Материал: Создание лабораторно-опытного образца установки с использованием теплового насоса

Внимание! Если размещение файла нарушает Ваши авторские права, то обязательно сообщите нам

Пары аммиака, выделяющиеся из слабого раствора после дросселирования в РВ-1, отводятся от потока в деконцентраторе при давлении Рт и используются для донасыщения крепкого раствора в концентраторе.

Рис. 2.8 Схема абсорбционной холодильной машины с одной ступенью материальной регенерации: 1 - деконцентратор; 2 - концентратор

В результате дополнительной деконцентрации слабого раствора и соответствующего донасыщения крепкого раствора интервал дегазации в цикле увеличивается.

Совокупность деконцентратора с концентратором образует ступень материальной регенерации. Число ступеней материальной регенерации может колебаться в широких пределах.

Особенностью расчета является определение промежуточных давлений в ступенях материальной регенерации.

Промежуточное давление определяется из условия равенства масс пара, выделившегося из слабого раствора в деконцентраторе и поглощенного в концентраторе.

Цикл холодильной машины с одной ступенью материальной регенерации представлен на рис. 2.9.

Методика определения промежуточного давления представляется следующим образом:

задается ряд значений Рт и ведется расчет ступеней материальной регенерации: для интервала дегазации высокого давления:

 (2.32)

для интервала дегазации низкого давления:

 (2.33)

Рис. 2.9 Цикл абсорбционной холодильной машины с одной ступенью материальной регенерации

Масса пара, выделившегося в деконцентраторе из 1 кг слабого раствора при первом дросселировании (снижении концентрации от ξа до ξа*), определяется по диаграмме ξ-i:

 (2.34)

Масса пара, выделившегося в деконцентраторе из потока слабого раствора при первом дросселировании:

 (2.35)

Масса пара, поглощенного в концентраторе крепким раствором при повышении концентрации от ξ,r до ξ,r* аналогично (2.35):

 (2.36)

Расчёт ведётся до выполнения равенства α1 и α2. Далее строится действительный цикл и ведется расчет с целью определения всех его характеристик. Уравнение теплового баланса:

 (2.37)

Тепловой коэффициент:

 (2.38)

Глава 3. Методика расчета основных теплообменных аппаратов абсорбционных холодильных машин


Основные теплообменные аппараты абсорбционных холодильных машин по принципу действия относятся к рекуперативным.

В аппаратах рекуперативного типа процесс передачи тепла связан с поверхностью твердого тела, поэтому они называются также поверхностными.

Тепловой расчет тепловых насосов данного типа является определяющей процедурой расчета технологических параметров.

Рис. 3.1 Распределение температуры жидкости по поверхности аппаратов: а - генератор, обогреваемый средой с переменной температурой (горячая вода, газ); б - генератор, обогреваемый конденсирующимся паром; в - противоточный абсорбер, охлаждаемый водой; г - дефлегматор, охлаждаемый водой; д - конденсатор; е - испаритель

Расчет основывается на тип аппарата, вид поверхности теплообмена, некоторые геометрические размеры (например, диаметр труб, шаг и компоновка труб и т.п.), тепловая производительность аппарата, рабочие среды, их конечные и начальные температуры, схема и скорости движения в аппарате.

Процесс теплопередачи в аппаратах описывается уравнением

= k F Θm (3.1)

Отсюда площадь поверхности теплообмена

 (3.2)

где Q - тепловая нагрузка;

k - коэффициент теплопередачи, зависящий от характера процесса теплопередачи, определенного особенностями аппарата;

Θm - температурный напор между средами. Характер изменения температур рабочих сред по поверхности аппарата зависит от схемы их движения и водяных эквивалентов.

Для аппаратов абсорбционных холодильных машин характерны следующие закономерности распределения температур жидкостей по поверхности (рис. 3.1).

