Материал: спектр и фотометр

Внимание! Если размещение файла нарушает Ваши авторские права, то обязательно сообщите нам

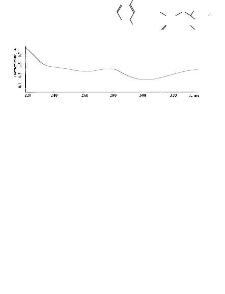
Задача 188. Ампициллина тригидрат

Ampicillinum trihydras

d(-)α-Аминобензилпенициллин

H O

 

CH3

C C HN

S

Ampicillin Trihydrate*

NH2

 

3H2O

Антибиотик

N

CH3

O

COOH

 

 

УФ-спектр раствора ампициллина, стандартный образец USP

Пропускание, %

ν, см-1

ИК-спектр ампициллина тригидрата, диск калия бромида, стандартный образец USP

ЯМР 1Н-спектр ампициллина тригидрата, δ, м. д., стандартный образецUSP

371

Задача 189. Карбенициллина динатриевая соль

Carbenicillinum dinatrium

(6-α-Карбокси-α-

 

 

 

H O

 

 

 

 

 

 

фенилацетамидо)-

 

 

 

 

 

 

 

 

CH3

 

 

 

 

 

 

 

 

 

 

 

 

 

 

 

 

 

 

 

 

 

 

пенициллановой кислоты

 

 

 

C

 

C

 

HN

 

 

 

 

S

 

 

 

 

 

 

 

 

 

 

динатриевая соль

 

 

 

 

 

COO-Na+

 

 

 

 

 

CH3

 

 

 

 

 

 

 

 

 

 

 

 

 

 

 

Carbenicillin Disodium*

 

 

 

 

 

 

 

 

 

 

 

 

N

 

 

 

 

 

 

 

 

 

 

 

 

 

O

 

 

 

- +

Антибиотик

 

 

 

 

 

 

 

 

 

 

 

 

 

 

 

COO Na

 

 

 

 

 

 

 

 

 

 

 

 

 

 

 

 

 

УФ-спектр раствора карбенициллина динатриевой соли, стандартный образец USP

Пропускание, %

ν, см-1

ИК-спектр карбенициллина динатриевой соли, диск калия бромида, стандартный образец USP

ЯМР 1Н-спектр карбенициллина, δ, м. д., стандартный образец USP

372

Задача 190. Оксациллина натриевая соль

 

 

 

 

 

 

 

 

 

 

Oxacillinum natrium

 

 

 

 

 

 

 

 

 

 

 

 

 

 

Натриевая соль 3-фенил-

 

 

 

 

 

 

 

 

 

 

 

 

 

 

5-метил-изооксазолил-4-

 

 

 

 

 

 

 

 

 

O

 

 

 

 

CH3

 

 

 

 

 

 

 

 

 

 

 

пенициллина тригидрат

 

 

 

 

 

 

 

 

 

 

 

 

 

 

 

 

 

 

 

 

 

 

C

 

HN

 

 

 

S

Oxacillin Sodium*

 

 

 

 

 

 

 

 

 

 

 

 

 

H2O

N

 

 

 

 

 

 

 

 

 

 

 

O

CH3

 

 

 

 

CH3

Антибиотик

 

 

 

N

 

COO-Na+

 

 

 

 

 

 

 

 

 

 

 

 

O

 

 

 

 

УФ-спектр раствора оксациллина натриевой соли, стандартный образецUSP

Пропускание, %

ν, см-1

ИК-спектр оксациллина натриевой соли, диск калия бромида, стандартный образец USP

ЯМР 1Н-спектр оксациллина, D2O, δ, м. д., стандартный образец USP

373

Задача 191. Метициллина натриевая соль

 

 

 

 

 

 

 

Methicillinum-natrium

 

OCH3

 

 

 

 

 

 

 

2,6-Диметоксифенилпенициллина

 

 

 

O

 

 

 

 

 

 

CH3

 

 

 

 

 

 

 

 

 

 

 

 

 

 

 

 

 

 

натриевая соль

 

 

 

C

 

HN

 

 

 

 

S

 

 

 

 

 

 

 

 

H2O

Methicillin Sodium*

 

 

 

 

 

 

 

 

 

 

 

 

 

 

 

 

 

 

 

 

 

 

 

 

CH3

 

 

 

 

 

 

 

 

 

 

 

 

 

OCH3

 

 

N

 

 

Антибиотик

 

O

 

 

 

- +

 

 

 

 

 

 

 

 

 

 

 

COO Na

УФ-спектр раствора метициллина в спирте, стандартный образец USP

Пропускание, %

ν, см-1

ИК-спектр метициллина натриевой соли, диск калия бромида, стандартный образец USP

ЯМР 1Н-спектр метициллина натриевой соли, D2O, δ, м. д.,

стандартный образец USP

374

Задача 192. Сульбактама натриевая соль

 

 

 

Sulbactam-natium

 

O O

CH3

Натриевая соль 1,1-диоксида

 

S

 

 

пенициллановой кислоты

 

N

CH3

Sulbactam Sodium*

O

COO-Na+

 

Ингибитор β-лактамазы

 

 

 

Пропускание, %

 

 

 

 

 

 

ν, см-1

ИК-спектр сульбактама натриевой соли, диск калия бромида, стандартный образец USP

ЯМР 1Н-спектр сульбактама натриевой соли,DMSO-d6, δ, м. д., стандартный образец USP

375