Материал: спектр и фотометр

Внимание! Если размещение файла нарушает Ваши авторские права, то обязательно сообщите нам

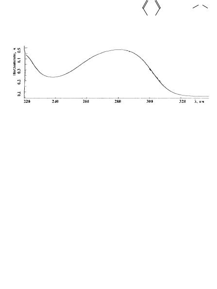
Задача 42. Сульфметоксазол

 

 

 

 

 

 

 

 

 

 

 

Sulfmethoxazolum

 

 

 

 

 

 

 

 

 

 

 

 

 

 

 

 

 

 

 

 

 

 

3-(п-Аминобензолсульфамидо)-5-

H2N

 

 

 

 

 

SO2 NH

 

 

 

 

 

 

 

 

 

 

 

 

 

метоксиоксазол

 

 

 

 

 

 

 

N

 

 

 

 

 

 

 

 

 

O CH3

Sulfmethoxazole*

 

 

 

 

 

 

 

 

 

 

 

 

 

 

 

 

 

 

 

 

Противомикробное средство

 

 

 

 

 

 

 

 

 

 

 

УФ-спектр раствора сульфметоксазола, стандартный образец USP

Пропускание, %

ν, см-1

ИК-спектр сульфметоксазола, диск калия бромида, стандартный образецUSP

ЯМР 1Н-спектр сульфметоксазола, DMSO-d6, δ, м. д., стандартный образец USP

216

Задача 43. Norsulfazolum

 

 

 

 

 

 

 

 

 

 

 

 

Норсульфазол

 

 

 

 

 

 

 

 

 

 

 

S

2-(п-Аминобензолсульфамидо)

H2N

 

 

 

 

 

SO2

 

NH

 

 

тиазол-1,3

 

 

 

 

 

 

 

 

 

 

 

 

 

 

 

 

 

 

N

 

 

 

 

 

 

 

 

 

 

 

Sulfathiazole*

 

 

 

 

 

 

 

 

 

 

 

 

 

 

 

 

 

 

 

 

 

 

 

 

 

 

 

 

 

 

 

 

Противомикробное средство

 

 

 

 

 

 

 

 

 

 

 

 

УФ-спектр раствора норсульфазола, стандартный образец USP

Пропускание, %

ν, см-1

ИК-спектр норсульфазола, диск калия бромида, стандартный образец USP

ЯМР 1Н-спектр норсульфазола, DMSO-d6, δ, м. д., стандартный образецUSP

217

Задача 44. Сукцинилсульфатиазол

Succinylsulfathiazolum

4-оксо-4-[[4-(2-тиазолиламино)сульфонил]-фенил]-бутановая кислота

Succinylsulfathiazole*

Противомикробное средство

УФ-спектр раствора сукцинилсульфатиазола, стандартный образец USP

Пропускание, %

ν, см-1

ИК-спектр сукцинилсульфатиазола, диск калия бромида, стандартный образец USP

ЯМР 1Н-спектр сукцинилсульфатиазола, DMSO-d6, δ, м. д., стандартный образец USP

218

Задача 45. Фталазол

Phthalazolum

2-(п-Фталиламидобензолсульфа- мидо)-тиазол-1,3

Phthalylsulfathiazole*

Противомикробное средство

COOH

 

 

C HN

SO2 NH

S

N

O

 

УФ-спектр раствора фталазола, стандартный образец USP

Пропускание, %

ν, см-1

ИК-спектр фталазола, диск калия бромида, стандартный образец USP

ЯМР 1Н-спектр фталазола, DMSO-d6, δ, м. д., стандартный образец USP

219

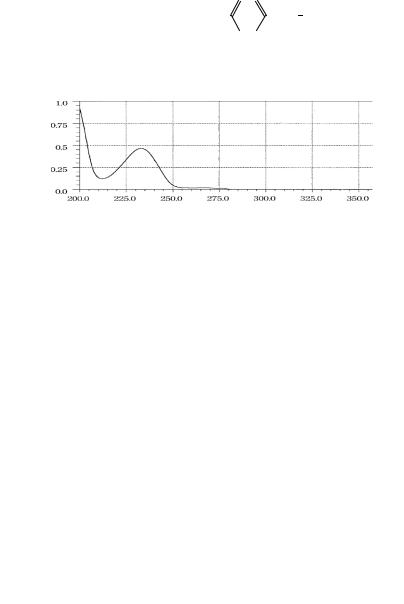
Задача 46. Хлорпропамид

Cl

 

 

 

 

 

SO2 NH

 

O

 

 

 

 

 

 

 

 

 

 

 

 

 

 

 

 

 

 

 

 

 

 

 

 

Chlorpropamidum

 

 

 

 

 

 

C

 

NH

 

C3H7

 

 

 

 

 

 

 

 

 

 

 

 

 

 

 

 

 

 

 

 

 

N-4-Хлорбензолсульфомоил-N`-пропилмочевина

Chlorpropamide*

Гипогликемическое средство

Поглощение, А

λ, нм

УФ-спектр 0,0008 % раствора хлорпропамида

в 0,1 моль/л HCl + метанол, стандартный образец JP

Пропускание, %

ν, см-1

ИК-спектр хлорпропамида, диск калия бромида, стандартный образецUSP

ЯМР 1Н-спектр хлорпропамида, CDCl3/CD3OD, δ, м. д., стандартный образец USP

220