Задача 27. Кислота амидотризоевая |
|
|
|
|
|
|
COOH |
|||||||
Acidum amidotrisoicum |
|
|
|
|
|
|
||||||||
|
|
|
|
|
I |
|
|
I |
||||||
3,5-диацетиламино-2,4,6- |
|
|
|
|
|
|
|
|||||||
|
O |
|
|
|
|
O |
||||||||
трийодбензойная кислота |
|
|
|
|
|
|||||||||
|
|
|
|
|
HN |
|
|
NH |
|
|
|
|
|
|
H3C |
|
C |
|
|
|
|
C |
|
CH3 |
|||||
Amidotrisoic Acid* |
|
|
|
|
|
|
||||||||
|
|
|
|
|
|
I |
||||||||
Рентгеноконтрастное средство |
|
|
|
|
|
|
||||||||
|
|
|
|
|
|
|
|
|
|
|
|
|
|
|
УФ-спектр раствора кислоты амидотризоевой в этаноле, стандартный образец USP
Пропускание, %
ν, см-1
ИК-спектр кислоты амидотризоевой, диск калия бромида, стандартный образец USP
ЯМР 1Н-спектр кислоты амидотризоевой, DMSO-d6, δ, м. д., стандартный образец USP
201
Задача 28. Ибупрофен
Ibuprophenum |
H3C |
|
|
|
CH3 |
||||||
d,l-2-(4-Изобутилфенил) |
|
|
|
||||||||
|
|
|
|||||||||
|
|
|
|
|
|
||||||
пропионовая кислота |
HC |
|
H2C |
|
|
|
|
|
CH |
|
COOH |
|
|
|
|
|
|
||||||
Ibuprofen* |
H3C |
|
|
|
|
|
|
||||
|
|
|
|
|
|
||||||
|
|
|
|
|
|
||||||
|
|
|
|
|
|
|
|
|
|
|
|
Противовоспалительное средство |
|
|
|
|
|
|
|
|
|
|
|
Поглощение, А |
|
|
|
|
|
|
|
|
|
|
|
|
|
|
|
|
|
|
|
|
|
|
λ, нм |
УФ-спектр ибупрофена, 0,015 % раствор в 0,1 моль/л едком натре, |
|||||||||||
стандартный образец JP |
|
|
|
|
|
|
|||||
Пропускание, % |
|
|
|
|
|
|
|
|
|
|
|
ν, см-1
ИК-спектр ибупрофена, диск калия бромида, стандартный образец USP
ЯМР 1Н-спектр ибупрофена, δ, м. д., стандартный образец USP
Задача 29. Ортофен |
|
|
|
O |
|||||||||
Ortophenum |
|
|
|
||||||||||
|
|
|
|
|
|||||||||
|
CH2 C |
|
ONa |
||||||||||
|
|
||||||||||||
Натриевая соль 2-[(2-,6-дихлорфенил)-амино]- |
|
|
|
|
Cl |
||||||||
|
|||||||||||||
фенилуксусной кислоты |
|
N |
|
|
|
||||||||
|
|
||||||||||||
Diclofenac Sodium* |
H |
|
|
|
|
|
|
|
|
|
|
|
|
|
|
|
|||||||||||
|
Cl |
||||||||||||
Противовоспалительное средство |
|
||||||||||||
|
|
|
|
|
|
|
|
|
|
|
|
|
|
Поглощение, А |
|
|
|
|
|
|
|
|
|
|
|
|
|
|
|
|
|
|
|
|
|
|
λ, нм |
||||
УФ-спектр 0,04 % раствора ортофена в воде, стандартный образец JP |
|||||||||||||
Пропускание, % |
|
|
|
|
|
|
|
|
|
|
|
|
|
ν, см-1
ИК-спектр ортофена, диск калия бромида, стандартный образец USP
ЯМР 1Н-спектр ортофена, DMSO-d6, δ, м. д., стандартный образец USP
203
Задача 30. Кислота мефенамовая
Acidum mephenamicum
N-(2,3-диметилфенил)антраниловая кислота
Mefenamic Аcid*
Противовоспалительное средство
O
C OH

NH

H3C CH3
Поглощение, А
λ, нм
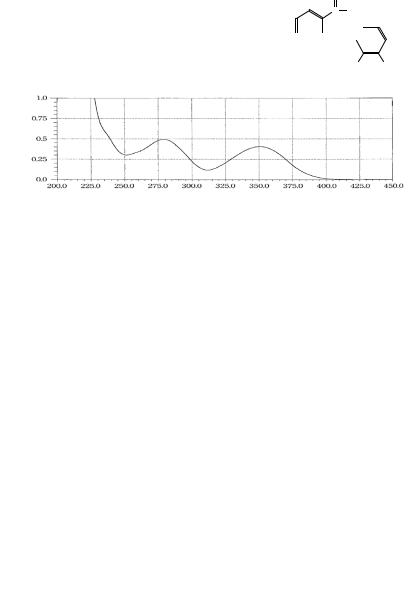
УФ-спектр 0,0014 % раствора кислоты мефенамовой в смеси HCl/CH3OH, стандартный образец JP
Пропускание, %
ν, см-1
ИК-спектр кислоты мефенамовой, диск калия бромида, стандартный образец USP
ЯМР 1Н-спектр кислоты мефенаминовой, CDCl3/CD3OD, δ, м. д., стандартный образец USP
204
Задача 31. Индометацин |
H3CO |
|
|
CH2 COOH |
|
Indometacinum |
|
|
|||
|
|
|
|
|
|
1-(п-Хлорбензол)-5-метокси-2- |
|
|
N CH3 |
||
метилиндол-3-уксусная кислота |
|
O C |
|||
Indometacin* |
|
|
|
|
Cl |
Противовоспалительное средство |
|
|
|
|
|
Поглощение, А |
|
|
|
|
|
|
|
|
|
|
λ, нм |
УФ-спектр 0,05 % раствора индометацина в метаноле, |
|||||
стандартный образец JP |
|
|
|
|
|
Пропускание, % |
|
|
|
|
|
ν, см-1
ИК-спектр индометацина, диск калия бромида, стандартный образец USP
ЯМР 1Н-спектр индометацина, δ, м. д., стандартный образец USP
205