Материал: Создание лабораторно-опытного образца установки с использованием теплового насоса

Внимание! Если размещение файла нарушает Ваши авторские права, то обязательно сообщите нам

 (3-48)

В связи с тем, что слабый раствор при поступлении в генератор находится в состоянии влажного пара, при распылении в форсунках из него выделяется пар, равновесный раствору. Состояние пара и насыщенной жидкости определяется построением изотермы 7-3', при этом точка 5 характеризует равновесное состояние раствора в начале процесса 5-4 изобарной десорбции.

Положение точки 5 на изобаре Ph определяют методом последовательного приближения. Принимают значение температуры t5, проводят линию кипения 5-4. Далее определяют среднюю температуру раствора в генераторе,°С,

 (3-49)

и соответствующее ему состояние пара (точка 3'). Изотерма 3'-7 должна пройти через выбранную точку 5.

Удельные тепловые нагрузки аппаратов теплового насоса, кДж/кг,

 (3-50)

 (3-51)

 (3-52)

 (3-53)

Уравнение теплового баланса цикла:

 (3.54)

Коэффициент трансформации низкопотенциальной теплоты на более высокий температурный уровень:

 (3.55)

Температура горячей воды, нагретой в абсорбере, на 4-5°С ниже высшей температуры в абсорбере,°С,

 (3.56)

Температура воды на входе в абсорбер должна быть,°С,

 (3.57)

В общем случае рациональность использования теплового насоса оценивается результатами анализа его экономической эффективности. При этом необходимо учитывать стоимость теплоты, расходуемой на обогрев генератора.

Учет ведется путем сравнения с одной стороны системы, состоящей из котельной и абсорбционного теплового насоса, а с другой стороны - отопительной котельной.

Результаты такого сравнения показывают, что абсорбционный тепловой насос практически всегда выгоднее.

Если же для работы абсорбционного теплового насоса пользуются вторичные тепловые ресурсы, выгода от их применения становится большей, что и обусловливает необходимость использования в технике.

Глава 4. Исследование применения и расчет тепловых насосов в схеме сушильно-холодильной установки


4.1 Расчет и проектирование абсорбционно-холодильной машины применяемого в сушилно-холодильной установке


Абсорбционные холодильные агрегаты рассчитаны на работу при температуре окружающего воздуха 30-35°С. Некоторые зарубежные фирмы выпускают абсорбционно-диффузионные холодильники для работы в тропических условиях при температуре окружающего воздуха 40-45°С.

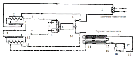
Рис. 4.1 Принципиальная схема сушильно-холодильной установки: 1 - теплообменник; 2 - конденсатор; 3 - трубопровод нагретого газа; 4 - главный циркуляционный насос; 5 - переохладитель; 6 - электродвигатель; 7 - линия всасывания; 8 - генератор; 9 - компрессор; 10 - насос испарителя; 11 - перегреватель; 12 - дроссельный клапан; 13 - испаритель; 14 - коаксиальный теплообменник; 15 - сброс теплой воды; 16 - сборник теплой воды; 17 - байпас; 18 - напорный трубопровод; 19 - насос дополнительно оборотной воды.

Особенностью конструкции сушильно-холодильной машины, изображенного на рис. 4.1, является использование конденсатора и испарителя в качестве излучателя и поглотителя тепла соответственно.

Сжатые компрессором 9 пары аммиака, направляется по трубопроводу нагретого газа 3 к конденсатору 2. Этот компрессор соединен к электродвигателю 6 и создает большое давление паров аммиака. В конденсаторе 2 пары аммиака переходят в жидкую консистенцию, при этом образуется большое количество тепла. Образованное тепло отбирается теплоносителем. Теплоноситель по трубопроводам приводиться в движение с помощью главного циркуляционного насоса 4. При минимальной температуре теплоноситель переохлаждает жидкий азот в переохладителе 5. Затем поступает в межтрубное пространство конденсатора и охлаждает конденсированный аммиак, а сам нагревается. При этом теплоноситель достигает максимальной температуры и нагнетается насосом 4 для потребителей тепла.

