функций называются аргументами, и каждый аргумент определяется выражением. Результат функции рассчитывается посредством применения действия функции к аргументам.
Примечание: Имена встроенных функций зависят от регистра клавиатуры. Все функции PTC Mathcad (встроенные и определяемые пользователем) принимают максимум 16 аргументов. Многие общие операции представляются соответствующими математическими обозначениями и считаются операторами, которые описываются отдельно.
Кроме встроенных функции Mathcad Prime позволяет определять свои функции (функция пользователя) и использовать их в дальнейших вычислениях.
Для определения функции пользователя:
1.Введите в документ имя определяемой функции.
2.Введите открывающуюся скобку. Появятся местозаполнитель и закрывающие скобки.
3.Введите в местозаполнитель список аргументов, разделенных запятыми. Аргументы должны быть именами. Они не могут быть более сложными выражениями.
4.Вставьте оператор присваивания :=. Появится второй местозаполнитель.
5.Введите в местозаполнитель выражение или строку. Переменные справа должны быть либо ранее определены, либо входить в список аргументов. Неопределенные переменные обводятся красным цветом.
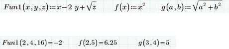
Примеры определения функции пользователя:
Примеры использования этих функции пользователя:
Mathcad Prime вычисляет математические выражения в порядке слева направо, сверху вниз. При изменении математического выражения его результат автоматически обновляется. Все связанные математические области, находящиеся справа или снизу от измененных выражений,
16
соответственно обновляются. Если отключить расчет области, результаты не будут обновляться:
Для набора различных математических выражении (формул) и нахождения их значений для различных исходных данных, используют в основном следующие вкладки:
Примечание: Функции можно набирать и с помощью клавиатуры.
17
Чтобы вычислить значение выражения, нужно ввести необходимое выражение, предварительно присвоив начальные значения переменным и поставить обычный знак равенства «=» – оператор вычисления:
Если мы запишем выражение 
, предварительно не определив значение
, то Mathcad Prime выдаст ошибку:
, значения переменной
можно определить до записи нашего выражения, например так:
или, после, в любом месте документа, с помощью оператора глобального присваивания (вкладка Математика/Операторы), так:
Оператор глобального присваивания , сохраняет назначенное значение во всем документе. Попытка присвоить глобальной переменной новое значение приведет к неудаче.
Еще один символ
(вкладка Математика/Символьные операции)
служит для запуска в действие символьных операций:
При вычислении функции с использованием оператора аналитического преобразования
Mathcad может выполнить подстановку аргумента в функцию и вычислить ее аналитически:
В режиме программирования используется еще один вид присваивания
(стрелка, направленная справа-налево) – оператор локального присваивания.
18
Оператор сравнения (жирный знак равенства
) из вкладки Математика/Операторы используется в логических выражениях (проверках условии).
Упрощение выражений производится при помощи команды из вкладки Математика/Символьные вычисления. Ключевое слово
упрощает выражения при помощи тождеств для алгебраических, тригонометрических и экспоненциальных функций и
упрощает квадратные корни и степени. Примеры:
Разложение на множители производится при помощи команды из вкладки Математика/Символьные вычисления. Эта операция позволяет разложить полиномы на произведение более простых полиномов, а целые числа — на простые сомножители. Примеры:
Приведение подобных слагаемых производится при помощи команды
из вкладки Математика/Символьные вычисления. Команда собирает элементы в полиномы, содержащие одинаковые степени
указанной переменной. Примеры:
19
Разложение на простые дроби производится при помощи команды из вкладки Математика/Символьные вычисления. Пример:
Примеры вычисления суммы и произведения:
Операторы суммы и произведения:
Оператор |
|
|
Описание |
|
|
|
|
|
|
|
|||
|
Возвращает сумму всех элементов вектора . |
|
|
|||
|
|
|
|
|||
|
Возвращает сумму по выражения . |
|
|
|||
|
|
|
|
|
||
|
Возвращает сумму выражения |
для всех от |
до |
|
||
|
. |
|
|
|
|
|
|
|
|
|
|
||
|
Возвращает произведение по |
выражения . |
|
|
||
|
|
|
||||
|
Возвращает произведение выражения для всех |
|
||||
|
от |
до . |
|
|
|
|
|
|
|
|
|
||
Где, – вектор, |
– имя локальной переменной-диапазона, |
– выражение, |
||||
которое обычно содержит или |
и принимает действительное значение, |
|||||
– действительные числа, |
. |
|
|
|
||
Примеры:
Примеры вычисления предела, производной и интеграла:
Операторы предела, производной и интеграла:
20