные подтипы гистаминовых рецепторов, выполняющие различные функции, и что их можно избирательно возбуждать или блокировать с помощью фармакологических средств.
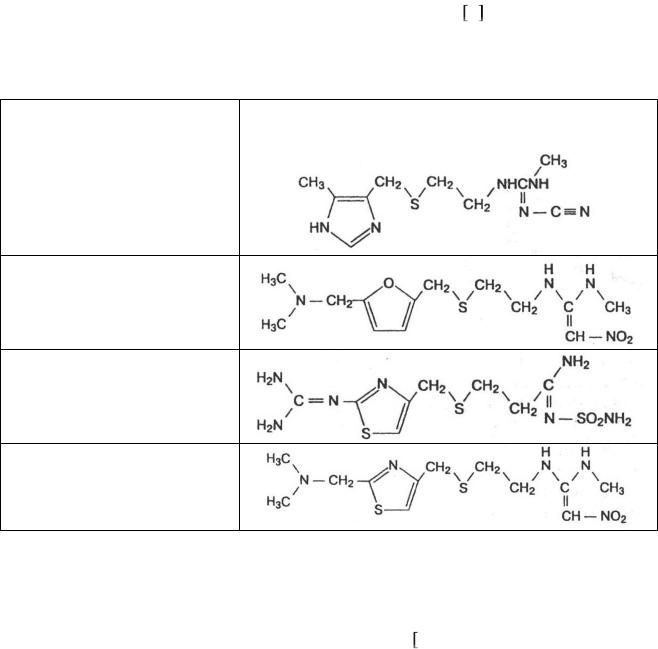
Таблица 3
История создания блокаторов Н2-рецепторов 6
Соединение и характеристики |
Структура |
Гистамин |
|
Исходное вещество |
|
|
|
N-гуанилгистамин |
|
Первое активное производное. |
|
Слабый парциальный агонист |
|
|
|
Буримамид |
|
Производное тиомочевины с |
|
удлинѐнной цепочкой. |
|
Малоактивен у человека |
|
|
|
Метиамид |
|
Активен у человека, но токсичен |
|
|
|
Циметидин |
|
Тиомочевина заменена на |
|
N – CN-заместитель. Обладает |
|
высокой активностью и низкой |
|
токсичностью. Родоначальник |
|
серии лекарств для лечения |
|
кислотно-пептических синдромов |
|
Клиническая значимость. Пептические язвы очень распространены и могут лечится путѐм подавления желудочной секреции. Клиническая потребность в эффективном угнетении выработки кислоты не удовлетворялась существующими
199
лекарственными средствами или возможностями хирургического лечения язвенной болезни.
Биологическая гипотеза. Блэк предположил, что эффект гистамина можно избирательно блокировать на уровне рецептора, опосредующего его влияние на кислую секрецию. Существовали экспериментальные системы, которые можно было использовать как модели для оценки конечного эффекта гистамина.
Предполагали, что некоторые из этих моделей могут быть адекватны язвенной болезни человека.
Химическая гипотеза. Химическая гипотеза была основана на том факте,
что существовавшие тогда антигистаминные вещества были не эффективны при заболеваниях желудочно-кишечного тракта, связанных с повышенной кислотностью и не имели структурного сходства с гистамином. Команда исследователей пришла к выводу, что химическая модификация молекулы гистамина может привести к созданию селективного антогониста для гипотетических гистаминовых рецепторов желудка.
Создание. «Охота» началась в 1964 г., когда Блэк приступил к изучению этой проблемы в лаборатории компании «Smith Kline French» в Англии. После преодоления первоначальных трудностей было синтезировано и исследовано большое число соединений, сходных по структуре с молекулой гистамина.
Выявленные на доклиническом этапе эффективные и безопасные соединения были переданы на клинические испытания. Первый селективный Н2-антогонист, буримамид, оказался не достаточно эффективным. Структуру буримамида несколько изменили и получили более активный метиамид.
Клинические испытания этого препарата показали хорошую эффективность, но неожиданно высокую токсичность, проявляющуюся в форме гранулоцитопении.
Дальнейшие усилия привели к созданию циметидина. Это вещество успешно прошло клинические испытания и было одобрено в 1974 г. Как первый
200