Материал: Особенности Я-концепции лиц, страдающих онкологическими заболеваниями

Внимание! Если размещение файла нарушает Ваши авторские права, то обязательно сообщите нам

Условные обозначения:

Шс - Шкала самоэффективности

С/оц - Самооценка Будасси

С_Я - Социальное Я

К_Я - Коммуникативное Я

Д_Я - Деятельное Я

П_Я - Перспективное Я

Р_Я - Рефлексивное Я

Но - Нет ответа

Положительную связь имеет шкала «самоэффективность» со шкалой «Деятельное Я» (r=0,47 (связь высокой силы); p<0,05). Вероятно, чем более онкобольные способны высоко оценивать свои способности к деятельности, достижениям, работоспособности, что проявляется в разного рода интересах, активной жизненной позиции, тем в большей степени им свойственно ощущать личную эффективность, в том числе в процессе совладания с ситуацией болезни.

Положительную связь имеют шкалы «Социальное Я» и «Коммуникативное Я» (r=0,38 (связь умеренной силы); p<0,05). Предположительно, чем более у онкобольных сформирована идентичность, социальные роли, мировоззрение, групповая принадлежность, тем в большей мере они способны воспринимать себя членом группы (друзей, коллег), быть субъектом общения, взаимодействовать с людьми, что в ситуации болезни является положительным фактором, снижающим социальную изоляцию и способствующим выздоровлению за счет позитивных эмоций, впечатлений, поддержки окружения.

Шкала «Коммуникативное Я» имеет положительные связи со шкалой «Перспективное Я» (r =0,37 (связь умеренной силы); p<0,05) и «Рефлексивное Я» (r=0,41 (связь умеренной силы); p<0,05). Вероятно, чем более высоко онкобольные оценивают свою способность к общению, социальным контактам, тем в большей мере у них присутствует внутреннее ощущение перспективы (это могут быть мечты или реальные намерения, касающиеся достижения успехов в значимых областях жизни - профессиональной деятельности, семейной жизни, общении с друзьями), а также способность к рефлексии своей жизни, актуальной ситуации болезни и необходимых действий по выздоровлению.

Выявлена отрицательная связь шкалы «Социальное Я» и показателя «нет ответа» (r= - 0,38 (связь умеренной силы); p<0,05). Предположительно, чем более у онкобольных сформирована идентичность, социальные роли, мировоззрение, групповая принадлежность, тем в меньшей степени они дают ответы «я ничто, не знаю - кто я, не могу ответить на этот вопрос», что связано с имеющимся представлением о себе, своих личностных качествах, способностях, сильных и слабых сторонах характера.

Вывод: рассмотрев выявленные взаимосвязи в группе онкобольных, можно отметить, что адекватная самооценка повышает их личную эффективность; сформированное социальное «Я» (идентичность, социальные роли, мировоззрение, групповая принадлежность) способствует проявлению коммуникативного «Я» онкобольных, которое в свою очередь рождает внутреннее ощущение перспективы и способность к рефлексии своей жизни, актуальной ситуации болезни и необходимых действий по выздоровлению. Сформированное социальное «Я» также снижает вероятность отсутствия полных, развернутых ответов онкобольных относительно собственной идентичности.

3.5 Анализ взаимосвязей показателей Я-концепции в группе лиц, не страдающих онкологическим заболеванием


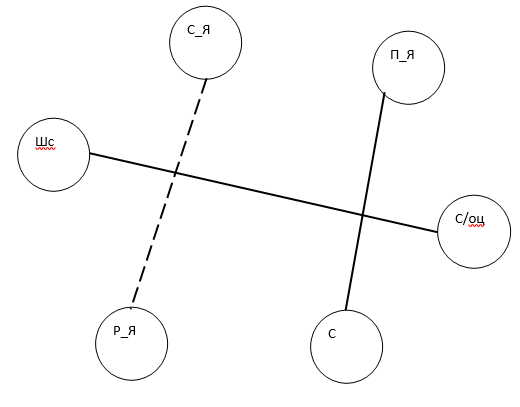
Результаты корреляционного анализа в группе лиц, не страдающих онкологическим заболеванием, представлены в таблице 7 и на рис.3:

