Материал: Механика (статика). учебное пособие. Рябцев В.А

Внимание! Если размещение файла нарушает Ваши авторские права, то обязательно сообщите нам

 

 

 

 

 

 

Пусть сила

P

приложена в точке А. Разложим силу P

на

 

 

лежащие в одной плоскости

со-

 

 

 

 

 

 

 

 

ставляющие, одна из которых -

Pl

 

 

 

 

 

 

 

 

параллельна оси, а вторая- Pt пер-

 

 

пендикулярна этой оси (рис. 7.16).

 

 

 

Пусть П плоскость, перпен-

 

 

дикулярная оси l . Составляющая

 

 

 

 

 

 

 

 

Pt силы P , параллельная плоско-

 

 

сти

П называется составляющей

 

 

силы

 

вдоль плоскости П.

 

 

 

P

 

Величиной момента силы

 

относительно оси l назы-

P

вают алгебраическое значение произведения составляющей силы вдоль плоскости П, перпендикулярной к этой оси, на расстояние от этой проекции до оси, то есть на длину перпендикуляра, опущенного из точки пересечения оси с плоскостью на линию действия этой составляющей (рис. 7.16):

 

 

Ml ( P ) Pt h .

(7.23)

Рис. 7.16

При определении величины момента си-

лы относительно оси учитывается, что враща-

 

тельное действие силы относительно оси определяется не всей

силой, а только ее составляющей Pt вдоль плоскости, перпен-

дикулярной оси. Другая составляющая Pl , параллельная оси l,

не вызывает вращения, а стремится сдвинуть тело вдоль оси. Величина момента считается положительной, если, смотря

противоположно положительному направлению оси, можно

видеть вращение тела вокруг оси под действием силы P (или

составляющей Pt ) против хода часовой стрелки. При враще-

нии по ходу часовой стрелки величина момента считается отрицательной. Из формулы (7.23) и рис. 7.16 следует

 

Oab ,

(7.24)

Ml ( P ) 2 пл

126

 

 

 

 

т. е. величина момента силы P относительно оси l

численно

равна алгебраическому значению удвоенной площади тре-

 

 

угольника, основанием которого служит проекция Pt

силы P

на плоскость, перпендикулярную к оси, а вершиной - точка

 

 

пересечения оси с плоскостью. Если сила P параллельна оси,

то Pt = 0, а если ее линия действия пересекает ось, то h = 0. В

обоих случаях, согласно (7.23), M l ( P ) = 0, т. е. величина мо-

мент силы относительно оси равна нулю, когда сила параллельна оси или пересекает эту ось. В обоих случаях сила и ось расположены в одной плоскости.

7.5.6. Теорема 7.2, о связи между величинами моментов силы относительно точки оси и относительно оси

Величина момента силы относительно оси равна проекции на эту ось вектора момента силы,

взятого относительно произвольной точки на данной оси.

Доказательство. На рис. 7.17 даны построение, необходимое для доказательства теоремы. Согласно (7.17), (7.18) и

рис. 7.17

 

 

перпендикулярен плоскости AOB и модуль

M o ( P )

 

 

 

 

 

| Mo ( P )| = 2 пл. AOB.

Плоскость П перпендикулярна оси l. Треугольник Оаb есть проекция на плоскость П треугольника OAB. Из геометрии известно, что площадь проекции плоской фигуры равна произведению площади проецируемой фигуры на косинус угла между плоскостью проекции и плоскостью проецируемой фигуры: пл. Оаb = пл. ОAB cos . Угол между плоскостями измеряется соответствующим двугранным углом, равным углу

127

между перпендикулярами к этим плоскостям, проведенными в любой точке пересечения плоскостей (на рис. 7.17 точка О). Учитывая (7.18) и (7.24), получаем

 

 

 

 

 

 

Ml( P ) = 2 пл. Оаb = 2 пл.

OAB cos

=

 

 

 

 

 

 

=| M o ( P ) | cos

= OK = npl M o ( P ) ,

 

то есть

 

 

 

 

 

 

 

 

 

 

 

 

Ml ( P )

npl Mo ( P ) .

 

(7.25)

Если вместо точки О будет другая точка пересечения плоскости с осью, например точка О1 то площадь OAB и угол изменяются, а площадь проекции останется прежней (пл. Оаb = пл. O1a1b1 ). Тогда, согласно (7.24), не изменится момент и силы относительно оси. Теорема доказана.

