Материал: nureev_rm_dementev_vv_red_postsovetskii_institutsionalizm

Внимание! Если размещение файла нарушает Ваши авторские права, то обязательно сообщите нам

Постсоветский институционализм

Г.П. Литвинцева

Очевидно, что пропорции цен в точке рыночного равновесия должны быть такими, при которых каждая отрасль получает, по крайней мере, минимально необходимую для нормального воспроизводства добавленную стоимость. Но элементами цены продукции каждой отрасли, как показано, являются коэффициенты ПДС всех отраслей на ее производство, сумма которых в отчетном межотраслевом балансе за любой год равна 1. В силу этого происходящие изменения цен выражаются в изменении значений коэффициентов ПДС в матрице D, которые зависят не от масштаба цен, а от их пропорций. Если за отчетный период индексы роста всех цен были одинаковыми, то значения коэффициентов ПДС остаются неизменными. Если индекс роста цены продукта некоторой отрасли превышал индекс роста цен на потребляемые этой отраслью ресурсы, то коэффициент добавленной стоимости этой отрасли в цене своего продукта возрастает, и наоборот.

Наибольшую добавленную стоимость в ценах своей продукции в 1999 г. имели торговля, нефтегазовая промышленность, цветная металлургия, сельское хозяйство, транспорт и наука. Однако сельское хозяйство и транспорт функционируют в режиме проедания капитала, а наука бедна, как никогда. Следовательно, имеются только 3 лидера. Вместе с тем из того, что в отраслевую цену включена высокая добавленная стоимость, не следует, что перераспределение этой стоимости позволит вывести из режима проедания капитала другие отрасли. Для этого необходимо, чтобы объемы промежуточного и конечного потребления ее продукции были достаточно велики.

По объемам промежуточного потребления услуги торговли, как показано выше, занимают в ценах вместе с топливной промышленностью, электроэнергетикой и транспортом лидирующие позиции. Проанализируем структуру производства конечного продукта в 1999 г., рассчитав его для каждой отрасли как разность валового выпуска и промежуточного потребления. Структуру производства охарактеризуем матрицей C удельных коэффициентов ПДС на производство конечного продукта экономики:

С={cij

 

~ ~ ~

~

;i, j I},

 

 

cij =ribijy j

=dijy j

где ~y j – доля конечного продукта отрасли j в конечном продукте

экономики. Сумма коэффициентов по столбцу j дает оценку доли отрасли j в конечном продукте, а по строке – ее долю в производстве

256

Постсоветский институционализм

Г.П. Литвинцева

ВВП.

Анализ показывает, что услуги торговли не только потребляются в процессе производства в значительно бóльших количествах, чем продукция и услуги других отраслей, но и занимают беспрецедентно высокую долю в конечном продукте экономики России – 28% (рис. 6). Для сравнения: в США данный показатель составлял в 1997 г. всего 12%. Доля трансакционных услуг (торговля в совокупности с финансами, кредитом, управлением) в конечном продукте России составляет 38,7%. Вполне очевидно, что равновесная система цен может быть установлена только за счет перераспределения добавленной стоимости торговли в пользу отраслей производителей.

В целом рыночные институты на фоне низкой продуктивности экономики России стимулируют развертывание инфляционной спирали непродуктивной экономики, являются главными генераторами непрерывно углубляющегося инвестиционного кризиса. Это выражается, с одной стороны, в нарастающем износе основных фондов реального сектора экономики и в остром недостатке инвестиций для их обновления и модернизации, с другой – в накоплении огромных сумм денежного капитала, не находящего выгодных секторов для вложения и вывозимого из страны.

28,09

 

 

 

 

 

 

 

10,68 9,24 8,88

7,00 6,70 6,37

 

 

 

 

 

 

 

4,75

4,33 4,03

3,61

 

 

 

 

 

1,68 1,18 0,79 0,78 0,76 0,74 0,24 0,05 -0,09

 

 

 

 

 

 

Торговля

Финансы, кредит Строительство Здравоохранение

Пищевая Сельское хоз. Транспорт и связь

Машиностроение

Нефтегазовая Цветная металл. ЖКХ

Черная металл. Лесобумажная Химическая Электроэнергетика Прочие отрасли Наука Легкая Угольная

Стройматериалов

 

Рис. 6. Структура конечного продукта экономики

 

 

 

России в 1999 г., %

 

257

Постсоветский институционализм

Г.П. Литвинцева

Согласно концепции Ю.В. Яременко, так и должно происходить в технологически неоднородной экономике в условиях свободного рынка. С фазой выдвижения процветающих секторов вверх рыночные институты справляются, а вот с подтягиванием отставших в развитии секторов – нет. Вложения в такие секторы невыгодны, чрезвычайно рискованны и с помощью рыночных механизмов неосуществимы, даже если эти секторы являются жизненно необходимыми.

