Материал: Особенности Я-концепции лиц, страдающих онкологическими заболеваниями

Внимание! Если размещение файла нарушает Ваши авторские права, то обязательно сообщите нам

Мистическая ВКБ включает комплекс представлений индивида, основанный на сверхъестественном происхождении болезни, вследствие действия злых чар, сглаза, порчи, вселения в больного «зла» и т.д. Как и при божественном типе, в формировании мистической ВКБ большую роль играет, так называемое, «первобытное мышление». Для мистического типа характерно наличие в анамнезе у больных посещений экстрасенсов, магов, колдунов, проведения специальных магических ритуалов и соответствующих методов лечения. Внешне о мистических представлениях может свидетельствовать наличие у больного различных амулетов, нетрадиционных икон, колокольчиков, специальной литературы.

При оценке источника мистического воздействия и определения ответственного за заболевание человека выделяются 2 неадаптивных варианта. В первом случае больные имеют точные представления о «заинтересованном» в их заболевании лице (родственник, сосед и др.), в другом, они считают себя случайной жертвой действий других, конкретно незаинтересованных в их нездоровье индивидов. Для этого типа представлений характерны минимальное или полное отсутствие ответственности пациента за заболевание.

Отношение к противоопухолевому лечению, как и при божественном типе ВКБ так же неоднозначно. Обязательными (1-я линия) являются методы магического действия: снятие порчи, сглаза, очищения ауры и др. Академические подходы отодвинуты на второй план (2-я линия). Роль врача в этих условиях пациент обычно ограничивает техническим выполнением процедур. Ответственность самого пациента за выздоровление минимальна. Позиция больного в отношении лечения: активная - поиск «верных» средств снятия порчи, очищения ауры, выведения из себя злых чар, пассивная - бездействие.

Биомеханический тип ВКБ включает различные группы представлений, основой которых является убеждение больных в «поломке» биологической программы или механической структуры организма. Несмотря на кажущиеся различия и неоднородность приводимых ниже групп, для данного типа ВКБ характерна тенденция объяснять причины заболевания, основываясь на внешних факторах, отсутствии личной ответственности за заболевание, конкретно-формальное описание и восприятие симптомов при минимальном экзистенциальном поиске.

Заболевание при биомеханическом типе ВКБ может объясняться больным:

плохой наследственностью;

следствием травм, повреждений;

плохой экологией;

стечением обстоятельств.

Наследственный вариант регистрируется у больных, как правило, имеющих в генеалогическом древе случаи онкологических заболеваний («И отец и дядя умерли от рака легкого»). Возникновение опухоли пациенты связывают с «плохой» наследственностью, «породой», и рассматривают ее как неизбежность. Печальный опыт прошлого, особенно если близкие умирали на глазах у больных, нередко накладывает отпечаток фатальности, бессмысленности сопротивления болезни. Его отношение к противоопухолевому лечению может иметь два варианта. В первом случае, если смерть близких (родители, дедушки / бабушки) была достаточно давно, то у больного могут присутствовать определенные надежды на успешное лечение, что пациенты объясняют возможным прогрессом науки в лечении данной патологии. Если смерть близких от рака была в недавнем прошлом, то позиция больного при выявлении у него опухолевого заболевания преимущественно пассивная. В зависимости от этих вариантов на врача возлагаются определенные надежды или отводится роль технического исполнителя в «бессмысленной борьбе».

Травмы и повреждения могут выступать в качестве причин непосредственно предшествующих заболеванию. Чаще всего этот вариант наблюдается у женщин при раке молочной железы. Обычно возникновение злокачественной опухоли ассоциируется у женщин с ударом молочной железы или какими-либо манипуляциями («ударилась», «корова лягнула», «муж намял» и др.).

При экологическом варианте больные убеждены, что причина их заболевания лежит в состоянии окружающей среды («В какой экологии живем…»). При варианте «стечение обстоятельств» больные приводят в обоснование комплекс причин или цепочку событий, приведших к заболеванию («Все к одному…»). Специальное противоопухолевое лечение обычно принимается пациентами без противодействия.

