Материал: Создание лабораторно-опытного образца установки с использованием теплового насоса

Внимание! Если размещение файла нарушает Ваши авторские права, то обязательно сообщите нам

Уравнение теплового баланса одноступенчатой абсорбционной холодильной машины:

 (2.4)

где qR - тепло, отводимое от пара при очистке его в дефлегматоре при работе абсорбционной холодильной машины на бинарной смеси первого типа.

Эффективность работы абсорбционной холодильной машины оценивается тепловым коэффициентом либо эксергетическим КПД

 (2.5)

Области применения абсорбционных холодильных машин определяются их особенностями. Так, бромистолитиевые холодильные машины используются для выработки охлажденной воды, а водоаммиачные - для получения отрицательных температур до - 55°С.

Абсорбционные бромистолитиевые холодильные машины (АБХМ) представляют собой блочные комплектные агрегаты высокой заводской готовности. Серийно выпускаются АБХМ 1.0; 3.0; 5.8 МВт. Холодная вода, получаемая на АБХМ, применяется в системах кондиционирования воздуха, для технологических нужд на предприятиях химической, нефтехимической промышленности и др., при этом АБХМ ориентированы на использование в качестве греющих сред с относительно низкими температурными параметрами.

Водоаммиачные абсорбционные холодильные машины (АВХМ) применяются преимущественно в составе технологических линий. Это машины крупной единичной мощности, которые используют в качестве греющей среды вторичные тепловые ресурсы и индивидуально привязаны к конкретным условиям производств. Серийно эти машины не изготовляют, но элементы их стандартизованы.

Абсорбционные водоаммиачные машины (холодо - производительностью 3.8 МВт при температуре кипения - 10°С с воздушным охлаждением конденсаторов; 2,9 МВт при температуре кипения 1°С с воздушным охлаждением конденсаторов; 0.5 и 2.3 МВт при температуре - 34°С с водяным охлаждением конденсаторов) комплектуют холодильные станции целого ряда технологических линий по производству аммиака.

2.2 Теоретический цикл в диаграмме абсорбционно-водоаммиачных холодильных машин


В отличие от принципиальной схемы, полная схема абсорбционной холодильной машины включает в себя вспомогательные элементы, обеспечивающие экономичность, надежность, стабильность работы. Схема приведена на рис. 2.3.

Как было указано ранее, водоаммиачная холодильная машина работает на веществе первого рода, то есть на растворе, компоненты которого соиспаримы.

Первичная очистка (ректификация) пара происходит в исчерпывающей колонне, окончательная - в дефлегматоре за счет конденсации водяных паров из состава бинарного пара. Образующаяся при этом вода поглощает парообразный аммиак и стекает в генератор в виде флегмы. Пар, выходящий из дефлегматора, имеет концентрацию близкую, но не равную единице, что характеризует особенности работы конденсатора и испарителя.

В связи с тем, что в составе пара присутствует небольшая примесь воды, процесс конденсации происходит при давлении несколько меньшем, чем для чистого аммиака. Однако, учитывая большое абсолютное значение давления конденсации, при проведении расчётов падением давления пренебрегают.

Рис. 2.3 Полная схема абсорбционной водоаммиачной холодильной машины: 1 - куб; 2 - исчерпывающая колонна; 3 - дефлегматор; 4 - абсорбер: 5 - теплообменник растворов; 6 - насос; 7 - конденсатор; 8 - водяной переохладитель; 9 - газовый переохладитель; 10 - испаритель

Наличие примеси воды к холодильному агенту в большей степени оказывает влияние на работу испарителя. Процесс кипения в испарителе происходит при переменной температуре. Для проведения расчета фиксируются низшая и высшая температуры кипения, причем низшая температура характеризует начало процесса кипения, высшая окончание.

Низшая температура кипения определяет давление насыщенного пара аммиака в испарителе. Поскольку в испаритель поступает не чистый хладагент, а его смесь с абсорбентом, расчётное давление кипения уменьшают на величину ΔР0 = (0,01 + 0,005) МПа. Значение конечной температуры кипения в испарителе тем больше отличается от температуры кипения чистого аммиака, чем интенсивнее испаритель и меньше концентрация рабочего тела в нём.