Этим обусловлен точечный характер направляемых в российскую экономику как иностранных, так и отечественных инвестиций. В региональном аспекте – это Москва, С.-Петербург и регионы добычи экспортируемого сырья (рис.7).

Y (тыс.руб.)

180

 

 

 

 

 

 

 

 

 

 

 

160

 

 

 

 

 

 

 

 

 

 

 

140

 

 

 

 

 

 

 

 

 

 

 

120

 

 

 

 

 

 

 

 

 

 

 

100

 

 

 

 

 

 

 

 

 

 

 

80

 

 

 

 

 

 

 

 

 

 

 

60

 

 

 

 

 

 

 

 

 

 

 

40

 

 

 

 

 

 

 

 

 

 

 

20

 

 

 

 

 

 

 

 

 

 

 

0

 

 

 

 

 

 

 

 

 

 

X

0

8

16

24

32

40

48

56

64

72

80

88

Рис.7. Распределение субъектов Федерации (Х) по объему инвестиций в основной капитал на душу населения (Y) в 2000 г. Среднероссийское значение – 7,8 тыс. руб.

В отраслевом аспекте – это, прежде всего, строительство элитного жилья в городах и элитных коттеджей в пригородах. Вложения

вобъекты недвижимости в условиях высокой инфляции являются надежной формой сбережения средств граждан, имеющих высокие доходы. В силу этого в жилищное хозяйство за 1992-2001 гг. был направлен самый большой объем инвестиций – 18,1% общего объема инвестиций во все отрасли экономики, т. е. больше, чем инвестиции

вмашиностроение – в 5 раз, в нефтепереработку – в 15 раз и в лесное хозяйство – в 181 раз (рис. 8). Вторая отрасль по объему поступивших инвестиций – транспорт, третья – нефтедобыча. В совокупности

вэти отрасли было направлено 42% всех инвестиций. Коммунальное

258

Постсоветский институционализм

Г.П. Литвинцева

хозяйство, испытывающее огромную потребность в инвестициях и финансируемое преимущественно за счет местных бюджетов, получило 6,7% инвестиций. Четыре отрасли – лидеры совместно с электроэнергетикой поглотили более 50% всех инвестиций.

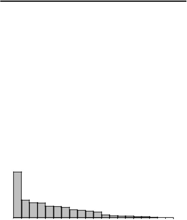
18,1

 

 

14,6

 

 

 

 

 

 

 

 

 

 

 

 

 

 

 

 

 

 

 

 

 

 

 

 

 

 

 

 

 

 

 

 

 

 

 

 

 

 

 

 

 

9,9

 

 

 

 

 

 

 

 

 

 

 

 

 

 

 

 

 

 

 

 

 

 

 

 

 

 

 

 

 

 

 

 

 

 

 

 

 

 

 

 

 

 

 

 

 

 

 

 

 

 

 

 

 

 

 

 

 

 

 

 

 

 

 

 

 

 

 

 

 

 

 

 

 

 

 

 

 

 

 

 

 

6,8

5,1

 

 

 

 

 

 

 

 

 

 

 

 

 

 

 

 

 

 

 

 

 

 

 

 

 

 

 

 

 

 

 

 

 

 

6,8

 

 

 

 

 

 

 

 

 

 

 

 

 

 

 

 

 

 

 

 

 

 

 

 

 

 

 

 

 

 

 

 

 

 

 

 

 

 

 

 

 

 

 

4,6

3,6

3,3

3,3

3,2

2,7

2,2

2,0

1,9

1,9

1,9

1,7

 

1,5

 

1,2

 

1,2

0,9

 

0,8

 

0,5

 

0,4

 

 

0,1

 

 

 

 

 

 

 

 

 

 

 

 

 

 

 

 

 

 

 

 

 

 

 

 

 

 

 

 

 

 

 

 

 

 

 

 

 

 

 

 

 

 

 

 

 

 

 

 

 

 

 

 

 

 

 

 

 

 

 

 

 

 

 

 

 

 

 

 

 

 

 

 

 

 

 

 

 

 

 

 

 

 

 

 

 

 

 

 

 

 

 

 

 

 

 

 

 

 

 

 

 

 

 

 

 

 

 

 

 

 

 

 

 

 

 

 

 

 

 

 

 

 

 

 

 

 

 

 

 

 

 

 

 

 

 

 

 

Жили щное хозяйство

Транспорт

Нефтедобывающая

Коммунальное хозяйство

Электроэнергетика

Сельское хозяйство

Машиностроение

Строительство

Пищевая

Газовая

Здравоохранение Цветная металлургия

Черная металлургия

Связь

Образование

Торговля

Химическая

 

Угольная

Нефтеперерабатывающая

 

Лесобумажная

 

Стройматериалов

 

Культура

 

Наука

Легкая

Лесохозяйство

Прочие отрасли

Рис. 8. Структура накопленных инвестиций в основной капитал по отраслям экономики за 1992-2001 гг.

(в сопоставимых ценах), %

Остальные отрасли (без прочих отраслей) в зависимости от поступления инвестиций подразделяются на четыре группы:

 

%

Первая

– от 3,2 (газовая)

 

до 4,6 (сельское хозяйство)

Вторая

– от 2,0 (черная металлургия)

 

до 2,7 (здравоохранение)

Третья

– от 1,2 (лесобумажная)

 

до 1,9 (связь)

Четвертая

– менее 1.

В прочие отрасли поступило 6,8% инвестиций, т. е. столько же, сколько в коммунальное хозяйство. Таким образом, маневр инвести-

259

Постсоветский институционализм

Г.П. Литвинцева

циями в пользу реального сектора производства возможен за счет сокращения объемов инвестиций, направляемых в элитное жилищное хозяйство. Однако держателям денежных капиталов он невыгоден.

Впромышленности на этапе экономического оживления абсолютными лидерами по объемам инвестиций стали экспортноориентированные отрасли первого эшелона – нефтедобывающая, газовая и цветная металлургия. В них в совокупности с экспортноориентированными отраслями второго эшелона было направлено в 2001 г. 70% всех инвестиций в промышленность.

Таким образом, точечное инвестирование экономики, с одной стороны, способствует ускоренному развитию сектора элитного жилищного хозяйства на фоне деградации коммунального хозяйства. С другой – оно закрепляет энергосырьевую специализацию экономики России и усиливает ее технологическое отставание, препятствуя тем самым повышению ее продуктивности, а вместе с тем – установлению системы равновесных цен. При этом экспортеры стремятся повысить внутренние цены на экспортируемое сырье до уровня мировых, которые в пересчете на доллар по официальному курсу выше, чем в России. Одновременно часть инвестиций направляется на закупку импортных товаров, поскольку торговля ими в силу их дешевизны без защитительных торговых пошлин значительно более выгодна на внутреннем рынке по сравнению с отечественными аналогами. Конкурирующий импорт стимулирует снижение внутренних цен на конечную продукцию, в то время как экспорт – их рост. Эти два разнонаправленных воздействия придают инфляционным процессам дополнительный импульс. Точечное инвестирование и импорт продуктов абсорбируют часть высоких денежных доходов торгового сектора и удачливых экспортеров. Оставшаяся часть средств либо оседает без движения на счетах банков и в "кубышках", либо направляется на демонстрационное потребление. Этим инфляции придается еще один дополнительный импульс – монетарный. Стремясь его подавить, правительство создает институт стерилизации денег. Однако поскольку за неиспользование денег их владельцам выплачивается процент, постольку стерилизация в конечном итоге лишь увеличивает денежную массу и усиливает монетарную инфляцию. Действенным инструментом ее подавления становится вывоз капитала.

Вцелом, результатом несоответствия материально-техно- логических характеристик и институционального устройства становится двухполюсная экономика. На одном полюсе – тотальный де-

260