Материал: спектр и фотометр

Внимание! Если размещение файла нарушает Ваши авторские права, то обязательно сообщите нам

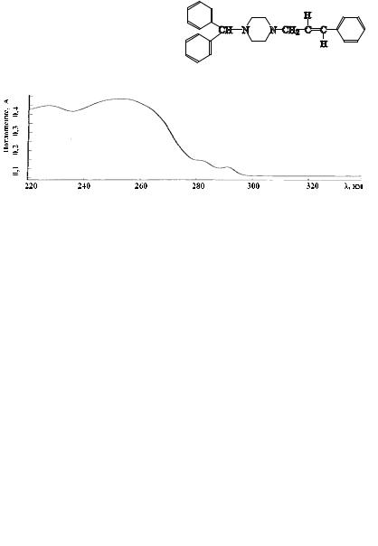
Задача 18. Циннаризин

Cinnarizinum

1-транс-Циннамил-4- дифенилметил-пиперазин

Cinnarizine*

Антиангинальное средство

 

H

 

CH N

N CH2 C

C

 

 

H

УФ-спектр раствора циннаризина в этаноле, стандартный образец USP

Пропускание, %

ν, см-1

ИК-спектр циннаризина, диск калия бромида, стандартный образец USP

ЯМР 1Н-спектр циннаризина, CDCl3, δ, м. д., стандартный образец USP

191

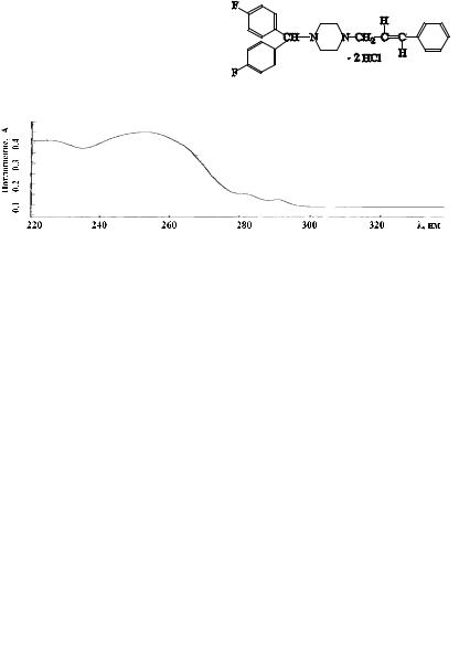
Задача 19. Флунаризин

Flunarizinum

1-транс-циннамил-4-ди-(4-

фторфенил)-метилпиперазин дигидрохлорид

Flunarizine Dihydrochloride*

Антиангинальное средство

F

 

 

 

H

 

CH N

N CH2 C C

 

2 HCl

H

 

 

F

 

 

УФ-спектр раствора флунаризина в этаноле, стандартный образец USP

Пропускание, %

ν, см-1

ИК-спектр флунаризина дигидрохлорида, диск калия бромида, стандартный образец USP

ЯМР 1Н-спектр флунаризина дигидрохлорида, δ, м. д., стандартный образец USP

192

Задача 20. Лидофлазин

Lidoflazinum

1-[4,4-ди-(4-фторфенил)бутил-]-4-[(2,6-диметил-анилинокарбонил)- метил]-пиперазин

Lidoflazin*

Антиангинальное средство

F

H C

 

O H 3

 

CH CH2 CH2 CH2 N N CH2 C N

F

H3C

УФ-спектр раствора лидофлазина в этаноле, стандартный образец USP

Пропускание, %

ν, см-1

ИК-спектр лидофлазина, диск калия бромида, стандартный образец USP

193

ЯМР 1Н-спектр лидофлазина, δ, м. д., стандартный образец USP

194

Задача 21. Кислота бензойная

 

O

Acidum benzoicum

C

OH

Benzoic Acid*

 

 

 

 

 

 

 

 

 

Антисептическое средство

 

 

 

 

УФ-спектр раствора кислоты бензойной в спирте, стандартный образец USP

Пропускание, %

ν, см-1

ИК-спектр кислоты бензойной, диск калия бромида, стандартный образец USP

ЯМР 1Н-спектр кислоты бензойной, δ, м. д., стандартный образец USP

195