Материал: Ответы №2

Внимание! Если размещение файла нарушает Ваши авторские права, то обязательно сообщите нам

ПЕРЕЧЕНЬ ВОПРОСОВ ПРОМЕЖУТОЧНОЙ АТТЕСТАЦИИ (экзаменационных)

1.Что называется сложным сопротивлением (сложной деформацией)?

Такой вид деформации, при котором возникают одновременно не менее двух внутренних силовых факторов. Пример: изгиб с кручением, растяжение (сжатие) с кручением и т.д.

2.Какой изгиб называется пространственным (сложным)?

Пространственный изгиб – это такой вид сложного сопротивления, при котором в поперечном сечении стержня действуют только изгибающие моменты My и Mz.. Это частный случай сложного сопротивления при N=0, Мz=0, а MX, MY, QX, QY ≠ 0.

3.При каком способе нагружения реализуется пространственный (сложный)

изгиб?

Пространственный изгиб вызывается силами (в обобщённом смысле слова), расположенными в разных плоскостях.

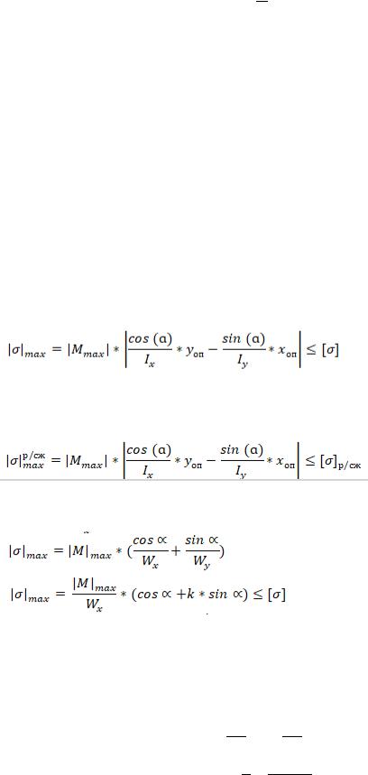
4. Запишите формулу, по которой вычисляются нормальные напряжения при пространственном изгибе.

σ = ± |Mx|max ± |Mx|max wx wy

5.Запишите условие прочности при пространственном изгибе стержня в общем случае.

 

 

 

 

 

|σ | max = |

 

| + |

 

| ≤ [ ]

 

 

 

 

 

 

 

 

 

 

 

 

6.Как можно записать условие прочности при пространственном изгибе стержня прямоугольного поперечного сечения (частный случай)?

|Mx| |Mx|

|σ |max = ± wx ± wy ≤ [ ]

7.Как приложена нагрузка, под действием которой стержень находится в условиях косого изгиба?

Суммарный изгибающий момент в сечении действует в плоскости, не совпадающей ни с одной из главных плоскостей, а продольная сила N=0.

8.Как связаны между собой изгибающие моменты при косом изгибе?

Mx = M * cos(α) My = M * sin(α)

9.Запишите формулу для вычисления нормальных напряжений при косом изгибе.

10. Запишите уравнение нейтральной оси при косом изгибе.

tg(φ) = − Ix tg(α) Iy

Минус говорит о том, что нейтральная линия по отношению к силовой проходит через две другие четверти системы координат.

11.Как проходит нейтральная линия при косом изгибе?

Нейтральная линия проходит через центр тяжести сечения, координаты которого xцт =0, yцт =0.

12.Каково взаимное расположение силовой (линии нагружения) и нейтральной оси при косом изгибе?

Силовая линия и нейтральная линия проходят через разные четверти.

13.Чему равно нормальное напряжение в центре тяжести поперечного сечения при косом изгибе? (ответ пояснить).

Нулю, так как центр тяжести сечения принадлежит нейтральной линии.

14.Запишите условия прочности при косом изгибе балок из материала, одинаково работающего при растяжении и сжатии для сечения произвольной формы.

15.Запишите условие прочности при косом изгибе балок из материала, поразному работающего при растяжении и сжатии.

16.Как можно записать условия прочности при косом изгибе для балок прямоугольного сечения (частный случай)?

,где k = Wx/Wy

17.В каких точках поперечного сечения нормальные напряжения при косом изгибе достигают максимальных значений?

Вточках, наиболее удалённых от Н.Л.

18.Как вычисляются перемещения при косом изгибе?

ν ≈ , u ≈

tg(φ) = u = My Ix υ Mx Iy

19.Как направлен вектор перемещения при косом изгибе?

Полный вектор перемещения перпендикулярен нейтральной линии и не совпадает с направлением действия силы.

20.Может ли балка круглого поперечного сечения испытывать косой изгиб? (ответ пояснить).

Не может, потому что через балку круглого сечения можно провести бесконечное множество пар главных центральных осей, одна из которых по своему положению будет такова, что одна ось из пары совпадёт с линией действия силы. (Реализуется плоский изгиб).

21.При каком способе нагружения реализуется внецентренное растяжение (сжатие)?

Линия действия силы параллельна оси стержня и приложена не в центре тяжести сечения.

22.Запишите формулу для вычисления напряжения при внецентренном действии нагрузок.

 

 

 

 

 

 

 

 

= ±

 

(1 +

 

 

оп

+

 

 

оп

)

 

 

2

 

 

2

 

 

 

 

 

̇

 

 

 

̇

 

 

 

 

 

 

 

 

 

 

 

 

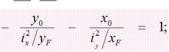
23.Запишите уравнение нейтральной линии при внецентренном растяжении (сжатии).

1+ 2̇оп + ̇2 оп = 0, поэтому:

24.Запишите условие прочности при внецентренном действии нагрузок для материалов, одинаково работающих при растяжении и сжатии.

 

[ ]

 

 

 

 

 

= ±

 

(1 +

 

оп

+

 

оп

) ≤ [ ]

 

 

 

 

 

 

 

 

 

̇

 

̇

 

 

 

 

 

 

 

 

 

 

2

 

 

2

 

25.Запишите условие прочности при внецентренном действии нагрузок для материалов, по-разному работающих при растяжении и сжатии.

 

[ ]

 

 

 

 

 

= ±

 

(1 +

 

оп

+

 

оп

) ≤ [ ]

 

 

 

 

 

 

 

 

 

̇

 

̇

 

 

 

 

 

 

 

 

 

 

2

 

 

2

 

Для материала, у которого допускаемые напряжения при растяжении и сжатии различны, проверяется прочность соответственно в двух наиболее удалённых от нейтральной оси точках на [ ]раст и [ ]сж.

26.Какие точки являются опасными при внецентренном растяжении (сжатии)?

Опасными являются точки, наиболее удалённые от нейтральной линии.

27.Чему равно нормальное напряжение в центре тяжести поперечного сечения при внецентренном растяжении (сжатии)?

Вцентре тяжести сечения напряжение будет равно:

гдеF — сила,A — площадь поперечного сечения.

28.Что такое «ядро сечения»?

Ядро сечения – это область вокруг центра тяжести поперечного сечения, которая обладает следующим свойством: если точка приложения силы, параллельной оси стержня, лежит в области ядра, то напряжения во всех точках поперечного сечения имеют один знак.

29.Покажите на рисунке ядро сечения для прямоугольника со сторонами b, h.

Это – по факту, а если попросит объяснить, почему, тогда см. ниже

30. Покажите на рисунке ядро сечения для круга радиусом r.