Таблица 7. Взаимосвязи показателей Я-концепции в группе лиц, не страдающих онкологическим заболеванием



Рис.3. Схема взаимосвязей в группе лиц, не страдающих онкологическим заболеванием

Условные обозначения:

Шс - Шкала самоэффективности

С/оц - Самооценка Будасси

С_Я - Социальное Я

К_Я - Коммуникативное Я

П_Я - Перспективное Я

С - Состояние

Отрицательную связь имеют шкалы «Социальное Я» и «Рефлексивное Я» (r = -0,36 (связь умеренной силы); p<0,05). Можно предположить, что чем более у испытуемых контрольной группы сформирована идентичность, социальные роли, мировоззрение, групповая принадлежность, тем в меньшей степени их рефлексивное «Я» является проявленным, что может быть обусловлено с одной стороны, сформированной персональной идентичностью: личностные качества, особенности характера, описание индивидуального стиля поведения, а с другой стороны - сложностями в осознавании своей жизни, экзистенциальных вопросов жизни и смерти, степени реализованности, индивидуальных смыслов.

Шкала «самоэффективность» и «самооценка» положительно коррелируют между собой (r=0,43(связь умеренной силы); p<0,05). Вероятно, чем более адекватно испытуемые контрольной группы оценивают себя, свои личностные качества, силы, возможности, тем в большей мере у них присутствует субъективное ощущение личностной эффективности. Они верят, что жизнь подчинена их личным усилиям, способны добиваться успехов, реализуя свой потенциал.

Положительную связь имеют шкалы «Перспективное Я» и «ситуативное состояние» (r=0,46 (связь умеренной силы); p<0,05). Предположительно, чем более испытуемые контрольной группы способны осознавать переживаемое состояние в настоящий момент своей жизни, преобладающие эмоции, потребности, тем в большей степени у них присутствует внутреннее ощущение перспективы (это могут быть мечты или реальные намерения, касающиеся достижения успехов в значимых областях жизни - профессиональной деятельности, семейной жизни, общении с друзьями, достижении материального благополучия, поддержании хорошего здоровья).

Вывод: рассмотрев выявленные взаимосвязи в группе лиц, не страдающих онкологическим заболеванием, можно отметить, что адекватная самооценка повышает их личную эффективность; способность осознавать свое эмоциональное состояние в данный момент жизни способствует внутреннему ощущению перспективы в значимых жизненных областях. В данной группе выявлено также, что сформированное социальное «Я» снижает проявленность рефлексивного «Я», что по нашему предположению, связано с одной стороны, сформированной персональной идентичностью: личностные качества, особенности характера, описание индивидуального стиля поведения, а с другой стороны - сложностями в осознавании своей жизни, экзистенциальных вопросов жизни и смерти, степени реализованности, индивидуальных смыслов.

В ходе исследования на тему «Особенности Я-концепции лиц, страдающих онкологическими заболеваниями» были получены следующие выводы:

. Обнаружены значимые различия в структурных компонентах Я-концепции между двумя группами. У лиц, страдающих онкологическим заболеванием, по сравнению с лицами, не имеющими данного диагноза, в меньшей степени представлены характеристики самовосприятия, осознания своего места в социальном мире, представлений о себе, в частности о рефлексивности и коммуникативности как характеристиках образа «Я». Кроме того, уровень их самоэффективности также является более низким, чем у лиц, не имеющих онкологического заболевания.

. В обеих группах выявлена положительная связь самооценки и уровня самоэффективности. Таким образом, можно сказать, что вера в эффективность своих действий и ожидание успеха от их реализации напрямую зависит от уровня самооценки: чем выше самооценка личности, тем выше ожидание успешности своей деятельности.

