Материал: спектр и фотометр

Внимание! Если размещение файла нарушает Ваши авторские права, то обязательно сообщите нам

Задача 14. Парацетамол

 

 

 

 

 

 

 

 

 

 

 

 

 

 

 

Paracetamolum

 

 

 

 

 

 

 

 

 

 

O

 

 

 

 

 

 

 

п-Ацетаминофенол

 

 

 

 

 

 

 

 

 

 

 

 

 

 

 

 

 

 

 

 

 

 

 

 

 

 

 

 

 

 

HO

 

NH C CH3

Paracetamol*

 

 

 

 

 

 

 

 

 

 

 

 

 

 

 

 

 

Жаропонижающее средство

 

 

 

 

 

 

 

 

 

 

 

 

 

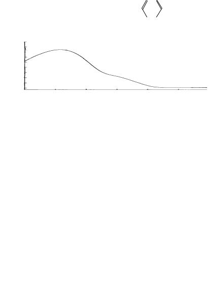
А 0,6

 

 

 

 

 

 

 

 

 

 

 

 

 

 

 

Поглощение, 0,3 0,4 0,5

 

 

 

 

 

 

 

 

 

 

 

 

 

 

 

0,2

 

 

 

 

 

 

 

 

 

 

 

 

 

 

 

220

240

260

280

300

 

 

320 λ, нм

УФ-спектр раствора парасетамиола, стандартный образец USP

Пропускание, %

 

 

 

 

 

 

 

 

 

 

 

 

 

 

 

ν, см-1

ИК-спектр парацетамола, диск калия бромида, стандартный образец USP

ЯМР 1Н-спектр парацетамола, DMSO-d6, δ, м. д., стандартный образец USP

186

Задача 15. Тимол

CH3

Thymolum

 

 

 

2-изопропил-5-метилфенол

 

 

 

 

 

 

OH

 

 

 

 

Антисептическое и антигельминтное средство

 

 

 

 

CH

 

 

 

 

 

H3C

 

CH3

УФ-спектр раствора тимола в спирте, стандартный образец USP

Пропускание, %

ν, см-1

ИК-спектр тимола, диск калия бромида, стандартный образец USP

ЯМР 1Н-спектр тимола, δ, м. д., стандартный образец USP

187

Задача 16. Димедрол

 

 

 

 

 

 

 

 

 

Dimedrolum

 

 

 

 

 

 

 

 

 

N,N-диметил-2-(дифенилметокси)-

 

 

 

 

 

 

 

 

 

CH

этиламина гидрохлорид

 

CH

 

O

 

CH2CH2

 

N

3 HCl

 

 

 

 

Diphenylhydramine Hydrochloride*

 

 

 

 

 

 

 

 

 

CH3

 

 

 

 

 

 

 

 

 

Антигистаминное,

 

 

 

 

 

 

 

 

 

снотворное средство

 

 

 

 

 

 

 

 

 

Поглощение, А

 

 

 

 

 

 

 

 

 

 

 

 

 

 

 

 

 

 

 

λ, нм

УФ-спектр 0,05 % раствора димедрола в метаноле, стандартный образецJP

Пропускание, %

ν, см-1

ИК-спектр димедрола, диск калия бромида, стандартный образец USP

ЯМР 1Н-спектр димедрола, δ, м. д., стандартный образец USP

188

Задача 17. Верапамила гидрохлорид

Verapamili hydrochloridum

5-[(3,4-диметоксифенэтил)-метиламино]-2-(3,4-ди-метоксифенил)-2- изопропилвалеронитрила гидрохлорид

Verapamil Hydrochloride*

 

 

Антиангинальное средство

CH3O

C

N

CH3

OCH3

 

 

CH3O

C CH2 CH2 CH2 N CH2 CH2

OCH3

H3C

CH

CH3

HCl

 

 

 

 

Поглощение, А

 

 

 

 

λ, нм

УФ-спектр 0,002 % раствора верапамила гидрохлорида в 0,01 моль/л HCl, стандартный образец JP

Пропускание, %

ν, см-1

ИК-спектр верапамила гидрохлорида, диск калия бромида, стандартный образец USP

189

ЯМР 1Н-спектр верапамила, CDCl3/CD3OD, δ, м. д., стандартный образец USP

190