Материал: Основи вищої геодезії. Навчальний посібник. Літнарович

Внимание! Если размещение файла нарушает Ваши авторские права, то обязательно сообщите нам

 

 

l

 

 

;

 

l

 

;

l

;

 

 

 

 

 

 

 

 

 

 

 

 

 

 

 

 

 

 

 

 

 

 

 

Bm

 

 

 

 

 

 

 

 

 

 

 

 

 

 

 

 

 

 

 

 

 

 

 

 

 

 

 

 

 

 

 

Am S

 

 

 

 

 

 

 

 

 

 

 

 

 

 

 

 

 

 

 

 

 

 

 

l 2 m Ssin Am secBm

 

 

 

 

 

 

 

 

 

 

 

 

 

 

 

l

 

Ssin A

 

 

 

 

 

 

1 e2Ssin2 B

1

2 secB

 

 

S

sin A

 

 

 

 

 

 

 

 

 

 

 

 

 

 

 

 

 

 

 

 

Bm

 

 

 

 

 

 

 

 

m

 

 

 

 

 

 

 

 

 

 

m

 

 

 

 

m

 

a

m

 

 

 

 

 

 

 

 

 

 

 

 

 

 

 

Bm a

 

 

 

 

 

 

 

 

 

 

 

 

 

 

 

 

 

 

 

1

 

 

 

 

 

 

2

 

 

 

2

 

 

 

1

 

 

 

2

 

 

 

 

 

 

 

 

 

 

 

 

 

 

 

 

 

1 e

 

sin

 

B

2 2e

 

sin B cosB

;

 

 

 

 

 

 

 

 

 

 

 

 

 

 

 

 

 

 

 

 

 

2

 

 

 

 

 

 

 

 

 

 

 

m

 

 

 

 

 

 

 

 

 

m

 

m

 

 

 

 

 

 

 

 

 

 

 

 

 

 

 

 

 

 

 

 

 

 

 

 

 

secB tgB

 

 

 

 

 

 

 

 

 

 

 

 

l

 

2

 

Ssin A

 

e2 sin B

 

cosB

e4 sin3 B cosB

 

 

 

 

 

 

 

 

 

 

Bm

 

 

 

 

 

m

 

 

 

 

 

m

 

 

 

 

m

 

m

 

 

m

 

m

 

 

 

m

m

 

 

 

 

 

 

 

 

 

 

 

 

 

 

 

 

 

 

 

 

 

 

 

 

 

 

 

 

 

 

 

 

 

 

 

 

 

 

 

 

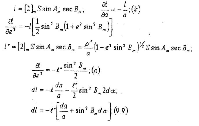
l

 

 

 

 

 

 

 

 

 

 

 

 

 

 

 

 

 

 

 

 

(г)

 

 

 

 

 

 

 

 

 

 

 

 

 

 

 

 

 

 

 

 

 

 

 

 

 

 

 

 

 

 

 

 

 

 

 

 

 

 

 

 

 

 

 

 

 

 

 

 

 

 

Bm

 

l tgBm;

 

 

 

 

 

 

 

 

 

 

 

 

 

 

 

 

 

 

 

 

 

 

 

l

 

 

2 SsecB

 

cos A

bsecB ;

(д)

 

 

 

 

 

 

 

 

 

 

 

 

 

 

 

 

 

 

 

Am

 

 

 

 

 

 

m

 

 

 

 

 

 

m

 

 

 

 

m

 

 

 

m

 

 

 

 

 

 

 

 

 

 

 

 

 

 

 

 

 

 

 

 

 

 

 

 

 

 

 

 

 

 

 

 

 

 

 

 

 

 

 

 

 

 

 

l

 

 

 

l

;

 

 

 

 

 

 

(е)

 

 

 

 

 

 

 

 

 

 

 

 

 

 

 

 

 

 

 

S

 

 

 

 

 

 

 

 

 

 

 

 

 

 

 

 

 

 

 

 

 

 

 

 

 

 

 

 

 

S

 

 

 

 

 

 

 

 

 

 

 

 

 

 

 

 

 

 

 

 

 

 

 

 

 

 

 

 

 

З врахуванням (г, д, е) і (9,3),одержимо:

 

 

 

 

 

 

 

 

 

 

 

 

 

 

 

 

 

 

 

 

 

 

 

 

 

 

 

 

 

 

 

l

 

 

 

 

b

 

 

 

 

dtgS

 

 

 

 

 

 

 

 

 

 

dL2 dL1

 

tgBmdB1

 

 

secBmdA12 l

 

 

; (9.5)

 

 

 

 

 

 

 

 

 

 

 

 

 

 

Диференціюючи формулу:

l 2 m Ssin AmtgBm;

Для азимута одержимо.

t

 