Если центр моментов (точку О) взять в плоскости пары,

 

 

то оба вектора момента M O ( P ) и

M O ( P ) будут расположе-

ны на одной прямой, а в этом случае их векторное суммирование моментов можно заменить алгебраическим. Следовательно, имеем частный случай доказанной теоремы: сумма моментов двух сил, составляющих пару, относительно произвольной точки в плоскости пары равна моменту пары

 

 

 

 

M( P ) + M ( P ) = m( P,P ) .

(7.26)

Формула (7.26) отличается от (7.22) тем, что в нее входят величины моментов, тогда как в (7.22) входят векторы моментов.

7.5.7. Теорема 7.3 о проекции сил пары

Сумма проекций двух сил, составляющих пару, на какую либо ось равна нулю. Правильность этой теоремы очевидна, так как две силы пары параллельны, противоположно направлены и равны по модулю, а поэтому абсолютные величины их

128

проекций одинаковы, но противоположны по знаку.

Часто пару изображают в виде изогнутой стрелки с обозначением момента (рис. 7.18, а). Такое упрощенное изобра-

жение оправдано тем, что действие пары характеризуется ее моментом, и при определении опорных реакций, т. е. неизвестных внешних сил следует брать суммы моментов всех сил относительно какойлибо точки, а где приложены силы, составляющие пару на основании (7.26) значения не имеет. Но, если надо определить не внешние силы, а внутренние в разных сечениях балки, как это делается в сопротивлении материалов, то важно знать, где приложены силы пары. Например, внутренние силы для балок, изображенных на рис. 7.17, б и

7.17, в будут различными.

Рис. 7.18

Если силы пары приложе-

ны, как показано на рис. 7.18, в,

 

то пара и ее момент условно называют сосредоточенными.

Заделка - одна из часто встречающихся связей (опор). Пусть балка (рис. 7.19) имеет один свободный конец, а другой конец жестко заделан в стену. Такая балка называется

Рис. 7.19 одноопорной (консольной). Воздействие стены на балку состоит из ре-

активной сосредоточенной силы RA и реактивной пары сил, момент которой m А называют реактивным моментом, или мо-

129

Рис. 7.20

ментом в заделке. Реактивный момент в заделке вызван парой реакций и препятствует повороту балки, обеспечивая жесткость ее соединения со стеной. При решении задач, выгодно

 

 

 

 

 

 

 

 

 

 

изображать силу RA

в виде горизонтальной и вертикальной

 

 

 

 

 

 

 

 

 

составляющих сил:

R

A

X

A

Y

A

, из которых X

A

направлены

 

 

 

 

 

вдоль оси балки, а YA

- перпендикулярно этой оси. Поэтому

реакцию в заделке изображают так, как показано на рис. 7.19.

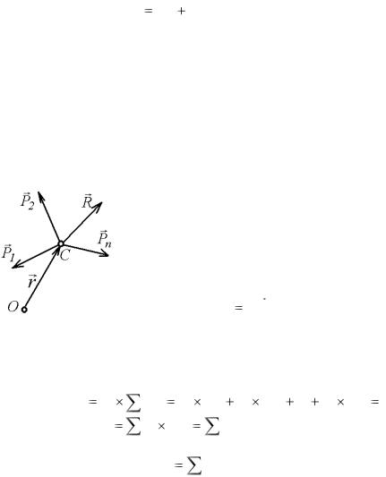
§ 7.6. Теорема Вариньона для сходящейся системы сил

Вектор момент равнодействующей системы сходящихся сил относительно произвольной точки равен сумме векторов моментов всех составляющих сил относительно той же точки.

Доказательство. Переносим все силы по их линиям действия в точку пересечения их линий действия С как в общую

точку приложения и находим равнодейст-

вующую всех сил R (рис. 7.20). Выбираем произвольную точку О и проводим

вектор -радиус r OC . У всех сил, вклю-

чая их равнодействующую R , векторра- диус будет одинаков. Используя свойства векторного произведения, а также форму-

лы (7.7) и (7.17) получаем

 

 

 

 

 

 

 

 

 

 

 

 

M0

( R ) ( r

Pk

) ( r P1 ) ( r P2

)

( r Pn )

 

 

 

 

 

 

 

 

 

 

 

 

 

 

 

( r Pk )

 

M 0

( Pk ),

 

 

 

 

 

 

 

 

 

 

 

 

 

 

 

 

 

 

M0 ( R )

M

0 ( Pk ) .

 

 

 

(7.27)

Если все сходящиеся силы расположены в одной плоскости и точка О (центр моментов) находится в той же плоскости,

130