Материал: спектр и фотометр

Внимание! Если размещение файла нарушает Ваши авторские права, то обязательно сообщите нам

Задача 198. Цефалексин

Cephalexinum

7-(D-α-Аминофенилацетамидо)-3-метил-3-цефем-4-карбоновой кислоты моногидрат

Cefalexin*

Антибиотик

H O

 

 

C C HN

 

S

NH2

N

H2O

O

CH3

 

 

 

COOH

Поглощение, А

λ, нм

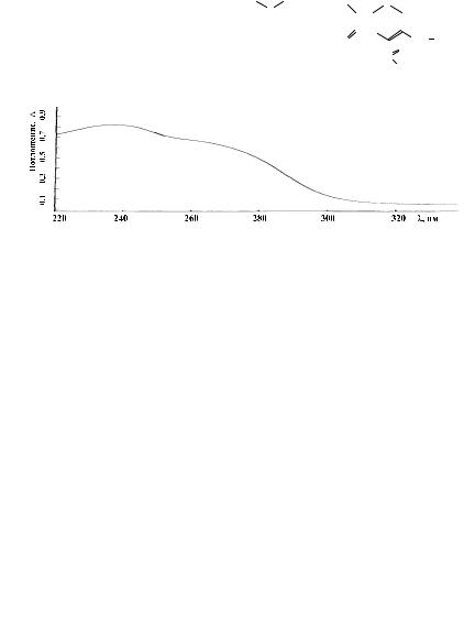
УФ-спектр 0,003 % раствора цефалексина в воде, стандартный образец JP

Пропускание, %

ν, см-1

ИК-спектр цефалексина, диск калия бромида, стандартный образец USP

381

Задача 199. Цефалотина натриевая соль

Cephalotinum-natrium

(7R)-7-(2’-Тиенилацетамидо)- цефало-спорановой кислоты натриевая соль

Cefalotin Sodium*

Антибиотик

 

 

 

O

 

 

 

 

 

 

 

 

 

 

 

 

 

 

 

 

 

 

 

 

 

 

 

 

 

 

 

 

 

 

 

 

 

 

 

 

H2C

 

C

 

HN

 

 

S

 

 

 

 

 

 

 

 

 

S

 

 

 

 

 

 

 

 

 

O

 

 

 

 

 

 

 

 

 

 

 

 

 

 

 

 

 

 

 

 

 

 

 

 

 

N

 

 

 

 

 

 

 

 

 

 

 

 

 

 

 

 

O

 

O

CH2 O

 

C

 

CH3

 

 

 

 

 

 

 

 

 

 

 

 

 

 

 

 

 

 

 

 

 

 

 

C

-

+

 

 

 

 

 

 

 

 

 

 

 

 

 

 

 

 

 

 

O Na

УФ-спектр раствора цефалотина натрия, стандартный образец USP

Пропускание, %

ν, см-1

ИК-спектр цефалотина натриевой соли, диск калия бромида, стандартный образец USP

ЯМР 1Н-спектр цефалотина натриевой соли, D2O, δ, м. д.,

стандартный образец USP

382

Задача 200. Цефотаксима натриевая соль

Cephotaximum natrium

 

 

 

 

 

 

 

 

 

 

 

 

 

 

 

 

 

Натриевая соль (6R,7R)-7-(2-аминотиазолил-5)-глиоксил-амидо-

3-(гидроксиметил)-8-оксо-5-тиа-1-азабицикло[4.2.0]-окт-2-ен-2-

карбоновой кислоты

 

 

 

 

 

 

 

 

 

 

 

 

 

 

 

 

 

 

 

 

 

 

 

 

 

 

Cefotaxim*

N

 

 

 

 

 

 

 

 

O

 

 

 

 

 

 

 

 

 

 

 

 

 

 

 

 

 

 

 

 

 

 

 

 

 

 

 

 

 

 

 

 

 

 

 

 

 

 

 

 

 

 

 

 

C

 

H2C

 

C

 

HN

 

 

S

 

 

 

 

 

 

 

 

H2N

 

 

 

S

 

 

 

 

 

 

 

 

 

 

 

 

 

 

 

 

 

 

 

 

 

 

 

 

 

 

 

 

 

 

 

 

 

 

 

 

 

N

 

 

 

 

 

 

 

 

 

 

 

 

 

O

Антибиотик

 

 

 

 

 

 

 

 

 

 

 

 

 

 

 

 

 

 

 

 

 

 

 

 

 

 

OCH3

 

 

 

 

 

 

N

 

 

 

 

 

 

 

 

 

 

 

 

 

 

 

 

O

 

O

CH2 O

 

C

 

CH3

 

 

 

 

 

 

 

 

 

 

 

 

 

 

 

 

 

 

 

 

 

 

 

 

 

 

 

 

 

 

 

 

 

 

 

 

 

C

-

+

 

 

 

 

 

 

 

 

 

 

 

 

 

 

 

 

 

 

 

 

 

 

 

 

O Na

УФ-спектр раствора цефотаксима натриевой соли, стандартный образец USP

Пропускание, %

ν, см-1

ИК-спектр цефотаксима натриевой соли, диск калия бромида, стандартный образец USP

ЯМР 1Н-спектр цефотаксима натриевой соли, DMSO-d6, δ, м. д., стандартный образец USP

383

ЛИТЕРАТУРА

1.Арзамасцев, А. П. Фармацевтическая химия : учебное пособие для вузов / А. П. Арзамасцев. – М. : ГЭОТАР-Медиа, 2005. – 635 с.

