Материал: Создание лабораторно-опытного образца установки с использованием теплового насоса

Внимание! Если размещение файла нарушает Ваши авторские права, то обязательно сообщите нам

4.2 Выбор параметров процессов водоаммиачного цикла машины


Для обеспечения концентрации слабого раствора ξ = 0.148 высшую температуру в генераторе принимаем равной 170°С. Температуру конденсации хладагента принимаем равной 45°С. Низшую температуру ректификации принимаем на 12°С выше температуры конденсации, то есть 57°С.

4.2.1 Расчет процессов водоаммиачного цикла машины с выравнивающим газом

Количество тепла, отводимое окружающим воздухом от конденсатора, ккал/кг,


Количество тепла, отводимое воздухом от жидкостного трубопровода, соединяющего конденсатор с газовым теплообменником, ккал/кг,


Количество тепла, подводимое слабым раствором к крепкому, ккал/кг,


Энтальпия крепкого раствора на выходе из жидкостного теплообменника, ккал/кг,


Удельное количество флегмы, стекающей из воздушного ректификатора в генератор, кг/кг,


Количество тепла, отводимое от ректификатора воздухом, ккал/кг,


Количество тепла, затрачиваемое на выпаривание 1 кг хладагента в генераторе, ккал/кг,


Тепловой баланс

Тепло, подводимое:

к генератору qhR = 549.90 ккал/кг

к испарителю qои = 221.65 ккал/кг

Итого: 771.55 ккал/кг

Тепло, отводимое:

от абсорбера qa = 319.65 ккал/кг

от конденсатора qk = 263.67 ккал/кг

от ректификатора qR = 190.10 ккал/кг

Итого: 773.42 ккал/кг

Значения параметров точек, необходимых для расчета рабочих процессов парогазового кругооборота, сведены в табл. 4.1 Значения параметров точек, необходимых для расчёта рабочих процессов водоаммиачного цикла машины, сведены в табл. 4.2.

Таблица 4.1

Значения параметров точек, необходимых для расчета рабочих процессов парогазового кругооборота

Состояние вещества

Обозначение

Тем-ра,°С

Давление

Концентрация

Энтальпия




общее

парциальное

пара

жидкости

пара

жидкости

1

2

3

4

5

6

7

8

9

Жидкий хладагент при входе до теплового контакта с трубкой ответвленного потока

6'

35

20

20


0.998

307.9

39

Жидкий хладагент перед входом в испаритель

6"

5

20



0.998


-51

Хладагент в начале испарителя

7-10

-10

20

2.96


299.05


-10.68"

7-2

-2

20

4.06


300.98



Богатая парогазовая смесь при выходе из испарителя

8

2

20

3.76





Богатая парогазовая смесь при входе в абсорбер

10

40

20

3.76


328.9


-18.6

Бедная парогазовая смесь при выходе из теплообменника

12


20

2.66





Слабый раствор при входе в абсорбер

3

50

20

2.36

0.954

0.148

348.15

0.785

Крепкий раствор при выходе из абсорбера

4

50

20

3.46

0.979

0.364

333.18

-5

Пар при входе в конденсатор

5

55

20

20

0.998

0.862

315.07

38.8

Бедная парогазовая смесь при выходе из абсорбера

11

45

20

2.66



335.03

-10.6


Таблица 4.2

Значения параметров точек, необходимых для расчёта рабочих процессов водоаммиачного цикла машины

Состояние вещества

Обозначение

Температура,°С

Давление

Концентрация аммиака

Энтальпия




общее

парциальное

пара

жидкости

пара

жидкости

Слабый раствор при выходе из генератора

2

170

20

20


0.148

501.33

150

Слабый раствор на выходе из жидкостного теплообменника

3

85

20

2.36


0.148


6.43

Пар и равновесный ему раствор при выходе из генератора

d

140

20

20

0.836

0.264

418.8

105.4

Пар и равновесный ему раствор при выходе из ректификатора

b

57

20


0.998

0.862

316.9

34.5

Жидкий хладагент при выходе из конденсатора

6

45

20

20


0.998


51.4


4.2.2 Коэффициенты холодильной машины

Теоретический тепловой коэффициент общего практического цикла без учета потерь, вызываемых присутствием инертного газа:


Расчетный тепловой коэффициент общего практического цикла машины с учетом присутствия выравнивающего газа, но без учета внешних потерь:


Действительный тепловой коэффициент машины будет несколько отличаться от расчетного вследствие потерь тепла "горячим" узлом машины (генератор - жидкостный теплообменник) и холода газовым теплообменником. На основе опытных данных принимаем потери тепла "горячим" узлом равными ≈15% от тепла, подводимого к генератору; потери холода газовым теплообменником равными 10% от тепла, подводимого к генератору; потери холода газовым теплообменником равными 10% от тепла, подводимого к испарителю. Действительный расход тепла в генераторе на 1 кг хладагента составит, ккал/кг,