. Взаимосвязи структурных компонентов Я-концепции имеют различия в результате сравнительного анализа двух групп. В качестве специфических в группах испытуемых выступают следующие связи:

) в группе онкологических больных сформированное социальное «Я» способствует проявлению коммуникативного «Я», которое в свою очередь рождает внутреннее ощущение перспективы и способность к рефлексии своей жизни, актуальной ситуации болезни и необходимых действий по выздоровлению. Сформированное социальное «Я» также снижает вероятность отсутствия полных, развернутых ответов онкобольных относительно собственной идентичности.

) в группе лиц, не страдающих онкологическим заболеванием, способность осознавать свое эмоциональное состояние в данный момент жизни способствует внутреннему ощущению перспективы в значимых жизненных областях. Сформированное социальное «Я» снижает проявленность рефлексивного «Я» у испытуемых контрольной группы, что может быть обусловлено имеющимися у них сложностями в осознавании экзистенциальных вопросов жизни и смерти, степени реализованности, индивидуальных смыслов.

. В группе онкологических больных выявлено гораздо большее количество взаимосвязей между структурными компонентами Я-концепции, чем в группе лиц, не имеющих онкологического заболевания (6 против 3).

. В группах испытуемых наблюдаются взаимосвязи между различными показателями, что так же частично говорит в пользу гипотезы о различных особенностях Я-концепции лиц, имеющих онкологическое заболевание и испытуемых без онкологии.

онкологический больной самооценка

Заключение


Онкологическое заболевание имеет широкий спектр воздействия на человека. Многое в жизни меняется с того момента, как человек узнает о своем диагнозе: возникает необходимость обращения к медицинским услугам, которые зачастую сопровождаются неприятными последствиями (шрамы после оперативного вмешательства, побочные эффекты химиотерапии и т.д.), перестраиваются взаимоотношения с родными и друзьями, происходят личностные изменения, которые могут сопровождаться повышенным уровнем тревоги и депрессии.

В результате анализа литературы, посвященной изучению взаимосвязи Я-концепции и онкологических заболеваний, нами были выделены основные предпосылки нашего исследования.

На сегодняшний день установлено, что у онкологических больных прослеживается склонность к пессимистической оценке жизненных событий. Длительные дисфории или склонность к депрессивным реакциям, сопровождаются чувством безнадежности и потерей интереса к жизни.

У онкобольных наблюдается установка на соблюдение некой дистанции в общении и образовании дружеских отношений. Поэтому в трудных ситуациях они с трудом воспринимают поддержку со стороны.

У лиц, страдающих онкологическими заболеваниями, отмечается ощущение слабости, сниженная самооценка, усиленное внимание к недостаткам, снижено чувство симпатии к себе. Как отмечает С.А. Московина, больным свойственен кризис жизненных смыслов, их переоценка.

По результатам исследований Н.А. Русиной, установленная положительная связь между адекватным образом «Я» и эффективными копинг-стратегиями, приемами совладания с болезнью и быстрым восстановлением, что подчеркивает значимость Я-концепции в продолжительности заболевания.

Так же в исследованиях отмечено изменение образа «Я» у больных, подвергающимся калечащим операциям, что свидетельствует о трансформации Я-Концепции под воздействием факта наличия онкологического заболевания.

Среди возможных психологических причин возникновения онкологического заболевания, авторы выделяют наличие длительных депрессивных реакций; дискомфортные отношения в семье. Большинство авторов выделяют такие особенности больных как депрессивность, тревожность, неуверенность.

Анализ результатов эмпирического исследования позволяет сформулировать следующие выводы:

В данном исследовании мы проанализировали специфику воздействия факта наличия онкологического заболевания на личность. В эмпирическом исследовании, которое длилось с апреля по май 2016 года, приняло участие 60 человек (30 с онкологическим диагнозом и 30 не имеющих онкологических заболеваний) в возрасте от 26 до 82 лет, проживающих в городе Перми.

В данной работе были использованы методы изучения, обобщения и анализа данных: качественные и количественные методы сбора эмпирической информации в форме индивидуального опроса. В исследовании применялись: 1. Тест Куна-Макпартленда (Методика «Кто я?»); 2. Методика нахождения количественного уровня самооценки по Будасси; 3. Шкала общей самоэффективности Шварцер Ральф и Маттиас Ерусалем.