2.Арзамасцев, А. П. Современное состояние проблемы применения ИК-спектроскопии в фармацевтическом анализе лекарственных средств / А. П. Арзамасцев, Н. П. Садчикова, А. В. Титова // Хим.-фарм. журн. – 2008. – № 8. – С. 26-30.

3.Абышев, А. З. Лекарственные препараты антиангинального действия – антагонисты ионов кальция : учебно-методическое пособие / А. З. Абышев, С. Н. Трусов, А. В. Ложкин. – СПб. :Изд-во СПХФА, 2009. – 148 с.

4.Абышев, А. З. Синтез, свойства и контроль качества витаминных препаратов и витаминоподобных веществ : учебно-методическое пособие / А. З. Абышев, С. Н. Трусов, Н. И. Котова, М. П. Блинова. – СПб. : Изд-во СПХФА, 2010. – 136 с.

5.Абышев, А. З. Спектральные методы в фармацевтической химии : учебно-методическое пособие / А. З. Абышев, С. Н. Трусов. – СПб. : Издво СПХФА, 2011. – 284 с.

6.Беликов, В. Г. Фармацевтическая химия : учебное пособие для вузов / В. Г. Беликов. – Пятигорск, 2003. – 720 с.

7.Белюстин, А. А. Аналитическая химия в 3 т. Т. l. Методы идентификации и определения веществ : учебник для студ. высш. учеб. заведений / А. А. Белюстин, М. И. Булатов, А. И. Дробышев и др. – М. : Изд-во центр «Академия», 2008. – 576 с.

8.Государственная фармакопея СССР. XI-e изд. – М. : Медицина, 1987. – Вып. 1. – 336 с.

9.Государственная фармакопея СССР. XI-e изд. – М. : Медицина, 1990. – Вып. 2. – 398 с.

10.Государственная фармакопея РФ. ХII издание. – М. : Изд-во «Научный центр экспертизы средств медицинского применения», 2007. – 704 с.

11.10. Государственная фармакопея РФ. ХIII издание. – М. : Изд-во «Научный центр экспертизы средств медицинского применения», 2015. – Т.1. – 1470 с. ; Т. II. – 1004c.; Т. Ш. – 1294с.

12.Миронов, В. А Спектроскопия в органической химии : учебное пособие для вузов / В. А Миронов, С. А Янковский. – М. :Химия. – 1985. – 232 с.

13.Наканиси, К. Инфракрасные спектры и строение органических соединений / пер. с англ. / К. Наканиси. – М. : Изд-во «Мир». – 1965. – 209 с.

14.Отто, М. Современные методы аналитической химии / пер. с нем. / М. Отто. – М. : Изд-во «Техносфера». – 2006. – 543 с.

15.Основы аналитической химии. В 2-х кн. Кн. 2. Методы химического анализа : учебник для вузов / Ю. А. Золотов, Е. Н. Дорохова,

384

В. И. Фадеева и др. / под ред. Ю. А. Золотова. – 2-е изд., перераб. и доп. –

М. : Высш. Шк. – 1999. – 494 с.

16.Эппликвист, Д. Введение в органическую химию / пер. с англ. / Д. Эппликвист, Ч. Де Пюи, К. Райнхарт. – М. : «Мир». – 1985. – 381 с.

17.Преч, Э. Определение строения органических соединений. / пер.

сангл. / Э. Преч, Ф. Бюльманн, К. Аффольтер. – М. : «Мир»; БИНОМ. – 2006. – 438 с.

18.Barton, F. E. Theory and Principles of Near Infrared Spectroscopy / F. E. Вагton // Spectroscopy Eur. – 2002. – Vol. 14 (1). – PP. 12-18.

19.British Pharmacopoeia (Br. Ph.) (2010).

20.European Pharmacopoeia. 7th Edition. – Strasbourg : Council of Europe European (СОЕ) – European Directorate for the Quality of Medicines (2010).

21.The Japanese Pharmacopoeia. 15th edition (official from April, 1. 2012). – Tokio, 2001.

22.The Merck Index: Аn Encyclopedia of Chemicals, Drugs and Biologicals. 12th Edition. – New York : Merck & СО., Inc., 1996.

23.Physicians Desk Reference (PDR). – 50th edition, 1 1996.

24.The Pharmacopoeia of the United States of America, ХХХ Rev. N.-Y.

(2012).

25.Теггу Mills III and J. Соnrаd Roberson. Instrumental date for drug analysis. – 2005. – Vol. 1-6. – New York : Elsevier, 2005.

385