Действительная холодопроизводительность 1 кг хладагента составит, ккал/кг,


Действительный тепловой коэффициент машины при принятых расчетных данных:


Действительный КПД машины:


4.2.3 Определение тепловых нагрузок или производительности аппаратов

Для определения тепловых нагрузок аппаратов машины определим количество циркулирующего (испаряющегося) хладагента через испаритель в час при холодопроизводительности машины Q0 = 14 ккал/час и холодопроизводительности 1 кг хладагента q= 199 ккал/кг, кг/час,


Производительность отдельных аппаратов, ккал/час,


где q - холодопроизводительность отдельных аппаратов на 1 кг хладагента

Абсорбер Qa = 0.0704-319.65 = 22.4 ккал/час

Газовый теплообменник Qг. т = 0.0704-172 = 12.1 ккал/час

Жидкостный теплообменник QЖ. T = 0.0704-421 = 29.6 ккал/час Конденсатор Qк = 0.0704-263.67 = 18.5 ккал/час

Воздушный ректификатор QВR = 0.0704-190.1 = 13.35 ккал/час

Генератор QhR = 0.0704-549.9 = 38.5 ккал/час.

4.3 Тепловой расчет и конструирование аппаратов абсорбционно-диффузионной холодильной машины


4.3.1 Расчет испарителя

Принятая конструкция испарителя представляет собой оребренную трубку (ребра прямые):


Холодопроизводительность испарителя Q0= 14 ккал/час.

Определение поверхности испарителя производим по средним и средневзвешенным параметрам и величинам, характеризующим теплоотдачу от воздуха в камере к поверхности испарителя, теплоотдачу от внутренней поверхности испарителя к потокам хладагента и парогазовой смеси, а также процесс испарения. Теплопередающая поверхность испарителя, м2,


где Θm - разность температур между средневзвешенной температурой в холодильной камере и средней температурой испарителя,°С;


Коэффициент теплопередачи, ккал/м2·час·°С,


где α1 - коэффициент теплоотдачи от воздуха к поверхности испарителя принимаем равным 10 ккал/м2·час·°С; α1 = 10 ккал/м2·час·°С.

Термическое сопротивление δ/λ не учитывается ввиду очень незначительной толщины трубки;

α2 - коэффициент теплоотдачи от внутренней поверхности стенки канала и испаряющегося хладагента к движущейся парогазовой смеси, ккал/м2·час·°С.

α2 = 0.75·αx* ах = 200 ккал/м2·час·°С (принимаем по приближенным значениям).

Коэффициент 0,75 учитывает то, что поверхность, смачиваемая жидким хладагентом, составит около 75% внутренней поверхности испарителя.


F1 - внутренняя поверхность испарителя, м2,

 

2 - оребренная поверхность испарителя, м2,


Коэффициент оребрения поверхности испарителя


Коэффициент теплопередачи испарителя, ккал/м2·час·°С,


Теплопередающая поверхность испарителя, м2,


Холодопроизводительность конструктивно принятой поверхности испарителя, ккал/час,


то есть отвечает потребной холодопроизводительности.

4.3.2 Расчет конденсатора

Конструкцию конденсатора принимаем в виде оребренной трубки Ш11x1,0. Ребра прямые hр = 45 мм, bр = 33 мм, δР = 0,6 мм. Расстояние между ребрами 6,5 мм, Zp = 36.

Производительность конденсатора 18.5 ккал/час.

Теплопередающая поверхность конденсатора подсчитывается по формуле, м2,


где Qk - производительность конденсатора;

Кк - коэффициент теплопередачи конденсатора;

Δt - температурный перепад между основной поверхностью

(трубой) конденсатора и окружающим воздухом.

Ввиду незначительных сопротивлений со стороны стенки трубы, последние при определении коэффициента теплопередачи не учитываются:


где α1 - коэффициент теплоотдачи от конденсируемого агента к стенке трубы;

α2 - коэффициент теплоотдачи от ребристой поверхности к воздуху;

.9 - коэффициент ухудшения теплоотдачи в связи с рёбрами насаженными, а не монолитными. Коэффициент теплоотдачи от холодильного агента к стенке трубы рассчитывается по формуле для конвективного теплообменника при изменении агрегатного состояния [35]:


Расчётный коэффициент М принимаем по графику Городинской для NH3 М= 5.6.

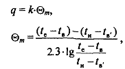
Тепловой поток подсчитываем ориентировочно, задавшись К= 60 и длину трубы приняв 1.5 м, ккал/м2,


где tc - температура агента при входе в оребрённую часть конденсатора, принимаем равной 52°С;

tb - температура воздуха, поступающего в конденсатор, равная 32°С;

tb ' - температура нагретого воздуха, уходящего из конденсатора, равная 36°С;

tн - температура наружной стенки трубы, принимаем равной 48°С.