3.1 Методика расчета тепловых установок и их основные конструкционные параметры


Как показывают расчеты, в аппаратах абсорбционных холодильных машин изменение температуры по поверхности довольно значительно, поэтому температурный напор между средами определяется как средний логарифмический,°С:

а)  (3.3)

где tw1, tw2 - температура греющей среды на входе и выходе из обогреваемой части генератора; t1, t2 - температура раствора на входе и выходе из обогреваемой части генератора;

б)  (3.4)

где t1, t2 - температура раствора на входе и выходе из обогреваемой части генератора;

th - температура греющего конденсирующегося пара; в)

 (3.5)

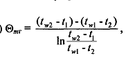
где t3, t4 - температура раствора на входе и выходе из абсорбера;

tw1, tw2 - температура воды на входе и выходе из абсорбера;

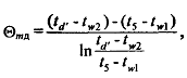
г)  (3.6)

где td’, t5 температура раствора на входе и выходе из дефлегматора;

tw1, tw2 - температура воды на входе и выходе из дефлегматора;

д)  (3.7)

где tk, - температура конденсации;

tо. с1, tо. с2 - температура охлаждающей среды на входе и выходе из конденсатора;

 (3.8)

где tо - температура кипения; tохл1, tохл2 - температура охлаждаемой среды на входе и выходе из испарителя.

3.2 Методика расчета коэффициентов теплопередачи


Коэффициентов теплопередачи от горячей среды к холодной зависит от коэффициентов теплоотдачи авн и анар и термического сопротивления стенки аппарата.

Если условия обтекания поверхности каждой из сред не изменяются, то значения авн и анар можно считать постоянными для всего аппарата.

В аппаратах с гладкотрубными поверхностями, используемыми в абсорбционных холодильных машинах, выражение для коэффициента теплоотдачи зависит от того, к какой поверхности его относят:

 (3.9)  (3.10)

где индексы "вн", "нар" и "ср" относятся к обозначению внутренней, наружной и средней поверхности трубы.

Основными составляющими общего теплового сопротивления теплопередаче в каждом аппарате являются тепловые сопротивления теплоотдаче.

Коэффициент теплоотдачи - сложная функция большого числа параметров, определяемая, в основном, опытным путем.

Для расчета величин коэффициентов теплоотдачи используются результаты исследований теплообмена для условий, характеризующих работу аппаратов абсорбционных холодильных машин.

Ниже приводятся основные сведения и уравнения для определения коэффициентов теплоотдачи в наиболее характерных процессах и конструкциях аппаратов абсорбционных холодильных машин.

Процесс теплоотдачи при вынужденном движении жидкости внутри труб описывается критериальным уравнением

 (3.11)

где

Величина dвн выбирается как характеристика теплообменной поверхности; скорость движения жидкости определяется предварительным расчетом; v, а - теплофизические свойства жидкости при определяющей температуре.

Это уравнение используется для расчета коэффициента теплоотдачи со стороны воды в абсорбере, Дефлегматоре, конденсаторе; со стороны хладоносителя - в испарителе, теплообменнике растворов.

Процесс теплоотдачи со стороны жидкости, стекающей пленкой, при условии Reпл > 200 описывается уравнением

 (3.12) где


μ, v, a - теплофизические свойства воды при средней температуре пленки;

Г1 - плотность орошения трубы, кг/ (м·с). Уравнение (3.12) используется для определения коэффициента теплоотдачи со стороны воды в вертикальном кожухотрубном конденсаторе.

Процесс теплоотдачи со стороны конденсирующегося водяного пара на горизонтальном пучке труб, отнесенный к внутренней поверхности, описывается уравнением

 (3.13)

где r, ρ, λ, μ - физические параметры воды на линии насыщения при заданном значении Тh; dвн - внутренний диаметр трубы; Θ - среднелогарифмический температурный напор.

Это уравнение используется для определения коэффициента теплоотдачи со стороны греющего пара в горизонтальном кожухотрубном генераторе.

Процесс теплоотдачи со стороны конденсирующегося водяного пара на вертикальной трубе описывается уравнением

 (3.14)

где ап - средний коэффициент теплоотдачи, отнесенный к наружной поверхности вертикальной трубы;

r, μ, v, а - физические параметры водяного пара и воды на линии насыщения при заданном значении Th.

Условие применимости уравнения (3.14) определяется наличием участка с турбулентным режимом, т.е.

