Порядок выполнения:
1.Запишите формулировку задания в Текстовое поле.
2.Присвойте значения переменным
и :
3.Наберите заданное выражение и затем на клавиатуре простой знак равенства «=».
Вид документа Mathcad Prime:
Для разложения математического выражения на множители используется ключевое слово , которая выбирается на вкладке
Математика/Символьные вычисления. Пример:
Если в качестве выражения использовать некоторое целое число, то получим его разложение на простые множители. Пример:
Для разложения дроби на элементарные дроби используется ключевое слово , которая выбирается на вкладке Математика/Символьные вычисления. Пример:
31
Индивидуальные задания
1.Вычислить значение выражения (Табл. 1).
2.Разложите на множители выражение (Табл. 2).
3.Разложите дробь на элементарные дроби (Табл. 3).
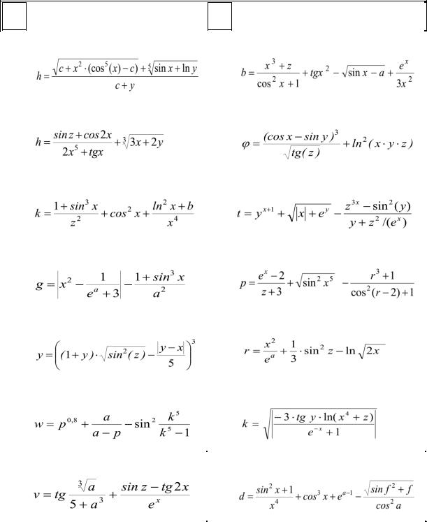
Таблица 1
№ |
Выражение |
№ |
Выражение |
|
|
|
|
|
x = 0.981; y = 1.625; c = 0.512 |
|
x = -6.251; a = 0.827; z = 25.001 |
1 |
|
9 |
|
|
|
|
|
|
x = 3.251; y = 3.325; z = 0.466 |
|
x = 0.622; y = 3.325; z = 5.541 |
2 |
|
10 |
|
|
|
|
|
|
x=17.421; b=10.365; z= 0.828 |
|
x = 0.335; y = 0.025; z = 32.005 |
3 |
|
11 |
|
|
|
|
|
|
|
|
|
|
x = 2.444; a = 0.869 |
|
x = 3.258; r = 4.005; z = -0.666 |
4 |
|
12 |
|
|
|
|
|
|
x = 0.100; y = -8.750; z = 0.765 |
|
x = 1.542; a = 3.261; z = 8.005 |
5 |
|
13 |
|
|
|
|
|
|
k = 1.426; a = -1.220; p = 3.500 |
|
x = -4.500; y = 0.750; z = 0.845 |
6 |
|
14 |
|
|
|
|
|
|
a = 3.741; x = 0.825; z = 5.160 |
|
x = 0.400; a = 2.875; f = -0.475 |
7 |
|
15 |
|
|
|
|
|
32
|
t = 0.750; a = 0.845; m = 2.5 |
|
x = -15.24; a = 5.642; b = 20.001 |
8 |
|
16 |
|
|
|
|
|
Таблица 2
|
№ |
|
|
|
|
Выражение |
№ |
|
|
|
|
|
|
Выражение |
||||||||||||||
|
|
|
|
|
|
|
|
|
|
|
|
|
|
|
||||||||||||||
|
|
|
|
|
|
|
|
|
|
|
|
|
|
|
|
|
|
|
|
|
|
|
|
|
|
|
|
|
|
1 |
|
|
x |
4 |
− 2x |
3 |
+ x |
2 |
−12x + 20 |
9 |
x |
4 |
+ x |
3 |
−17x |
2 |
− 45x −100 |
||||||||||
|
|
|
|
|
|
|
|
|
|
|
|
|||||||||||||||||
|
2 |
|
|
x |
4 |
+ 6x |
3 |
+ x |
2 |
− 4x − 60 |
10 |
x4 − 5x3 + x2 −15x + 50 |
||||||||||||||||
|
|
|
|
|
|
|
|
|
|
|
|
|
|
|
|
|
|
|
|
|
|
|
||||||
|
3 |
|
|
x4 −14x2 − 40x − 75 |
11 |
x4 − 4x3 − 2x2 − 20x + 25 |
||||||||||||||||||||||
|
4 |
|
|
x4 − x3 + x2 −11x +10 |
12 |
x4 + 5x3 + 7x2 + 7x − 20 |
||||||||||||||||||||||
|
5 |
|
|
x4 − x3 − 29x2 − 71x −140 |
13 |
x4 − 7x3 + 7x2 − 5x +100 |
||||||||||||||||||||||
|
6 |
|
|
x4 + 7x3 + 9x2 +13x − 30 |
14 |
x4 +10x3 + 36x2 + 70x + 75 |
||||||||||||||||||||||
|
7 |
|
|
x4 + 3x3 − 23x2 − 55x −150 |
15 |
x4 + 9x3 + 31x2 + 59x + 60 |