Для определения нормальности распределения полученных данных был применен критерий Колмогорова-Смирнова. Факт нормальности не был подтвержден поэтому нами были использованы непараметрические методы обработки данных. Для сравнения показателей Я-Концепции мы применили U - критерий Манна - Уитни. Для проверки гипотезы о различиях структуры Я-концепции онкобольных и лиц, не имеющих онкологического заболевания, мы произвели коэффициент корреляции Спирмена. Данные математические методы были реализованы с помощью программ Exsel и Statistica 6/0.

Рассмотрев выявленные взаимосвязи в группе лиц, не страдающих онкологическим заболеванием, можно отметить, что адекватная самооценка повышает их личную эффективность; способность осознавать свое эмоциональное состояние в данный момент жизни способствует внутреннему ощущению перспективы в значимых жизненных областях. В данной группе выявлено также, что сформированное социальное «Я» снижает проявленность рефлексивного «Я», что может быть обусловлено имеющимися у них сложностями в осознавании экзистенциальных вопросов жизни и смерти, степени реализованности, индивидуальных смыслов.

Таким образом, в обеих группах выявлена положительная связь самооценки и уровня самоэффективности. Из чего можно сделать вывод о том, что вера в эффективность своих действий и ожидание успеха от их реализации напрямую зависит от уровня самооценки: чем выше самооценка личности, тем выше ожидание успешности своей деятельности. В группе онкологических больных выявлено гораздо большее количество взаимосвязей между структурными компонентами Я-концепции, чем в группе лиц, не имеющих онкологического заболевания (6 против 3). В группах испытуемых наблюдаются взаимосвязи между различными показателями, что так же частично говорит в пользу гипотезы о различных особенностях Я-концепции лиц, имеющих онкологическое заболевание и испытуемых без онкологии.

Подводя итог проделанной работы, можно говорить о том, что выдвинутая нами исследовательская гипотеза нашла свое эмпирическое подтверждение.

Список литературы


1.      А.И. Бабик. Психоонкология // Медицинские аспекты здоровья женщины. - Киев. - 2011. - №1 (40). - С. 70-76

.        Александер Ф. Психосоматическая медицина. - М.: Геррус, 2003. - 350с.

.        Архиреева Т.В. Системный подход к пониманию структуры Я-концепции и закономерностей ее развития в детском возрасте - Культурно-историческая психология - 2008. № 4. С48

.        Березин Ф.Б. Психическая и психофизическая адаптация человека. - Л. Наука, 1998. - 269с

.        Бернс Р. Развитие Я-концепции и воспитание /Пер. с англ. - М.: "Прогресс", 1986. - с. 30-66

.        Биктина Н.Н., Кекк А.Н. Личностные особенности и ролевые позиции онкологических больных // Современные проблемы науки и образования. - 2015. - № 2-1.

.        Блинов Н.Н., Хомяков И.П., Шиповников Н.Б. Об отношении онкологических больных к своему диагнозу // Вопросы онкологии. - 1990. - №8. - С.966-969

.        Богомолова Н.Н., Стефаненко Т.Г. Контент-анализ. М., 1992.

.        Будасси С.А. «Нахождение количественного выражения уровня самооценки по Будасси» Электронный ресурс: http://psylab.info

.        Вассерман Л.И., Громов С.А., Михайлов В.А., Лычник С.Д., Флерова И.Л. Концепции реабилитации и качества жизни: преемственность и различия в современных подходах. СПб, 2001.

.        Вассерман Л.И., Ерышев О.Ф. и др. Психодиагностика индекса жизненного стиля. Пособие для врачей и психологов. С-Пб., 1999

.        Гнездилов А.В. Психоэмоциональные нарушения при распространенном опухолевом процессе и методы их коррекции // Симптоматическое лечение при злокачественных новообразованиях. - М., 1986. - С. 37-67