 (3.15)

Уравнение (3.14) используется для определения коэффициента теплоотдачи со стороны греющего пара в вертикальном пленочном генераторе.

Процесс теплоотдачи со стороны конденсирующегося аммиачного пара на вертикальной трубе описывается уравнением

 (3.16)

где r, ρ, λ, μ, v - теплофизические свойства жидкого аммиака при температуре конденсации; ξv - поправка на волновой режим. Уравнение (3.16) используется для определения коэффициента теплоотдачи со стороны конденсирующегося аммиачного пара в вертикальном кожухотрубном конденсаторе. Процесс теплоотдачи со стороны конденсирующегося аммиачного пара на пучках гладких горизонтальных труб описывается уравнением

 (3.17)

где а - среднее значение коэффициента теплоотдачи;

ρ, λ, μ, - теплофизические параметры жидкого аммиака при температуре конденсации; Ψп, - коэффициент, учитывающий изменение скорости пара по мере прохождения горизонтальных рядов труб и натекание с верхних рядов на нижние;

ξw - коэффициент, учитывающий скорость пара в первом горизонтальном ряду;

Δi - разность энтальпий рабочего вещества на входе и выходе из аппарата;

Θа - среднелогарифмическая разность температур.

Уравнение (3.17) используется для определения коэффициента теплоотдачи со стороны холодильного агента в аммиачном кожухотрубном конденсаторе.

Процесс теплоотдачи со стороны кипящего холодильного агента, описывается уравнением

 (3.18)

где Θа - среднелогарифмическая разность температур.

Уравнение (3.18) используется для определения коэффициента теплоотдачи со стороны холодильного агента в горизонтальном кожухотрубном испарителе затопленного типа.

Процесс теплоотдачи со стороны кипящего раствора на горизонтальных трубках описывается уравнением

 (3.19)

где qF - удельный тепловой поток, отнесенный к внутренней поверхности, или определяется по номограмме, предложенной В.Н. Филаткиным.

Уравнение (3.19) используется для определения коэффициента теплоотдачи кипящего раствора к стенке трубы горизонтального кожухотрубного генератора затопленного типа.

Процесс теплоотдачи со стороны кипящего водоаммиачного раствора на вертикальной стенке описывается уравнением, предложенным автором и А.В. Вургафтом:

 (3.20)

где

μp, v, a - физические параметры раствора на линии насыщения при средней температуре пленки. Уравнение (3.20) используется для определения коэффициента теплоотдачи от кипящего слоя раствора к стенке трубы в вертикальном пленочном генераторе.

Процесс теплоотдачи со стороны водоаммиачного раствора при абсорбции в процессе барботажа пара описывается уравнением предложенным Р.Л. Даниловым.

 (3.21)

Уравнение (3.21) используется для определения коэффициента теплоотдачи от раствора к стенке горизонтального кожухотрубного барботажного абсорбера. Процесс теплоотдачи со стороны водоаммиачного раствора при абсорбции с орошением поверхности охлаждения слабым раствором описывается уравнением

 (3.22)

где индексы "p" и "w" относятся к раствору и чистой воде соответственно.

Процесс теплоотдачи со стороны водоаммиачного раствора при пленочном орошении змеевиковой охлаждающей поверхности в процессе абсорбции описывается уравнением, предложенные Ю.Д. Марусейцевым.

Для проведения расчета процессов теплоотдачи в аппаратах конструкций, отличных от рассмотренных выше, используются зависимости, приведенные в литературе, указанной в списке в конце пособия.

Анализ приведенных выше зависимостей показывает, что в процессах теплообмена, связанных с нагревом или охлаждением жидкости в аппаратах холодильных машин, коэффициенты теплоотдачи не зависят от температуры поверхности теплообмена. При этом коэффициенты теплоотдачи для каждой из сред определяются однозначно, коэффициент теплопередачи - по формулам (3.9) или (3.10), а поверхность теплообмена - по формуле (3.2).

В процессах, связанных с изменением агрегатного состояния среды, коэффициенты теплоотдачи зависят от температуры поверхности теплообмена. В этих случаях температуру стенки и коэффициент теплоотдачи можно определить методом последовательных приближений или графоаналитическим методом.