Для упрощения расчетов сопротивлениями в соединительных трубопроводах можно пренебречь и принять равными давления в конденсаторе и генераторе, в абсорбере и испарителе соответственно. Характер влияния вспомогательных элементов на работу холодильной машины будет установлен при проведении расчета.

Для определения тепловой нагрузки на аппараты АВХМ и тепловой коэффициент вносим следующие обозначения: холодопроизводительность Q0, кВт; температура греющего источника fh°С; Температура охлаждающей воды twС; Температура охлаждаемого объекта tохлС.

Температура конденсации,°С,

 (2.6)

Давление конденсации Pk определяется по tk для чистого аммиака.

Низшая температура кипения,°С,

 (2.7)

Давление насыщения паров аммиака Ро определяется по температуре t0

Разность давлений кипения выбирается, исходя из нормированного значения, МПа:

 (2.8)

Расчётное давление в испарителе, МПа,

 (2.9)

Изображение процессов в диаграмме представлено на рис. 2.4.

В зависимости от назначения холодильной машины и ее конструктивных особенностей, принимается значение ξd и отмечается на диаграмме.

Высшая температура раствора, выходящего из генератора, определяется по температуре греющего источника, °С,

 (2.10)

Точка 2 пересечения изотермы t2 и изобары Рк определяет состояние слабого раствора с концентрацией ξа.

Низшая температура раствора, выходящего из абсорбера, определяется по температуре охлаждающей воды, °С:

 (2.11)

Точка 4 пересечения изотермы t4 и изобары Ро определяет состояние крепкого раствора с концентрацией ξr.

Рис. 2.4 Цикл абсорбционной водоаммиачной холодильной машины

Состояние раствора, поступающего в генератор (точка 1), зависит от процесса теплообмена между слабым и крепким раствором и определяется из уравнения теплового баланса теплообменника.

Для определения величин потоков крепкого и слабого растворов, проходящих через теплообменник, составим уравнение материального баланса генератора:

 (2.12)

где F - масса крепкого раствора, поступающего в генератор, кг/с; D - масса пара, выходящего из генератора, кг/с; (F-D) - масса слабого раствора, выходящего из генератора, кг/с. Чтобы перейти к удельным значениям потоков, отнесем их к массе ректифицированного пара

 (2.13)

и введем обозначение

 (2.14)

кратность циркуляции раствора.

Уравнение материального баланса генератора холодильной машины в приведенной форме:

 (2.15)

Уравнение материального баланса генератора по содержанию холодильного агента:

 (2.16)

откуда получим выражение для кратности циркуляции:

 (2.17)

Для составления уравнения теплового баланса теплообменника необходимо определить положение точки 3 (состояние слабого раствора при выходе из теплообменника) по его температуре,°С.

 (2.18)

2.3 Влияние параметров внешних источников на процессы и эффективность работы абсорбционных водо-аммиачных холодильных машин


Эффективность работы абсорбционной холодильной машины оценивается тепловым коэффициентом.

Представим выражение для теплового коэффициента с учетом того, что эффект охлаждения достигается вследствие совмещения прямого цикла преобразования тепла генерации в работу и обратного цикла получения холода с затратой работы. В связи с этим

 (2.19)

где  - термический КПД идеального прямого цикла Карно;

 (2.20)

холодильный коэффициент идеального обратного цикла Карно; ηd - коэффициент, учитывающий потери, связанные с действительным процессами, и определяющий степень термодинамического совершенства системы.

Для оценки влияния параметров внешних источников на тепловой коэффициент проведем анализ выражения (2.20) по изменению каждого из них.

. Температура греющей среды (Тh):

 (2.21)

Это значит, что с увеличением температуры греющего источника тепловой коэффициент холодильной машины растет.

. Температура охлаждающей среды (Тос):

Как видно из выражения (2.20), с повышением температуры Тос тепловой коэффициент уменьшается.

. Температура охлаждаемого объекта (Тохл):

С увеличением Тохл тепловой коэффициент растет.

Проведение подобного несложного анализа позволяет на первом этапе проектирования решить две задачи:

определить целесообразность применения АВХМ при имеющихся внешних источниках;

определить возможность эффективного использования АВХМ в межсезонные периоды.

