Материал: Сировиготовлювач

Внимание! Если размещение файла нарушает Ваши авторские права, то обязательно сообщите нам

де Мп.верш. - маса підсирних вершків отриманих при сепаруванні сироватки,кг Мсир. - маса сироватки, кг (Мсир.=39620,7·0,81=32092,8 кг); Жзн.сир. - масова частка жиру в знежиреній сироватці, % (Жзн.сир.=0,051 %); П - гранично допустимі витрати жиру при сепаруванні сироватки, % (П=0,7 %); Жп.верш. - масова частка жиру в підсирних вершках, отриманих при сепаруванні, % (Жп.верш.=32,6 %).


Маса вершків отриманих при нормалізації молока на сир без врахування втрат, визначається наступним чином:

.

(5.6)

Вершки в кількості 379,3 кг надходять в цех.

Маса закваски з урахуванням втрат визначається по формулі:

(5.7)


де Пзакв.-гранично допустимі втрати закваски, % (Пзакв.=0,6 %); а -кількість закваски, % (а=0,8 %).


Кількість сичужного ферменту визначаємо із співвідношення:

кг молока - 0,02кг CaCl2

,7 кг молока - х кг CaCl2


Кількість сижучного ферменту визначаємо із співвідношення:

кг молока - 0,0025кг ферменту

,7 кг молока - х кг ферменту



5.2 Тепловий розрахунок

5.2.1 Розрахунок основного обладнання

Розрахунок витрат пари для сировиготовлювача. Пара витрачається на підігрів суміші при виробництві сирного зерна. Витрати пари на технологічні цілі для апаратів періодичної дії розраховуємо по формулі:

(5.8)


де М=10200 кг - кількість продукту, який підігрівається; с=4,03 кДж/(кг·°С) - теплоємність продукту; t1=34 °С, t2=43 °С - початкова та кінцева температури продукту;і=2705,78 кДж/кг - тепловміст пари; сk=2,04 кДж/(кг·°С) - теплоємність конденсату, кДж/(кг·°С); tk=99 °С - температура конденсату; η - коефіцієнт теплового використання (для ізольованого кожуха η=0,75).

Для сиру «Російського» втрати пари на підігрів молока в сировиготовлювачі дорівнюють:


Так як використовується два сировиготовлювачі, то кількість втрати пари буде становити:



5.2.2 Витрати холодної води для установки по солінню сирного зерна в потоці

Розрахуємо витрати води для охолодження розсолу до температури 30 °С. Кількість охолоджуючої води, яка проходить крізь ванну тривалої пастеризації визначаємо з рівняння теплового балансу:

(5.9)


де с’=c”=4,28 кДж/(кг·°С) - середня масова теплоємність охолоджуючої води при температурі до і після установки; Мп.=11,65 кг/год. - кількість відпрацьованого пару, який проходить крізь установку; і=2705,78 кДж/кг - ентальпія пару; tk=99 °С - температура конденсату;t’в.=5 °С, t’’в.=18 °С - температура води до і після установки; сk=4,19 кДж/(кг·°С) - середня масова теплоємність конденсату.

З теплового балансу (5.9) визначимо кількість охолоджуючої води:

(5.10)


5.3 Кінематичні розрахунки

5.3.1 Розрахунок привода сировиготовлювача

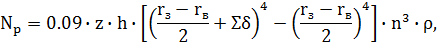
Потужність на валу мішалки з ножами при різанні згустку, постановці і перемішуванні зерна визначаємо по емпіричній формулі:

(5.11)


де Np - робоча потужність на валу мішалки в робочий період, Вт; z=2 - кількість мішалок; h - висота занурення мішалки в продукт, м; rз, rв - зовнішній і внутрішній радіус траєкторії, яку описує мішалка, м; n - число обертів мішалки, об./хв.; ρ - густина продукту, кг/м3; Σδ - сума товщин ріжуче-вимішувальних інструментів, м;

(5.12)


де δ1 - товщина плоских ножів, м; z1 - кількість плоских ножів, шт.; δ2 - ширина бокових роликових планок, м; z2 - кількість бокових роликових планок, шт.;


Тоді потужність на валу мішалки буде дорівнювати:


Електродвигун підбираємо по величині робочої потужності на валу мішалки з урахуванням коефіцієнта запасу потужності:

(5.13)


де β - коефіцієнт запасу потужності (приймаємо β=1,3); ηелд - коефіцієнт корисної дії електродвигуна (ηелд=0,668); ηпер - ККД передачі (ηпер=0,85);


Виходячи зі значень потужності та частоти обертання на вихідному валу, вибираємо електродвигун марки АИР 100 S4 згідно з ГОСТ 19523-81 з Nелд=3кВт, n=1500об./хв.

5.3.2 Розрахунок редуктора привода сировиготовлювача

Знайдемо передаточне число привода сировиготовлювача:

(5.14)


де nдв - число обертів вихідного валу електродвигуна; nвих - число обертів вихідного валу черв’ячного редуктора.

 


Знайдемо число заходів черв’яка по формулі:

 

(5.15)


де z2min - мінімальне число зубів черв’ячного колеса.


