Материал: спектр и фотометр

Внимание! Если размещение файла нарушает Ваши авторские права, то обязательно сообщите нам

Задача 32. Анестезин

 

 

 

 

 

 

 

 

 

Anaesthesinum

 

 

 

 

 

 

O

 

 

 

 

Этиловый эфир п-аминобензойной

H2N

 

 

 

 

 

C

 

 

 

Benzocain*

 

 

 

 

 

 

O

 

C2H5

 

 

 

 

 

 

 

 

 

 

 

 

 

 

 

Местный анестетик

 

 

 

 

 

 

 

 

 

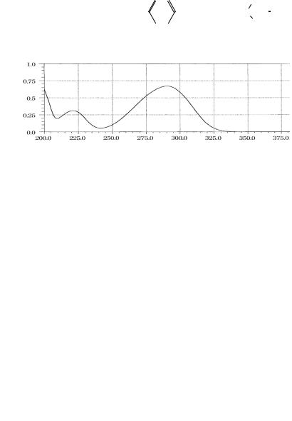
УФ-спектр раствора анестезина в 0,1 М растворе HCl, стандартный образец USP

Пропускание, %

ν, см-1

ИК-спектр анестезина, диск калия бромида, стандартный образец USP

ЯМР 1Н-спектр анестезина, δ, м. д., стандартный образец USP

206

Задача 33. Новокаин

 

 

 

 

 

 

 

 

 

 

 

 

 

 

 

Novocainum

 

 

 

 

 

O

 

 

 

 

 

 

 

β-Диэтиламиноэтиловый

 

 

 

 

 

 

 

 

 

 

 

C2H5

 

 

 

 

 

 

 

 

 

 

эфир п-аминобензойной

H2N

 

 

 

 

 

 

 

 

 

 

 

 

 

 

 

 

 

C

 

O

 

CH2CH2

 

N

HCl

 

 

 

 

 

 

 

кислоты гидрохлорид

 

 

 

 

 

 

 

 

 

 

 

 

 

 

C2H5

 

 

 

 

 

 

 

 

 

 

 

 

 

 

 

 

 

 

 

 

 

 

 

 

 

 

 

 

Procaine Hydrochloride*

 

 

 

 

 

 

 

 

 

 

 

 

 

 

 

Местный анестетик

 

 

 

 

 

 

 

 

 

 

 

 

 

 

 

Поглощение, А

 

 

 

 

 

 

 

 

 

 

 

 

 

 

 

 

 

 

 

 

 

 

 

 

 

 

 

 

 

 

λ, нм

УФ-спектр 0,01 % раствора новокаина в воде, стандартный образец JP

Пропускание, %

 

 

 

 

 

 

 

 

 

 

 

 

 

 

 

ν, см-1

ИК-спектр новокаина, диск калия бромида, стандартный образец USP

ЯМР 1Н-спектр новокаина, CDCl3/CD3OD, δ, м. д., стандартный образецUSP

207

Задача 34. Новокаинамид

 

 

 

 

 

 

 

 

 

 

 

 

 

Novocainamidum

 

 

 

 

 

 

 

 

 

 

 

 

 

β-Диэтиламиноэтиламида

 

 

 

 

 

 

O

C2H5

 

 

 

 

 

 

п-аминобензойной кислоты

H2N

 

 

 

 

 

 

 

 

 

 

 

 

 

 

 

 

 

C

 

NH CH2CH2

 

N

HCl

 

 

 

 

гидрохлорид

 

 

 

 

 

 

 

 

 

 

 

 

C2H5

 

 

 

 

 

 

 

 

 

 

 

 

 

 

 

 

 

 

 

 

 

 

 

 

Procainamide Hydrochloride*

Антиаритмическое средство

УФ-спектр раствора новокаинамида, стандартный образец USP

Пропускание, %

ν, см-1

ИК-спектр новокаинамида, диск калия бромида, стандартный образецUSP

ЯМР 1Н-спектр новокаинамида, CDCl3/CD3OD, δ, м. д., стандартный образец USP

208

Задача 35. Дикаин

 

 

 

 

 

 

 

 

O

CH3

 

H9C4

 

HN

 

 

 

 

 

 

 

 

 

 

 

 

 

Dicainum

 

 

 

 

 

 

C

 

O

 

CH2CH2

 

N

HCl

 

 

 

 

 

 

 

 

 

 

 

 

 

 

 

 

 

 

 

 

 

 

 

CH3

 

 

 

 

 

 

 

 

 

 

 

 

 

 

 

 

 

 

 

 

 

 

 

 

 

 

 

 

 

 

 

 

 

β-Диметиламиноэтиловый эфир п-бутиламинобензойной кислоты

Tetracaine Hydrochloride*

Местный анестетик

Поглощение, А

λ, нм

УФ-спектр 0,0005 % раствора дикаина в этаноле, стандартный образец JP

Пропускание, %

ν, см-1

ИК-спектр дикаина, диск калия бромида, стандартный образец USP

ЯМР 1Н-спектр дикаина, CDCl3/CD3OD, δ, м. д., стандартный образец USP

209

Задача 36. Лидокаина гидрохлорид

 

 

 

 

 

 

 

 

 

 

 

 

Lidocaini hydrochloridum

 

CH3

 

 

 

 

 

 

 

 

2-Диэтиламино-N-2`,6`-

 

O

 

 

 

C2H5

 

 

 

 

 

 

 

 

HCl H2O

 

 

 

 

диметилфенилацетамида

 

 

 

NH

 

 

 

 

 

 

 

 

 

 

 

C

 

CH2

 

N

 

 

 

 

 

 

гидрохлорид

 

CH3

 

 

 

 

 

 

C2H5

 

 

 

 

 

 

 

 

 

 

 

Lidocaine Hydrochloride*

 

 

 

 

 

 

 

 

 

 

 

 

 

 

 

 

 

 

 

 

 

Местный анестетик

 

 

 

 

 

 

 

 

 

 

 

 

Поглощение, А

 

 

 

 

 

 

 

 

 

 

 

 

 

 

 

 

 

 

 

 

 

λ, нм

 

УФ-спектр 0,0004 % растовра лидокаина в 0,1 моль/л HCl,

стандартный образец JP

 

 

 

 

 

 

 

 

Пропускание, %

 

 

 

 

 

 

 

 

 

 

 

 

 

 

 

 

 

 

 

 

 

 

 

 

ν, см-1

ИК-спектр лидокаина, диск калия бромида, стандартный образец USP

ЯМР 1Н-спектр лидокаина, CDCl3/CD3OD, δ, м. д., стандартный образецUSP

210