Средняя температура воздуха, омывающего конденсатор:


Коэффициент теплоотдачи от ребристой поверхности принимаем α2=10 ккал/м2-час·°С.

Поверхность гладкой трубы конденсатора, м2,


Поверхность оребренной трубы конденсатора, м2,


Коэффициент теплопередачи конденсатора, ккал/м2·час·°С,


Теплопередающая поверхность конденсатора, м2,


Расчетная длина оребренной трубы конденсатора, м,


Конструктивно принятая длина оребренной части конденсатора l=0.48 м.

4.3.3 Расчет абсорбера

Принятая конструкция абсорбера представляет собой трубу Ш16х1,6; l = 3500 мм.

Производительность абсорбера 22,4 ккал/час.

Теплопередающую поверхность абсорбера определяем по формуле, м2:


где Θm - разность температур окружающего воздуха и поверхности абсорбера.

Коэффициент теплопередачи абсорбера, ккал/м2·час·°С,


где α1 - коэффициент теплоотдачи со стороны парогазовой смеси и раствора к стенке канала; α2 - коэффициент теплоотдачи от внешней поверхности абсорбера к воздуху.

Так как толщина стенки трубки незначительна, применяем формулу коэффициента теплопередачи для плоской стенки.

Коэффициент теплоотдачи со стороны раствора и парогазовой смеси к стенке канала:


где 0,1 - доля смачивания периметра канала раствором при заполнении объема абсорбера в расчете 5%, причем толщина слоя раствора по оси канала будет около 2мм. Для водоаммиачного раствора коэффициент теплоотдачи принимаем 150 ккал/м2·час·°С. Коэффициент теплоотдачи от парогазовой смеси принимаем 60 ккал/м2·час·°С. Коэффициент теплоотдачи от потоков парогазовой смеси и раствора к внутренней поверхности абсорбера, ккал/м2·час·°С,


Коэффициент теплоотдачи от внешней поверхности абсорбера к окружающему воздуху принимаем: α2 = 10 ккал/м час·С.

Коэффициент теплопередачи абсорбера, ккал/м2·час·°С,


Среднелогарифмическая разность температур между температурами абсорбции и охлаждаемого воздуха,°С,


Теплопередающая поверхность абсорбера, м2,


Поверхность абсорбера, принятая конструктивно, равна 0,175 м2. Эта поверхность обеспечивает необходимые условия процессов, как теплообмена, так и массообмена.

Выводы


На основании проведённого анализа можно сделать вывод, что абсорбционные холодильные машины по ряду перечисленных факторов являются более совершенными и могут быть признаны экономически и экологически перспективными.

Применение сушильно-холодильных установок с использованием тепловых насосов в качестве теплогенератора при сушке за счет экономии энергии вторичных теплоносителей позволяет повысит эффективность производства.

Применение тепловых насосов позволяет создание комплекса тепло-холод для охлаждения продуктов и использования тепла для сушки.

Список литературы


1.      Вургафт А.В., Галимова Л.В. Массоотдача при сопутствующей ректификации в генераторах АХМ / Известия вузов. Пищевая технология. - 1974. - № 5.

2.      Вургафт А.В., Галимова Л.В. Теплоотдача при кипении водоаммиачного раствора в стекающей пленке на вертикальной трубе // Холодильная техника. - 1974. - № 2.

.        Гохштейн Д.П. Использование отходов тепла в тепловых насосах. - М. - Л.: Госэнергонздат, 1955. - 80 с. Современные методы термодинамического анализа энергетических установок. - М.: Энергия, 1969. - Э68 с.

.        Pietsch, J. A. The unitary heat pump industry - 25 years of progress. ASHRAE Jnl., Vol. 19, Pt.7, pp 15-18, July 1977.

.        Мартыновский В.С. Тепловые насосы. - М. - Л.: Госэнергонздат, 1955. - 192 с. Циклы, схемы и характеристики термотрансформаторов. - М.: Энергия, 1979. - 285 с.

.        Бродянский В.М. Эксергетнческнй метод термодинамического анализа. - М.: Энергия, 1973. - 296 с.

.        Зысин В.А. Отопительные установки с тепловым насосом. Работы ЦКТИ. Кн.4, вып.1. - М. - Л.: Машгнз, 1947, с.31-39. Комбинированные парогазовые установки н циклы. - М. - Л.: Госэнергонздат, 1962. - 186 с.

.        Каплан А.М. Тепловые насосы, их техннко-экономяческне возможностя и области применения. Работы ЦКТИ. Кн.4, вып.1. - М. - Л.: Машгнз, 1947, с.3-30.