Аутологичный тип ВКБ подразумевает восприятие болезни как следствия действий самого индивида. Пациенты могут объяснять возникновение опухоли неправильным образом жизни («много курил», «ел в сухомятку», «изработался») или следствием собственных ошибок («зря не вырезал язву»).

Данный тип ВКБ нередко ассоциируется с идеями виновности в структуре депрессивных переживаний. Присутствие идей личной ответственности за болезнь создает базис для психотерапевтической коррекции. Предлагаемые методы специального лечения обычно принимаются больными в полном объеме.

Недифференцированный (мозаичный) тип предполагает различное сочетание отдельных элементов перечисленных выше типов ВКБ. Характерным для него является высокая подвижность, нестойкость и зависимость представлений о заболевании от мнения окружающих. Пациенты обычно не принимают на себя ответственность за болезнь, а используемые ими нетрадиционные методы лечения могут включать самые различные подходы, обычно рекомендованные соседями по палате, знакомыми или прочитанные в литературе (Зотов П.Б. Типы внутренней картины болезни и суицидальная активность больных злокачественными новообразованиями).

Интересны результаты проведенного О.П. Степановой диагностического исследования. Они позволяют констатировать:

Во-первых, эмоционально-аффективная сфера онкологических больных имеет дезадаптивные индивидуально-психологические черты и характеризуется эмоциональным хроническим напряжением (повышенной тревожностью, мнительностью, страхами), стабильно сниженным фоном настроения (гипотимией), дефицитом положительных эмоций, подавленностью, капризностью, требовательностью, эмоциональной нестабильностью и эмоциональной лабильностью, низкой толерантностью по отношению к фрустрации, застреванием на эмоционально-негативных переживаниях.

Поведенческая и коммуникативная сфера онкологических больных характеризуется низкой социальной нормативностью, конфликтностью, нонконформизмом, холодностью и формализмом в контактах. Онкологические больные не стремятся к доминированию в отношениях с окружающими, но при этом ревнивы, завистливы, подозрительны.

Интеллектуальная сфера онкологических больных характеризуется низкими общими мыслительными способностями, конкретностью и некоторой ригидностью мышления, узким спектром интеллектуальных интересов, приземленностью стремлений, слабо развитым воображением, прозаичностью, консерватизмом во взглядах и способах действия.

Во-вторых, структурные компоненты ВКБ у онкобольных имеют следующие особенности: эмоциональный аспект ВКБ характеризуется депрессивной, дисфорической, тревожно-ипохондрической и астено-ипохондрической симптоматикой.

Когнитивный компонент ВКБ онкологических больных характеризуется высокой личностной значимостью болезни и патологической фиксацией и озабоченностью всем, что с ней связано. Будущее пронизано мыслями о болезни. Болезнь является центральным звеном в социальной ситуации развития. Для них характерна высокая познавательная активность, направленная на свое заболевание, стремление узнать как можно больше о своем заболевании, о способах лечения, операции и лечебных процедурах.

Поведенческий аспект ВКБ характеризуется большим количеством психологических защит, проекций тревоги в будущее, реакциями по типу раздражительной слабости, «уходом» в болезнь, отказом от борьбы, «капитуляцией» перед заболеванием, эгоцентризмом, негативизмом, снижением жизненного тонуса, низкой антиципационной состоятельностью.

В-третьих, несмотря на наличие декларируемого смысла жизни, ощущения осмысленности жизни нет, а вместо него присутствует экзистенциальная фрустрация. У онкологических больных отмечается разорванность временной перспективы, дискретное восприятие своего жизненного пути с фиксацией и ориентацией на один из отрезков собственной жизни. Данная категория больных испытывает неудовлетворенность жизнью в настоящем, компенсируя неполноценность настоящего воспоминаниями о прошлом, либо возлагая большие надежды на будущее, но эти планы не имеют под собой реальной основы в настоящем и не подкрепляются личной ответственностью за их реализацию. Онкологические больные характеризуются склонностью к фатальности в восприятии жизни, чувством социальной беспомощности, как потенциальной, так и актуальной детерминированой экстернальностью локуса контроля.