 

l secBm 1 e2 sin1 Bm cos2

Bm e4 sin4 Bm cos2

Bm ;

Bm

 

 

 

 

 

 

 

 

 

 

 

 

 

 

 

t

 

 

l secBm;

 

 

(ж)

 

 

 

 

 

 

Bm

 

 

 

 

 

 

 

 

 

 

 

 

 

 

 

 

 

 

 

 

 

 

 

 

t

 

2 Scos A tgB

btgB

;

 

(з)

 

 

 

 

 

 

 

 

 

Am

 

 

 

 

 

 

m m

m

 

 

 

 

 

 

 

 

 

 

 

 

 

 

 

 

 

 

 

t

 

t

;

(і)

 

 

 

 

 

 

 

 

 

 

 

 

 

 

 

 

 

 

 

 

s

 

 

S

 

l

 

 

 

 

dtgS

 

 

 

 

 

 

 

 

 

 

 

 

 

 

 

 

 

 

 

 

 

 

 

b

 

 

 

dA21 dA1,2

 

 

secBmdB1

 

tgBmdA1,2 t

 

;

(9.6)

 

 

 

71

Значення Вm бeреться з попередніх даних.

9.3. Спрощені диференціальні формули другого роду.

Спочатку мали еліпсоїд з параметрами а1, е1, а1. Необхиіно обчислити ланку триагуляції на новому еліпсоїді а2, е2, а2

В ЗАГАЛЬНОМУ ВИГЛЯДІ ЗОПИШЕМО:

 

db

b

 

 

da

2b

de2;

 

 

 

 

 

 

 

 

 

 

 

 

 

 

 

 

 

 

 

 

 

 

 

 

 

 

 

 

 

 

 

 

 

 

 

 

 

 

 

 

a

 

2

 

 

 

 

 

 

 

 

 

 

 

 

 

 

 

 

 

 

 

 

 

 

 

 

 

 

 

 

 

 

 

 

 

 

 

 

 

 

e

 

 

 

 

 

 

 

 

 

 

 

 

 

 

 

 

 

 

 

 

 

dl

 

l

 

da

 

 

e

de

2

;

 

 

 

 

 

 

 

 

 

 

 

 

 

 

 

 

 

 

 

 

 

 

 

 

(9.7)

 

 

 

 

 

 

 

a

2

 

 

 

 

 

 

 

 

 

 

 

 

 

 

 

 

 

 

 

 

 

 

 

 

 

 

 

e

 

 

 

 

 

 

 

 

 

 

 

 

 

 

 

 

 

 

 

 

 

dt

 

t

 

da

 

 

t

de

2

;

 

 

 

 

 

 

 

 

 

 

 

 

 

 

 

 

 

 

 

 

 

 

 

 

 

 

 

 

 

 

 

 

 

 

 

 

a

2

 

 

 

 

 

 

 

 

 

 

 

 

 

 

 

 

 

 

 

 

 

 

 

 

 

 

 

 

 

 

 

 

e

 

 

 

 

 

 

 

 

 

 

 

 

 

 

 

 

 

 

 

 

 

Приймаючи до увагн, що:

 

 

 

 

e

2 2a;

1

 

 

 

 

 

 

 

 

 

 

 

 

 

 

 

 

 

 

 

 

 

 

 

 

 

 

 

 

 

 

 

2

 

 

 

2

 

 

 

 

 

 

 

 

 

 

 

 

 

 

 

 

 

 

 

 

 

 

 

 

 

 

 

 

 

 

 

 

 

 

 

 

2

 

 

 

 

 

 

 

 

 

 

 

 

 

 

 

 

 

 

 

 

 

 

 

 

 

 

 

 

 

 

sin Bm

 

 

 

 

 

b 1

 

 

Scos A

 

 

1 e

 

 

Scos A ;

 

 

 

 

 

 

 

 

 

 

 

 

 

 

 

 

 

 

 

 

m

 

 

 

 

 

 

 

m

 

 

 

 

 

 

 

 

a1 e2

 

 

 

 

m

 

 

 

 

 

 

 

 

 

 

 

 

 

 

 

 

 

 

 

 

 

 

 

 

 

 

 

 

 

 

 

 

 

 

 

b

 

 

 

b

; (і)

 

 

 

 

 

 

 

 

 

 

 

 

 

 

 

 

 

 

 

 

 

 

 

 

 

 

a

 

 

 

 

 

 

 

 

 

 

 

 

 

 

 

 

 

 

 

 

 

 

 

 

 

 

 

 

 

 

 

 

 

 

 

a

 

 

 

 

 

 

 

 

 

 

 

1 e2 sin2 B

1

 

 

 

b

 

 

 

 

 

 

 

 

 

 

 

 

 

 

 

 

 

 

 

 

 

 

 

 

 

 

 

 

 

 

 

 

2

 

 