Охлажденный аммиачный конденсат, проходя через теплообменник - перегреватель 5, поступает в перегреватель 11, где он перегревает пары аммиака поступаемого из испарителя 13. В испарителе 13 происходит испарение жидкого аммиака посредством его дросселирования с помощью клапана 12. Жидкий аммиак переходить в паровое состояние и образуется большое количество холода (поглощение тепла). Для отвода холода в потребление организовано движение жидкости-холодоносителя посредством нагнетания ее насосом испарителя 10. Эта жидкость нагнетаемая насосом 10 проходить по межтрубному пространству и отнимает холод образуемого испарением жидкого аммиака в испарителе 13. Охлажденный холодоноситель направляется на теплообменные 14 для употребления холода. При недостаточности тепла холоносителя для съема в испарителе образуемого холода предусмотрена система дополнительного оборота воды. Она включает в себя насос дополнительного оборота воды 19, сборник теплой воды 16, сбросный 15 и напорный трубопроводы теплой воды 18, а также байпасная линия 17.

Холодный парообразный аммиак, образованный в испарителе 13 перегревается в межтрубном пространстве теплообменника-перегревателя 11. В трубном пространстве этого теплообменника в качестве теплоносителя проходит жидкий теплый аммиак. Пары аммиака по линии всасывания поступают в генератор 8. В генераторе происходит регенерация аммиачных паров и его подача на компрессор 9.

Таким образом происходит цикл движения аммиака в парообразном и жидком фазах, а также тепло - и холодоносителей. Количественное и качественное участие всех тепловых агентов участвующих в процессе генерации тепла и холода в установке способствуют бесперебойной и эффективной работе всей установки.

На рис. 4.2 представлена схема абсорбционно-холодильного агрегата.

Температура в морозилке меняется в пределах от - 30 до - 18 0С.

Жидкий аммиак испаряется в водород при общем давлении в испарителе равном 25 атм, но с парциальным давлением равным 1 атм.

В начальный момент в испарителе морозилки аммиак находится при давлении 1 атм, водород - при 24 атм, общее давление, таким образом, составляет 25 атм. Аммиак продолжает испаряться в водород при постепенном повышении парциального давления и постепенном повышении температуры.

Когда смесь водорода и аммиака поступает в камерный испаритель через газовый теплообменник, парциальное давление аммиака составляет 3 атм, водорода - 22 атм.

В камерном испарителе оставшийся аммиак испаряется при температуре - 5 0С.

Газ с большим содержанием аммиака поступает в абсорбер. Отделившийся в абсорбере водород поступает в контур циркуляции водорода, откуда через газовый теплообменник возвращается в испарители. Таким образом, различное содержание водорода в смеси с аммиаком обеспечивает наличие двух температур в испарителях.

Рис. 4.2 Принципиальная схема абсорбционной холодильной машины: 1 - генератор; 2 - конденсатор; 3 - испаритель; 4 - абсорбер; 5 - теплообменник

4.1.1 Тепловой расчет абсорбционно - холодильной машины

Исходные данные:

Холодопроизводительность машины Qo = 14 ккал/час

Температура воздуха в помещении tп = 32°С

Средняя температура воздуха в холодильной камере tк = 7°С.

Общее давление в машине Робщ=20 атм.

Выравнивающий газ водород, Н2

Вид энергии, потребляемой для работы машины - электричество

Охлаждение конденсатора и абсорбера - воздушное

Основу расчёта тепловой абсорбционно-диффузионной холодильной машины составляет определение тепловых нагрузок аппаратов, площади теплообменных поверхностей, компоновка аппаратов.

Условия расчёта:

. Конденсация NH3 в конденсаторе происходит при постоянном давлении в предположении, что количество водорода при расчетном режиме работы машины в конденсаторе незначительно.

. При наличии вертикально расположенного газового теплообменника влага, уносимая из абсорбера бедной парогазовой смесью, почти вся возвращается в абсорбер.

. Растворение Н2 в водоаммиачном растворе относительно небольшое и на процессах, осуществляющих водоаммиачный цикл, не отражается.

Определение параметров парогазовой смеси ведется с использованием таблиц термодинамических свойств водоаммиачного раствора и пара.