Приймаємо матеріал для черв’яка сталь 45 ГОСТ 1050-74, із загартованими вітками по міцності HRC 48…50. Приймаємо матеріал вінця черв’ячного колеса БрА9ЖЗЛ ГОСТ 493-76 з границею текучості σт= 200 Н/мм2 з допустимим контактним напруженням при швидкості ковзання νковз=2,4 м/с; [σ]к=177 Н/мм2. Для реверсивної передачі з загартованим шліфованим черв’яком приймаємо допустиме напруження згину рівним:

(5.16)


де [σ1]н - допустиме напруження згину, Н/мм2; σ1 - напруження згину, яке виникає в місці контакту (σ1=392 Н/мм2); kр.н. - коефіцієнт режиму навантаження при розрахунку на згин, який визначається по формулі:

 (5.17)



де Nц - число циклів навантаження зубів черв’ячного колеса (приймаємо Nц=106). Відповідно, підставляючи значення в (5.17), знаходимо, що kр.н.=1. Тоді допустиме напруження згину буде дорівнювати:



Допустиме граничне значення для зубців черв’ячного колеса:


Приймаємо ККД черв’ячного редуктора при z1=1 η=0,72

Враховуючи, що черв’ячна пара працює при змінному навантаженні, приймаємо коефіцієнт навантаження рівним k=1,5.

Попередньо приймаємо число модулів в діаметрі ділильного циліндру черв’яка q=20.

Міжосьова відстань з умови контактної міцності:

(5.18)

де М2 - момент на черв’ячному колесі.

Конструктивно прийнятий із стандартного ряду міжосьову відстань рівною А=100 мм. Знаходимо осьовий модуль зачеплення:

(5.19)

Згідно ГОСТ 19672-74 приймаємо mз=2 мм.

Уточнюємо значення числа модулів q:

(5.20)


Визначаємо основні геометричні розміри черв’яка.

Діаметр ділильного циліндра:

(5.21)


Діаметр циліндра виступів:

(5.22)


Мінімальна довжина нарізної частини:

(5.23)

Для шліфувального черв’яка отриману довжину збільшуємо на ∆L=24 мм, тоді:

(5.24)

Знайдемо кут підйому гвинтової лінії по ділильному циліндру:

(5.25)


Визначимо основні геометричні розміри вінця черв’ячного колеса:

,(5.26)


де dd2 - діаметр ділильного кола.

Діаметр кола виступів:

(5.27)


Зовнішній діаметр вінця:

(5.28)


Ширина вінця:

(5.29)


Знайдемо швидкість ковзання:

(5.30)

Далі для розрахунку ККД черв’ячної пари приймаємо:=2 - число пар підшипників; ηП=0,995 - ККД підшипників; ηМ=0,98 - гідравлічні втрати; ηЗ.П.=0,97 - ККД зубчастої передачі.

Приймаємо при швидкості ковзання vковз=4 м/с кут тертя β=1̊30'.

Звідки ККД гвинтової пари буде дорівнювати:

(5.31)


Отже загальний ККД редуктора буде дорівнювати:

(5.32)

Знайдемо момент на валу черв’яка:

(5.33)

Знайдемо розрахункову потужність на валу червяка:

(5.34)

Знайдемо розрахункову потужність на валу приводного електродвигуна:

(5.35)

Виходячи з раніш підібраного електродвигуна та забезпечення надійної роботи приводу, а також врахувавши можливі перевантаження, залишаємо раніше підібраний електродвигун марки АИР 100 S4 згідно з ГОСТ 19523-81 з Nелд=3кВт, n=1500об./хв.

Знайдемо номінальний момент від двигуна на черв’яку:

(5.36)

Номінальний момент від двигуна на вінці черв’ячного колеса:

(5.37)

Знайдемо контактні напруження в зачепленні:

 

(5.38)

Знаходимо еквівалентне число зубців черв’ячного колеса:

(5.39)


Розрахованому числу зубів відповідає коефіцієнт форми зуба, який дорівнює уд2=1,36.

Визначимо напруження згину в основі колеса при коефіцієнті зносу γ=1,5:

 

(5.40)

Контактні пікові напруження в черв’ячному зачепленні будуть дорівнювати:

 

(5.41)

Контактні пікові напруження згину в основі зуба колеса:

 (5.42)


Зробивши перевірочний розрахунок черв’ячної передачі ми бачимо, що даний редуктор підходить для передачі крутного моменту від електродвигуна до валу мішалки.

5.3.3 Розрахунок клинопасової передачі

Проведемо розрахунок клинопасової передачі, яка передає момент від електродвигуна до черв’ячного редуктора в приводі гвинтової транспортуючої труби.

Вихідні дані:

Номінальна потужність, що передається Nном=2,2кВт;

Передаточне відношення передачі uк.п.=2;

Частота обертання електродвигуна nном=1500 об/хв.;

Розташування передачі - вертикальне.

Розрахунок починаємо з попереднього вибору перерізу пасу. Згідно таблиць для заданих умов підходить пас перерізом О.

Технічні дані обраного паса:р=8,5 мм, W=10 мм, Т0=6 мм, площа перерізу F=0,47 см2, маса 1 м пасу m=0,18 кг/м.

Розрахункова довжина в інтервалі Lр=400...2500 мм.

Внутрішня довжина пасу по меншій основі ΔL=Lp-lвн=25 мм.

Рисунок 5.1 - Переріз пасу по ГОСТ 1284.1-80