||||||||||||||||||||||
|
8 |
|
|
x4 − 6x3 + 4x2 −10x + 75 |
16 |
x5 + x4 − 4x3 − 4x2 − 45x − 45 |
||||||||||||||||||||||
|
|
|
|
|
|
|
|
|
|
|
|
|
|
|
|
|
|
|
|
|
|
|
|
|
|
|||
Таблица 3 |
|
|
|
|
|
|
|
|
|
|
|
|
|
|
|
|
|
|
|
|
|
|||||||
|
|
|
|
|
|
|
|
|
|
|
|
|
|
|
|
|
|
|
|
|
|
|
||||||
|
№ |
|
|
|
|
|
Выражение |
№ |
|
|
|
|
|
|
Выражение |
|||||||||||||
|
|
|
|
|
|
|
|
|
|
|
|
|
|
|
|
|
||||||||||||
|
1 |
|
|
2x2 − x − 7 |
|
|
|
|
|
9 |
11x2 + 9x +1 |
|
|
|
||||||||||||||
|
|
|
|
x3 − 5x2 + 6x |
|
|
|
|
|
|
|
|
|
|
|
|
|
|
|
|
|
|
||||||
|
|
|
|
|
|
|
|
|
|
|
|
x |
2 |
+ 3x + 2 |
|
|
|
|
|
|||||||||
|
|
|
|
|
|
|
|
|
|
|
|
|
|
|
|
|
|
|
|
|
|
|
|
|
||||
|
|
|
|
|
|
|
|
|
|
|
|
|
|
|
|
|
|
|
|
|||||||||
|
2 |
|
|
x4 + 3x3 + 2x −11 |
10 |
|
|
|
|
|
|
x |
|
|
|
|
|
|||||||||||
|
|
|
|
|
|
|
|
|
|
|
|
|
|
|
|
|
|
(x −6)(x2 + 4) |
|
|
|
|||||||
|
|
|
|
(x −1)(x +1)(x − 3)3 |
|
|
|
|
|
|||||||||||||||||||
|
|
|
|
|
|
|
|
|
|
|
|
|
|
|
|
|
|
|
|
|
|
|
|
|
||||
|
3 |
|
|
|
|
|
x2 + x |
|
|
|
|
11 |
|
|
|
|
|
|
x2 |
|
|
|
|
|
||||
|
|
|
|
(x −1)3(x − 2)(x −3) |
|
|
(x −1)(x2 + x − 2) |
|||||||||||||||||||||
|
|
|
|
|
|
|
|
|
|
|
|
|
||||||||||||||||
|
4 |
2x5 + 6x3 +13 |
|
|
|
12 |
|
|
z2 − 2z +19 |
|
|
|
||||||||||||||||
|
|
|
|
|
|
x4 + 3x2 |
|
|
|
|
|
|
|
(z − 3)2 (2z +5) |
||||||||||||||
|
|
|
|
|
|
|
|
|
|
|
|
|
|
|
|
|
|
|
|
|
|
|
|
|
|
|
|
|
|
|
|
|
|
|
|
|
|
|
|
|
|
|
|
|
33 |
|
|
|
|
|
|
|
|
|
|
|
|
5 |
|
4x2 +16x −8 |
13 |
|
2t2 − 3t +1 |
|
|||||
|
|
x3 − 4x |
|
|
t3 + 2t2 − 9t −18 |
||||||
|
|
|
|
|
|
|
|
|
|
|
|
6 |
|
x2 + 2 |
|
14 |
|
z3 − 2z2 + 3z − 6 |
|
||||
|
|
(x +1)3(x − 2) |
|
|
(z − 2)3 |
||||||
|
|
|
|
|
|
|
|
|
|
||
7 |
|
x2 + 2x − 4 |
15 |
|
3x + 4 |
|
|||||
|
|
|
|
|
|
|
|
x(x +5)(x −7) |
|||
|
|
x3 − x2 − 6x |
|
|
|||||||
|
|
|
|
|
|
|
|
||||
8 |
|
2x +1 |
|
16 |
|
6x2 − 4x +1 |
|||||
|
|
(x + 3)(x2 −9) |
|
|
|
|
|||||
|
|
|
|
(x −5)(x −1)2 (x2 +1) |
|||||||
|
|
|
|
|
|
|
|
|
|
|
|
34
Лабораторная работа №2. Работа с графиками
В Mathcad Prime существует возможность построения 2D (двумерных) и 3D (трехмерных) графиков, встроенных или определенных пользователем функций. Для построения графика функции, можно вначале задать саму функцию или же можно тело функции задать в выражениях осей.
Чтобы построить 2D график нужно воспользоваться вкладкой:
График/Вставить график/ График XY. Примеры:
или 
Чтобы построить 3D график нужно воспользоваться вкладкой:
График/Вставить график/ 3D-график. Примеры:
или
Здесь, второй график, той же функции, но в нем использован инструмент
Заливка поверхности.
35