Материал: спектр и фотометр

Внимание! Если размещение файла нарушает Ваши авторские права, то обязательно сообщите нам

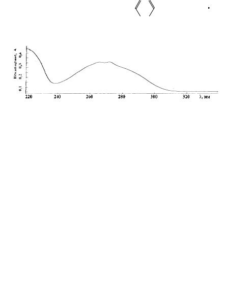
Задача 37. Стрептоцид

 

 

 

 

 

 

 

 

 

Streptocidum

H2N

 

 

 

 

 

SO2

 

NH2

 

 

 

 

 

 

п-Аминобензолсульфамид

 

 

 

 

 

 

 

 

 

 

 

Sulfanilamide*

 

 

 

 

 

 

 

 

 

 

 

 

 

 

 

 

 

 

 

 

 

 

 

 

 

 

 

Противомикробное средство

 

 

 

 

 

 

 

 

 

УФ-спектр раствора стрептоцида, стандартный образец USP

Пропускание, %

ν, см-1

ИК-спектр стрептоцида, диск калия бромида, стандартный образец USP

ЯМР 1Н-спектр стрептоцида, DMSO-d6, δ, м. д., стандартный образец USP

211

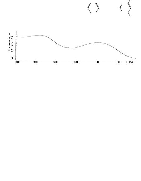
Задача 38. Сульгин

 

 

 

 

 

 

 

 

 

 

 

 

 

 

Sulginum

 

 

 

 

 

 

 

 

 

NH

 

 

 

 

п-Аминобензолсульфонилгуанидин

 

 

 

 

 

 

 

 

 

 

 

 

 

 

 

 

 

 

 

 

 

 

 

 

 

 

 

 

H2N

 

 

 

SO2 NH C NH2

Sulfaguanidine*

 

 

 

 

 

 

 

 

 

 

 

 

 

 

 

 

 

 

 

 

 

 

 

 

 

 

 

 

 

 

 

Противомикробное средство

 

 

 

 

 

 

 

 

 

 

 

 

 

 

УФ-спектр раствора сульгина, стандартный образец USP

Пропускание, %

ν, см-1

ИК-спектр сульгина, диск калия бромида, стандартный образец USP

ЯМР 1Н-спектр сульгина, δ, м. д., стандартный образец USP

212

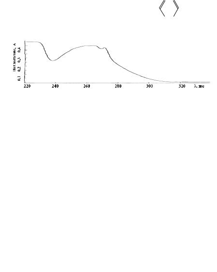
Задача 39. Сульфацил-натрий

 

 

 

 

 

 

 

 

 

 

 

 

 

 

 

Sulfacylum-natrium

 

 

 

 

 

 

 

 

 

 

O

п-Аминобензолсульацетамид-

 

 

 

 

 

 

 

 

 

 

 

 

 

 

 

 

 

 

 

 

 

 

 

 

 

 

 

 

CH3 H2O

H2N

 

 

 

 

 

SO2

 

N

 

C

 

натрий

 

 

 

 

 

 

 

 

 

 

 

 

 

 

 

Sulfacetamid Sodium*

 

 

 

 

 

 

 

 

Na

 

 

 

 

 

 

 

 

 

 

 

 

 

 

 

 

 

 

 

Противомикробное средство

 

 

 

 

 

 

 

 

 

 

 

 

 

 

 

УФ-спектр раствора сульфацила натрия, стандартный образец USP

Пропускание, %

ν, см-1

ИК-спектр сульфацила-натрия, диск калия бромида, стандартный образецUSP

ЯМР 1Н-спектр сульфацила-натрия, D2O, δ, м. д., стандартный образецUSP

213

Задача 40. Сульфадиметоксин

 

 

 

 

 

 

 

 

 

 

 

 

 

OCH3

Sulfadimethoxynum

 

 

 

 

 

 

 

 

 

 

N

 

2-(п-Аминобензолсульфами-

H2N

 

 

 

 

 

SO2

 

NH

 

 

N

 

 

 

 

 

 

 

 

 

 

до)2,6-диметоксипиримидин

 

 

 

 

 

 

 

 

 

 

 

 

 

 

 

 

 

 

 

 

 

 

 

 

Sulfadimethoxyne*

 

 

 

 

 

 

 

 

 

 

 

 

 

OCH3

 

 

 

 

 

 

 

 

 

 

 

 

 

Противомикробное средство

 

 

 

 

 

 

 

 

 

 

 

 

 

 

УФ-спектр раствора сульфадиметоксина, стандартный образец USP

Пропускание, %

ν, см-1

ИК-спектр сульфадиметоксина, диск калия бромида, стандартный образец USP

ЯМР 1Н-спектр сульфадиметоксина, DMSO-d6, δ, м. д., стандартный образец USP

214

Задача 41. Сульфадимезин

 

 

 

 

 

 

 

 

 

 

 

 

CH3

Sulfadimezinum

 

 

 

 

 

 

 

 

 

 

N

 

2-(п-Аминобензолсульфамидо)-4,6- H N

 

 

 

 

 

 

 

 

 

 

 

 

SO NH

диметилпиримидин

2

 

 

 

 

2

 

 

 

N

 

 

Sulfadimedine*

 

 

 

 

 

 

 

 

 

 

 

CH3

 

 

 

 

 

 

 

 

 

 

 

 

 

 

 

 

 

Противомикробное средство

 

 

 

 

 

 

 

 

 

 

 

 

 

УФ-спектр раствора сульфадимезина, стандартный образец USP

Пропускание, %

ν, см-1

ИК-спектр сульфадимезина, диск калия бромида, стандартный образецUSP

ЯМР 1Н-спектр сульфадимезина, DMSO-d6, δ, м. д., стандартный образецUSP

215