 

 

 

 

 

 

 

 

 

 

 

 

 

Scos A

 

 

 

 

 

 

 

 

 

 

1 e2

m

 

 

;

 

 

e2

 

 

 

 

 

 

 

 

 

 

 

 

 

 

 

 

 

 

 

 

 

 

 

 

 

 

a

 

 

 

 

 

 

 

m e2

 

 

 

 

 

 

 

 

 

 

 

 

 

 

 

 

 

 

 

 

 

 

 

 

 

 

 

 

 

 

 

 

 

 

 

 

 

 

 

 

 

 

 

sin2

 

 

 

 

 

b

 

 

1 Scos A

 

 

 

 

 

1

 

 

 

3

 

 

 

B

 

 

 

 

 

 

 

 

 

 

 

 

 

 

 

 

 

 

 

 

 

 

 

m

 

;

 

e2

 

 

 

 

 

 

 

 

 

 

2

1 e2 sin2

B

 

 

 

 

 

 

 

 

 

m

 

 

m 1 e2

 

 

 

 

 

 

 

 

 

 

 

 

 

 

 

 

1

 

 

 

 

 

 

 

 

 

 

 

 

 

 

 

 

 

 

 

 

 

m

Розкладаючи

 

 

 

 

; в ряд і обмежуючись першими членами розкладу,

 

 

 

1 e2

 

 

 

 

 

 

 

 

 

 

 

 

 

 

 

 

 

 

 

 

 

 

 

 

 

 

 

 

 

 

 

 

 

 

72

 

 

b

1

Scos A

1

3

sin2

B

;

 

 

 

 

 

 

2

 

 

 

 

 

m

 

 

 

m

 

2

 

m

 

 

 

 

 

 

 

 

 

 

 

 

 

 

 

 

e

 

 

 

 

2 3sin2 B

 

 

 

одержимо:

 

b

 

b

 

 

(ї)

 

2

 

 

 

 

 

2

 

 

 

 

 

 

m

 

 

 

 

 

 

 

e

 

 

d

 

 

 

b

2 3sin2 B

2d

 

db

da

 

 

 

 

 

 

 

 

 

a

2

 

 

 

 

m

 

 

з врахуванням: e2 2 ;

 

de 2d ;

 

 

Одержим:

db b

da

2 3sin

2 B da ;

(9.8)

 

 

 

 

 

 

 

 

 

 

 

 

 

m

 

 

 

 

 

 

a

 

 

 

 

 

 

 

 

 

 

По формулі (9.8) обчислюють поправку в широту Диференціюючи формулу

73

t

 

t

;

 

 

t

 

t sin2

Bm

;

t 2 Ssin A tgB ;

a

 

 

 

2

 

 

 

a

 

 

 

 

 

2

 

 

 

m m

 

 

 

da

 

e

 

 

 

 

 

 

 

 

 

 

 

sin2

 

 

 

 

 

 

dt t

 

Bmd

;

(9.10)

 

 

a

 

 

 

 

 

 

 

 

 

 

 

 

 

 

 

 

Формули (9.8), (9.9), (9.10) і рішають поставлену задачу.

 

B

 

 

D

 

 

F

 

 

K

M

 

 

 

 

 

 

 

 

 

 

 

 

 

 

 

A C E G L

Рис.9 2.Ряд тріангуляції.

Тверда точка А не отримає зміну. По диферещіальним

формулах обчислюються координати наступного пункта по ходовій лінії db, dl, dt . для пункта C, а для E, G, L по формулах 1 -го і 2-го роду.

Розділ 8

Лекція №10. Система плоских прямокутних координат Гаусса-Крюгера

10.1. Загальні положення.

Для крупномасштабного картографування необхідна проекція, яка б , забезпечувала збереження подібного зображення фігур (контурів) при переході з поверхні еліпсоїда на площину при мінімальному спотворенні розмірів фігур і легкому їх врахуванні.

Даним вимогам відповідає прийнята в бувшому Союзі з 1928 року, безперечно-циліндрична рівнокутна проекція Гаусса-Крюгера.

Розміщують еліпсоїд всередині циліндра так, щоб мала вісь обертання була перпендикулярна до осі циліндра, а середній (осьовий) меридіан шестиабо трюхградусної зони був дотичним до поверхні циліндра. Після проектують на цю поверхню міжмеридіанну зону, розрізають циліндр, розвертають в площину і переносять на папір у відповідному зменшенні. Неминучі при цьому зпотворення зображень елементів місцевості на папері можна обмежити до необхідних границь підбором розмірів зон між меридіанами.

74

Рис. 10.1. Схема поперечно-циліндричної проекції Гаусса-Крюгера

Рис. 10.2. Схема координатних зон, розвернутих в площину.

Рис. 10.3. Дійсні прямокутні координати

75