Дополнительно к уже известным исходным данным принимаем следующие параметры, при которых осуществляются процессы в испарителе и абсорбере:

Низшая температура испарения tон = - 10°С

Высшая температура испарения tов = - 2°С

Средняя температура испарения tom = - 6°С

Парциальное давление NH3 в испарителе на границе раздела фаз в соответствии с принятыми температурами: низшее Рн. н = 2,96 атм. высшее Рн. в = 4,06 атм. Парциальное давление NH3 в абсорбере на границе раздела фаз: при входе слабого водоаммиачного раствора Ран = 2,36 атм. при выходе крепкого раствора Рав = 3,46 атм. Высшая температура абсорбции t2 = 50°С

Парциальное давление аммиака в потоке парогазовой смеси, циркулирующей через испаритель и абсорбер, принимаем, исходя из практических данных лаборатории ВНИИЭМП и ЛТИХП. Принимаем в испарителе по всей длине контакта парогазовой смеси с аммиаком ΔР = 0,3. Тогда парциальное давление NH3 в потоке бедной парогазовой смеси при входе в испаритель Рв = 4,06 - 0,3 = 3,76 атм. и парциальное давление NH3 в потоке богатой парогазовой смеси при выходе из испарителя Ри' = 2,96 - 0,3 = 2,66 атм. Концентрацию крепкого водоаммиачного раствора ξr при выходе из абсорбера принимаем равной 0,364 в соответствии с парциальным давлением на границе раздела фаз, равным 3,46 атм, и температурой 50°С. Концентрацию слабого аммиачного раствора ξa при входе в абсорбер принимаем равной 0,148 в соответствии с парциальным давлением на границе раздела фаз 2,36 атм. и температурой 50°С. Температуру жидкого хладагента на входе в газовый теплообменник принимаем равной 35°С, а на выходе - 5°С. Температурный перепад на теплом конце газового теплообменника принимаем равным 10°С, тогда температура богатой парогазовой смеси при входе в сборник абсорбера - 40°С. Температуру богатой парогазовой смеси на входе в газовый теплообменник принимаем равной 2°С.

4.1.2 Расчет процессов парогазового кругооборота машины

Объемная доля NH3 в бедной парогазовой смеси


Объемная доля NH3 в богатой парогазовой смеси


Весовая концентрация NH3 на 1 кг газовой смеси:

а) в бедной парогазовой смеси, кг/кг,


б) в богатой парогазовой смеси, кг/кг,


где та, тв - молекулярный вес NH3 и Н2. Кратность циркуляции парогазовой смеси, кг/кг,


Теплоемкость парогазовой смеси, ккал/кг°С,

а) бедной парогазовой смеси:


где

Срв - теплоемкость Н2 принимаем равной 3.41;

Сра - теплоемкость NH3 определяется по средней энтальпии при соответствующем давлении, начальной и конечной температурах (Розенфельд Л.Н., Ткачев Л.Г. "Холодильные машины и аппараты" - таблицы перегретых паров) и равна 0.548 ккал/кг°С;


б) богатой парогазовой смеси:


Потери холода на охлаждение бедной парогазовой смеси в испарителе на 1°С, ккал/кг,


Количество тепла, которое может быть подведено к богатой парогазовой смеси при нагреве на 1 0С, ккал/кг,


Количество тепла, подводимое к богатой парогазовой смеси в конце испарителя при перегреве ее с - 2 0С до 2 0С, ккал/кг,


Количество тепла, которое может быть подведено к богатой парогазовой смеси за испарителем при перегреве ее с 2 0С до 40 0С, ккал/кг,


Количество тепла, отводимое богатой парогазовой смесь при переохлаждении жидкого NH3 с 35 0С до 5 0С, ккал/кг,


Количество тепла, отводимое от бедной парогазовой смеси газовом теплообменнике богатой парогазовой смесью, ккал/кг,


Температура бедной парогазовой смеси при входе в испаритель, 0С,


Количество тепла, подводимое бедной парогазовой смесью в испарителе при ее охлаждении с температуры 17,2 0С до - 10 0С, ккал/кг,


Количество тепла, которое могло бы быть подведено к парам NH3, идущим из испарителя в абсорбер при подогреве их с 6°С до 40°С, ккал/кг,


где  - энтальпия перегретых паров NH3 при t = 40°С и P = 3.76 атм;  - энтальпия паров NH3 при средней to = - 6°С. Холодопроизводительность 1 кг хладагента при отсутствии в машине выравнивающего газа, ккал/кг,


Холодопроизводительность 1 кг с учетом потерь холода, вызываемых присутствием в машине выравнивающего газа, ккал/кг,

.

Кратность циркуляции


Количество тепла, отводимое окружающим воздухом от абсорбера с учетом циркулирующей в нем парогазовой смеси, ккал/кг,


Коэффициент полезного действия парогазового цикла: