Оператор |
Описание |
|
|
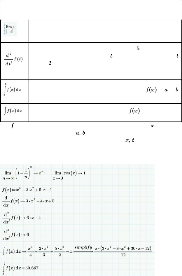
Вычисляет предел символьного выражения.
Возвращает производную от нулевого до -го порядка для функции
по переменной , вычисленную в точке . Цифра – порядок производной. Для первой производная это поле оставляют пустым.
Возвращает определенный интеграл функции |
от до . |
Возвращает неопределенный интеграл .
Где, – любая функция, принимающая скалярные значения, – является
переменной интегрирования, |
являются вещественными скалярами, |
|
должны иметь единицы измерения, сравнимые с |
– точка, в которой |
|
производится вычисление производной. |
|
|
Примеры:
21
1.3. Одномерные (векторы) и двумерные(матрицы) массивы
Векторы и матрицы часто называют общим термином "массивы". Вектор представляет собой массив из одной строки и столбцов (вектор-строка) или из одного столбца и строк (вектор-столбец), а матрица – это массив из строк и столбцов.
Примеры создания векторов и матриц:
1) Создание вектора:
а) С помощью вкладки Матрицы/таблицы/Вставить матрицу:
вектор - столбец |
или вектор - строка |
|
б) С помощью переменной – диапазон и функции случайных чисел |
. |
|
Функция
– возвращает равномерно распределенное случайное вещественное число в диапазоне от до , где – скаляр или вектор из вещественных значений.
Для создания вектора случайных целых чисел, можно воспользоватся сочетанием функции и trunc. Функция trunc 
– возвращает целую часть от , удаляя дробную часть.
22
в) С помощью переменной – диапазон и заданной зависимости (формулы):
Примечание: Оператор присваивания |
создает массив , которая |
является точной копией массива . Пример: |
|
2) Создание матрицы:
а) С помощью вкладки Матрицы/таблицы/Вставить матрицу:
б) С помощью переменной – диапазон и функции случайных чисел |
. |
Для создания матрицы случайных целых чисел, можно воспользоватся сочетанием функции и trunc.
23
в) С помощью переменной – диапазон и заданной зависимости (формулы):
Примечание: Оператор присваивания |
создает массив |
, |
которая является точной копией массива |
. Пример: |
|
Следует отметить, что |
индекс (ы) первого элемента массива |
|||
определяется значением системной |
переменной |
, и по |
||
умолчанию равен |
. |
Более удобным является, |
когда индексация |
|
начинается с |
, т.е. когда значение |
равно . |
||
Доступ к элементам массива осуществляется путем указания имени массива и индекса (ов) элемента.
Примеры доступа к элементам вектора и матрицы:
24
Примечание: В случае вектор – строки, доступ к элементам, таким образом становится невозможным. Доступ возможен только, если вектор
– строку рассматривать как матрицу содержащую одну строку:
В отличие от обычных переменных, содержащих одно значение, массивы содержат множество значений. Для функций, получающих векторный аргумент, обычно требуется вектор-столбец. Массивы можно создавать и использовать в расчетах аналогично числам и скалярным переменным.
Многие стандартные операторы и функции можно применять и к массивам. Также существует несколько специальных операторов для работы с массивами.
Операции, которые можно выполнять над массивами выбираются из вкладки:
Некоторые операций над матрицами:
25