С этой целью так же, как в компрессорных машинах, выбран фактор оптимизации, проведены расчеты и установлены границы эффективной работы одноступенчатой абсорбционной холодильной машины.

В качестве фактора оптимизации установлена разность интервал дегазации.

 (2.22)

Характер влияния внешних параметров на величину интервала дегазации можно продемонстрировать построением циклов АВХМ, как это показано на рис.2.5

 

Рис.2.5 Влияние внешних параметров на величину интервала дегазации: а - температуры греющего источника; б - температуры охлаждающей среды; в - температуры охлаждаемого объекта

При определенном сочетании параметров внешних источников интервал дегазации может оказаться слишком узким, равным нулю, или даже отрицательным. В первом случае осуществление цикла абсорбционной холодильной машины нерационально, а в остальных - вообще невозможно.

Минимальное значение зоны дегазации для одноступенчатой холодильной машины (ξrа) =0,04.

С целью увеличения зоны дегазации используются сложные схемы.

2.4 Высокоэффективные абсорбционные водоаммиачные холодильные машины


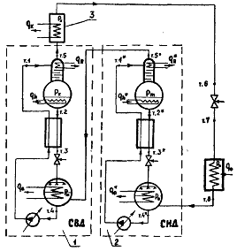
Принцип действия двухступенчатой абсорбционной холодильной машины отражен на схеме (рис.2.6).

Особенностью работы схемы является то, что в абсорбер ступени высокого давления поступает пар из генератора низкой ступени при соответствующем промежуточном давлении, что расширяет интервал дегазации.

Предполагается, что подача греющего пара в генераторы ступени низкого давления (СНД) и ступени высокого давления (СВД) параллельная; подача охлаждающей воды в конденсатор и абсорберы СНД и СВД тоже параллельная.

Эти условия определяют равенство температур слабого раствора, выходящего из генераторов СНД и СВД, равенство температур крепкого раствора, выходящего из абсорберов СНД и СВД равенство концентраций бинарного пара, выходящего из дефлегматоров СНД и СВД.

Рис.2.6 Схема двухступенчатой абсорбционной холодильной машины: 1 - ступень высокого давления (СВД); 2 - ступень низкого давления (СНД); 3 - конденсатор; 4 - испаритель

Особенностью расчета данной схемы является выбор величины промежуточного давления как функции  - суммы тепловых нагрузок генераторов СНД и СВД. Величина Рт может быть определена графоаналитическим путем.

При этом для нескольких значений, например трёх, промежуточного давления в интервале Ротк ведется расчет цикла с определением суммы тепловых потоков генераторов СНД и СВД, строится график зависимости  и определяется значение Рт, при котором эта сумма будет иметь минимальное значение.

Цикл двухступенчатой АВХМ представлен на рис.2.7

Рис. 2.7 Цикл двухступенчатой абсорбционной холодильной машины

Методика определения Рт в соответствии с циклом представляется следующим образом: СВД

 (2.23), СНД (2.24)

Удельные тепловые нагрузки дефлегматоров СНД и СВД, кДж/кг,

 (2.25)

 (2.26)

Удельные тепловые нагрузки генераторов СНД н СВД, кДж/кг,

 (2.27)

 (2.28)

Для каждого из 3-х значений Рт находится сумма

 (2-29)

Результаты расчета наносятся на график, откуда определяется Рт.

После определения Рт строится действительный цикл двухступенчатой холодильной машины и ведется расчет каждой ступени как одноступенчатой АВХМ в заданных интервалах давлений.

Уравнение теплового баланса холодильной машины:

 (2.30)

Тепловой коэффициент цикла:

 (2.31)

Абсорбционная водоаммиачная холодильная машина с материальной регенерацией. Принцип действия АВХМ с материальной регенерацией представлен на рис. 2.8.

В цикле холодильной машины с материальной регенерацией происходит ступенчатое снижение давления слабого раствора с дальнейшим понижением его концентрации от ξа до ξа* и повышение давления крепкого раствора с увеличением его концентрации от ξ,r до ξ,r*. Для этих целей в схеме предусмотрены деконцентратор и концентратор.