Материал: спектр и фотометр

Внимание! Если размещение файла нарушает Ваши авторские права, то обязательно сообщите нам

Растворителем для УФ-спектрофотометрического определения также может служить 50%-ный раствор серной кислоты, в котором нитрофурал, нитрофурантоин и фуразолидон имеют максимумы поглощения при

227 нм.

Применение.

Нитрофурал назначают наружно для лечения и предупреждения гной- но-воспалительных процессов (в виде 0,02%-ных водных, 0,066%-ных спиртовых растворов и 0,2%-ной мази) и внутрь (по 0,1 г) для лечения бактериальной дизентерии.

Нитрофурантоин назначают внутрь для лечения инфекционных заболеваний мочевых путей (по 0,1-0,15 г).

Фуразолидон в тех же дозах менее токсичен и более активен. Назначают при смешанных инфекциях.

Фуразидин применяют внутрь по 0,1-0,2 г и местно в виде глазных капель 1:13000, для промывания ран, ожогов и др.

Фуразидин – калия применяют при тяжелых инфекционно-воспали- тельных процессах. Вводят в виде 1 %-ного раствора внутривенно.

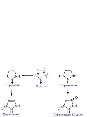
ПРОИЗВОДНЫЕ ПИРАЗОЛА Пиразол – пятичленный гетероцикл ароматического характера с 2 ге-

тероатомами азота в l-м и 2-м положении. В медицинской практике применяются производные пиразолина (частично гидрированной системы); окисленная его форма – пиразолон-5:

К этой группе относятся антипирин (феназон), анальгин (метами- зол–натрий) и пропифеназон, структура которых содержит молекулу

136

пиразолона-5. Для этого соединения возможно существование нескольких таутомерных форм:

Феназон, метамизол-натрий и пропифеназон можно рассматривать как производные пиразолина или пиразолона-5, находящегося в форме иминоимида (для простоты изложения в последующем они будут именоваться просто производными пиразолона). Общая формула этой группы лекарственных веществ рассматривается следующим образом:

Другое лекарственное вещество – бутадион (фенилбутазон) является производным пиразолидин-3,5-диона. Аналоги этого препарата также могут существовать в виде нескольких таутомерных форм, в частности:

Для производных пиразолона характерно поглощение в УФ – и ИК – областях спектра. УФ-спектры имеют 2 максимума: в интервалах 243-245 нм и 265-275 нм. Данное свойство используется как для идентификации, так и для количественной оценки препаратов в лекарственных формах (см. табл.2) в сочетании с ЯМР-спектрами (см.

рис. 120-127).

137

Таблица 2

Лекарственные препараты производные пиразолона и пиразолидина

138

139

140