Онкологическое заболевание ставит человека на границу жизни и смерти, меняет весь жизненный уклад, «выбивает почву из-под ног», заставляет задуматься о смысле бытия и своей конечности, можно думать о такой жизненной ситуации, которая описывается рядом авторов как: «эксквизитная» - острая, исключительная, конфликтная (Киршбаум, Еремеева), экзистенциальная - столкновение с жёсткими факторами человеческой природы, проблемами существования индивидуума (Ялом, Франкл), кризисная или экстримальная - в которой человек оказывается внезапно и подвергается угрозе жизни и психологической целостности (Райтер, Штоцкая). Вследствие таких ситуаций, и переживаний, связанных с ними (тревога, страх, гнев, отчаяние) формируются различные эмоционально-волевые нарушения (депрессии, невротические состояния, аффективные психозы), при этом психика человека пытается сохранить гомеостаз при помощи механизмов психологической защиты.

Рассмотрим некоторые наиболее распространенные определения психологической защиты. Она определяется как:

психическая деятельность, направленная на спонтанное изживание последствий психической травмы (В.Ф. Бассин, В.Е. Рожнов);

частные случаи отношения личности больного к травматической ситуации или поразившей его болезни (В.М. Банщиков);

способы переработки информации в мозге блокирующие угрожающую информацию (И.В. Тонконогий);

механизм адаптивной перестройки восприятия и оценки, выступающей в случаях, когда личность не может адекватно оценить чувство беспокойства, вызванное внутренним или внешним конфликтом, и не может справиться со стрессом (В.А. Ташлыков);

механизмы, поддерживающие целостность сознания (В.С. Ротенберг);

механизм компенсации психической недостаточности (В.М. Воловик, В.Д. Вид);

пассивно-оборонительные формы реагирования в патогенной жизненной ситуации (Р.А. Зачепицкий);

динамика системы установок личности в случае конфликта установок (Ф.В. Бассин);

По мнению многих авторов, защитные механизмы имеют следующие общие свойства: они действуют в бессознательном, индивид не осознаёт, что с ним происходит, они искажают, фальсифицируют действительность, они действуют в ситуации фрустрации, психотравмы, стресса.

«Механизм отрицания описывается психоневрологической литературе при некоторых соматических заболеваниях, например, при раке, не осложненном еще болевым синдромом, при котором сама личность не признает болезни: отрицает ее наличие у себя и даже иногда приписывает ее другим, например, лечащему врачу». [16]

Данное утверждение подтверждается исследованием механизмов психозащиты у онкобольных, проведенным Е. Корушиной. Из него видно, что отрицание, действительно является преобладающей формой психозащиты у онкобольных.

Классификация механизмов психологической защиты насчитывает более 20 видов, рассмотрим лишь основные обобщающие группы.

 Как отмечает Н. Маквильямс, к разряду примитивных, не зрелых защит относятся «психотические защиты», которые имеют дело с границей между Я и внешним миром и связаны с довербальной стадией развития (младенчество). Защиты, причисляемые к вторичным, более зрелым <#"898268.files/image001.jpg">

Рис.1. Различия в показателях Я-концепции в группах испытуемых

Условные обозначения:

- Шкала самоэффективности

- Коммуникативное Я

- Рефлексивное Я

То есть, у лиц, страдающих онкологическим заболеванием, по сравнению с лицами, не имеющими данного диагноза, в меньшей степени представлены характеристики самовосприятия, осознания своего места в социальном мире, представлений о себе, в частности о рефлексивности и коммуникативности как характеристиках образа «Я».

Это может быть связано с ситуацией болезни, переживанием психологического кризиса в связи с потерей стабильности в сфере здоровья, с преобладанием сильных эмоциональных переживаний при сниженном уровне их рефлексивности, а также с коммуникативной отстраненностью, обособленностью, закрытостью испытуемых данной группы.

