Задача 52. Антипирин
Antipyrinum
1-Фенил-2,3-диметилпиразолон-5 Phenazone*
Жаропонижающее средство
CH3
O
N N CH3
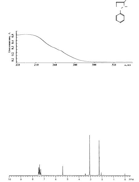
УФ-спектр раствора антипирина, стандартный образец USP
Пропускание, %
ν, см-1
ИК-спектр антипирина, диск калия бромида, стандартный образец USP
ЯМР 1Н-спектр антипирина, δ, м. д., стандартный образец USP
226
Задача 53. Пропифеназон
Propyphenazonum
1-Фенил-2,3-диметил-4-изопропилпиразолон-5 Propyphenazone*
Ненаркотический анальгетик
H3C HC |
|
|
|
|
CH |
|
H3C |
|
|
3 |
|||
|
|
|
|
|
|
|
O |
|
N |
N |
|
CH3 |
|
|
|
|||||
|
|
|
|
|
||
УФ-спектр раствора пропифеназона в спирте, стандартный образец USP
Пропускание, %
ν, см-1
ИК-спектр пропифеназона, диск калия бромида, стандартный образецUSP
ЯМР 1Н-спектр пропифеназона, δ, м. д., стандартный образец USP 227
Задача 54. Анальгин |
|
|
H3C |
|
|
|
|
|
|
|
Analginum |
|
|
|
|
|
|
|
|
|
|
|
|
N |
|
|
|
|
|
CH3 |
||
1-Фенил-2,3-диметил-4-метиламино- |
NaO3S |
|
H2C |
|
|
|
|
|
|
|
|
|
|
|
|
|
|
|
|||
пиразолон-5-N-метансульфонат натрия |
|
|
O |
|
N |
N |
|
CH3 |
||
|
|
|
|
|||||||
Metamizole Sodium* |
|
|
|
|
|
|
H2O |
|||
|
|
|
|
|
|
|
|
|
||
|
|
|
|
|
|
|
|
|
||
Ненаркотический анальгетик
УФ-спектр раствора анальгина в спирте, стандартный образец USP
Пропускание, %
ν, см-1
ИК-спектр анальгина, диск калия бромида, стандартный образец USP
ЯМР 1Н-спектр анальгина, δ, м. д., стандартный образец USP
228
Задача 55. Бутадион
Butadionum
1,2-Дифенил-4-бутилпиразолидиндион-3,5 Phenylbutazone*
Противовоспалительное средство
H9C4 |
O |
|
|
H |
N |
O N |
Поглощение, А
λ, нм
УФ-спектр 0.001 % раствора бутадиона в растворе NaOH, стандартный образец JP
Пропускание, %
ν, см-1
ИК-спектр бутадиона, диск калия бромида, стандартный образец USP
ЯМР 1Н-спектр бутадиона, δ, м. д., стандартный образец USP
229
Задача 56. Диэтиламид никотиновой кислоты |
|
C |
O |
|
Diaetylamid acidi nicotinici |
|
|||
|
|
N C2H5 |
||
|
|
|||
Nikethamide* |
|
|
C2H5 |
|
N |
||||
Стимулятор ЦНС |
|
|||
|
|
|
||
УФ-спектр раствора диэтиламида никотиновой кислоты в спирте, стандартный образец USP
Пропускание, %
ν, см-1
ИК-спектр диэтиламида кислоты никотиновой, диск калия бромида, стандартный образец USP
ЯМР 1Н-спектр диэтиламида кислоты никотиновой, δ, м. д., стандартный образец USP
230