.        Ложкин А.Н. Трансформаторы тепла, - М. - Л.: Машгнз, 1948. - 200 с.

.        Розенфельд Л.М., Звороно Ю. С, Оносовский В.В. Применение фреоновой холодильной машины для охлаждения и динамического отопления, - Теплоэнергетика, 1961, № 6, с 12-16.

.        Butler С., Ferranti F. fridge-heater, Arch. J. Info. Sheet ч 28,J.1, May 31, 1956.

.        Kell, J. R. and Martin, P. L. The Nuffield College heat pump J. Inst. Heating & Ventil, Engnrs., pp 33 3-356, Jan. 1963,Ундриц Г.Ф. Использование холодильных машин для целей отопления. - Изв. Энергет. ин-та им.Г.М. Кржижановского, 1933, т.1, с.107-132

.        Янтовский Е. И, Пустовалов Ю.В., Янков В.С. Теплонасосные станции в энергетике. - Теплоэнергетика, № 4, 1978, с.13-19.

.        Гомелаури В.И., Везиришвили О.Ш. Опыт разработки и применения теплонаносных установок. - Теплоэнергетика, № 4, 1978, с.22-25.

.        Бадылькес И.С., Данилов РД. Абсорбционные холодильные машины. - М.: Пищевая промышленность, 1966. - 335 с.

.        Блиер Б.М., Вургафт А.В. Теоретические основы проектирования абсорбционных термотрансформаторов. - М.: Пищевая промышленность, 1971. - 199 с.

.        Блиер Б.М., Галимова Л.В. Анализ термодинамического совершенства выпарных элементов абсорбционных холодильных машин // Труды Всесоюзной научно-технической конференции по термодинамике. Сборник докладов секции "Новые технические схемы и циклы." - Л., 1969.

.        Быков А.В., Калнинь И.М., Крузе А.С. Холодильные машины и тепловые насосы. - М.: Агропромиздат, 1988. - 286 с.

.        Вургафт А.В., Галимова Л.В. Массоотдача при сопутствующей ректификации в генераторах АХМ / Известия вузов СССР. Пищевая технология. - 1974. - № 5.

.        Вургафт А.В., Галимова Л.В. Теплоотдача при кипении водоаммиачного раствора в стекающей пленке на вертикальной трубе // Холодильная техника. - 1974. - № 2.

.        Галимова Л.В. Результаты экспериментального исследования и методика расчета вертикального пленочного генератора абсорбционной водоаммиачной холодильной машины // Тезисы докладов Всесоюзной конференции "Совершенствование процессов, машин и аппаратов холодильной и криогенной техники и кондиционирования воздуха". - Ташкент, 1977.

.        Галимова Л.В., Вургафт А.В. Изменение температурного напора по высоте вертикального пленочного генератора абсорбционной холодильной машины // Холодильная техника. - 1979. - № 7.

.        Галимова Л.В. К методике расчета выпарного элемента генератора АХМ // Тезисы докладов научно-технической конференции "Повышение эффективности использования теплообмен-ных аппаратов холодильных машин". - Астрахань, 1980.

.        Галимова Л.В. Использование агрегата АБХА-2500 для целей отопления на Астраханском заводе резиновой обуви // Холодильная техника. - 1983. - № 4.

.        Галимова Л.В. Тепловой насос на базе АБХА-2500 // Тезисы докладов Всесоюзного научно-практического семинара "Тепловые насосы в народном хозяйстве СССР". - Калининград, 1990.

.        Галимова Л.В., Голиков Ф.Д. Исследование возможности применения тепловых насосов в схемах очистки сточных вод гальванопроизводства. Вестник Астраханского технического института рыбной промышленности и хозяйства. - М., 1993.

.        Гуйго Э.И. и др. Теоретические основы хладотехники.Ч.I. Термодинамика. - М.: Колос, 1994. - 286 с.

.        Гуйго Э.М. и др. Теоретические основы хладотехники.Ч. II. Тепломассообмен. - М.: Колос, 1994. - 367 с.

.        Дзино А.А., Тимофеевский Л.С., Ковалевич Д.А. Синтез термодинамических циклов одноступенчатой бромистолитиевой холодильной машины // Холодильная техника. - 1992. - № 6.

.        Рей Д., Макмайкл Д. Тепловые насосы. - М.: Энергоиздат, 1982. - 218 с.

.        Розенфельд Л.М., Ткачев А.Г. Холодильные машины и аппараты. - М.: Издательство торговой литературы, I960. - 650 с.

.        Сакун И.А. и др. Холодильные машины. - Л.: Машиностроение, 1985. - 504 с.

.        Сакун И.А. и др. Тепловые и конструктивные расчеты холодильных машин. - Л.: Машиностроение, 1987. - 418 с.

.        Розенфельд Л.М., Ткачёв А.Т. "Холодильные машины и аппараты", стр.338