По шкале самоэффективности у лиц, страдающих онкологическим заболеванием, выявлена тенденция к более низким значениям, что может свидетельствовать об отсутствии субъективного ощущения личностной эффективности у онкобольных. Они боятся и избегают тех ситуаций, с которыми, по их собственному мнению, не смогу справиться. В сфере эмоциональных проявлений низкая самоэффективность сопровождается депрессией, тревогой, выраженным беспокойством, ощущением беспомощности.

Это может объясняться преобладающим негативным эмоциональным фоном в состоянии онкобольных, когда они теряют веру в процесс выздоровления, начинают испытывать сильную тревогу, повышенное возбуждение, панические реакции или, напротив, депрессивные тенденции в связи с подавленным состоянием. В результате чего, представление о собственной личной эффективности в ситуации болезни у испытуемых данной группы оказывается сниженным.

В группе лиц, не имеющих онкологического заболевания, показатели рефлексивного Я, коммуникативного Я и самоэффективности выражены в более значительной степени, что может быть связано с активной реализацией собственного потенциала в значимых областях жизни, с достаточным количеством физических и психических ресурсов, а также со сформированной идентичностью, представлениями о себе, о мире, о взаимоотношениях с другими людьми.

Вывод: рассмотрев выявленные различия в группах испытуемых, можно говорить о том, что у лиц, страдающих онкологическим заболеванием, по сравнению с лицами, не имеющими данного диагноза, в меньшей степени представлены характеристики самовосприятия, осознания своего места в социальном мире, представлений о себе, в частности о рефлексивности и коммуникативности как характеристиках образа «Я». Кроме того, уровень их самоэффективности также является более низким, чем у лиц, не имеющих онкологического заболевания.

3.4 Анализ взаимосвязей показателей Я-концепции в группе лиц, страдающих онкологическим заболеванием

 

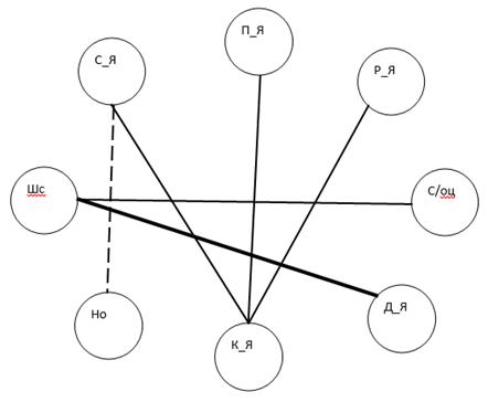
Для изучения взаимосвязей показателей Я-концепции в группе лиц, страдающих онкологическим заболеванием, был проведен корреляционный анализ Спирмена. За структуру Я-концепции мы принимаем самооценку, самоэффективность и содержательные характеристики Я-Концепции («Самоэффективность», «Самооценка», «Социальное Я», «Коммуникативное Я», «Материальное Я», «Физическое Я», «Деятельное Я», «Рефлексивное Я», «Ситуативное состояние»).

Результаты корреляционного анализа в группе лиц, страдающих онкологическим заболеванием, представлены в таблице 6 и на рис.2:

Таблица 6. Взаимосвязи показателей Я-концепции в группе лиц, страдающих онкологическим заболеванием


В группе онкобольных выявлена положительная взаимосвязь между шкалой «самоэффективность» и «самооценка» (r=0,39 (связь умеренной силы); p<0,05). Можно предположить, что чем более адекватно онкобольные оценивают себя, свои личностные качества, силы, возможности, тем в большей мере у них присутствует субъективное ощущение личностной эффективности. Они верят, что в силах справиться с болезнью, выздороветь и продолжать активную, насыщенную жизнь. В эмоциональной сфере самоэффективность сопровождается чувством удовлетворенности, хорошим настроением, оптимистичностью взглядов на жизнь.

Рис.2. Схема взаимосвязей в группе онкобольных