Материал: Механика (статика). учебное пособие. Рябцев В.А

Внимание! Если размещение файла нарушает Ваши авторские права, то обязательно сообщите нам

рым также верны. Это значит, что условие необходимое должно быть и достаточным.

Иногда для объединения прямой и обратной теорем в одно утверждение вместо слов «необходимое и достаточное условие» пользуются словами «в том и только в том случае...» или словами «тогда и только тогда...».

Теорема 8.2. о равновесии произвольной системы сил.

Для равновесия произвольной системы сил необходимо и

достаточно, чтобы ее главный вектор V и главный момент

M0 относительно любой точки О были равны нулю.

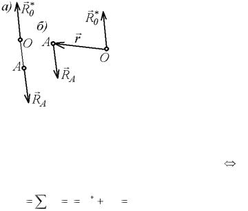
Доказательство необходимости. Пусть данная произ-

вольная система сил находится в равновесии. Нужно доказать,

что главный вектор V и главный

момент данной системы M0 равны

нулю. Доказательство основывается

на теореме, доказанной в предыду-

щем параграфе о том, что произ-

вольная система сил эквивалентна

 

 

*

 

 

, из которых

двум силам: R

и R

A

 

 

0

 

 

*

) приложена в любой зара-

одна ( R

 

0

 

 

 

 

 

Рис. 8.4

нее выбранной точке О, а главный

вектор и главный момент этих двух

 

сил соответственно равны главному вектору и главному мо-

 

 

 

 

 

 

*

,

 

 

)

 

0, а отсюда

менту данной системы сил. Поэтому ( R

 

R

A

 

 

 

 

 

 

 

0

 

 

 

 

 

 

 

 

на основании второй аксиомы (рис. 8.4, а):

 

*

 

 

 

. Поэто-

R

 

= - R

A

 

 

 

 

 

 

 

 

 

 

0

 

 

 

 

 

*

 

 

 

 

 

 

 

му V

P

R

R

A

0 . Так как

R

и R

A

лежат, соглас-

 

k

0

 

 

0

 

 

 

 

 

 

 

 

но второй аксиоме, на одном отрезке прямой АО, то

141

 

 

 

 

 

 

 

 

M 0 ( R0 ) M 0 ( RA ) 0

 

 

 

 

 

 

 

 

M0

 

M0 ( Pk )

M0 ( R0 )

M 0 ( RA ) 0 . Необходимое ус-

ловие доказано.

Доказательство достаточности. Пусть главный вектор произвольной системы сил и главный момент этой системы относительно точки О равны нулю:

 

 

 

V

Pk

0 ,

 

 

 

M0

M0 ( Pk ) 0 .

Требуется доказать, что система сил находится в равновесии. Пользуясь теоремой о приведении системы сил к двум

 

 

 

 

 

 

 

 

 

силам, получаем V

RA

RA . Поскольку V

0 ,

R0

= - RA .

 

 

 

 

 

 

 

 

 

Тогда силы R0

и

RA

образуют пару сил (см. § 7.5). Использу-

ем теперь условие равенства главного момента системы нулю:

 

 

 

 

 

 

 

 

M0

M0

( R0 )

M0

( RA )

0 . Поскольку R0

приложена в точ-

 

 

 

 

 

 

 

 

ке О,

M 0 ( R0 )

0 . Согласно (7.17), имеем M 0 ( RA )

 

 

 

0 . Векторное произведение двух векторов равно

( r

RA )

нулю или когда один из сомножителей равен нулю, или когда

 

 

 

перемножаемые векторы параллельны. Если RA = 0, то

R0

= -

 

 

 

RA = 0 и имеется равновесие, так как отсутствуют действующие силы. Если r = 0, то это означает (рис. 8.4, б), что точка А

совпадает с точкой О. Тогда обе силы, согласно второй аксио-

ме, находятся в равновесии. В случае, когда вектор r

паралле-

 

 

лен RA , это условие, учитывая, что | r | - ограниченная вели-

 

 

чина, может выполняться только тогда, когда силы R0 и RA

расположены на одной прямой. Отсюда вытекает существование равновесия. Теорема доказана.

142

Итак, получено необходимое и достаточное условие равновесия произвольной системы сил в виде двух векторных равенств:

 

 

 

 

 

 

V

Pk

0; M0

M0

( Pk ) 0 .

(8.3)

Для получения уравнений равновесия, аналогичных (8.3), в скалярной (координатной) форме, нужно спроецировать левые и правые части этих равенств на оси прямоугольной декартовой системы координат и затем использовать формулы

(7.10) и (7.25)

Vx= Pkx = 0, Vy= Pky = 0, Vz= Pkz = 0,

 

 

 

 

 

 

 

M Ox

npOx M 0

 

( Pk )

M x ( Pk

) 0 ,

 

 

 

 

 

 

 

 

M Oy

npOy M 0

( Pk )

M y ( Pk

) 0 ,

 

 

 

 

 

 

 

 

M Ox

npOz M0

( Pk )

M z ( Pk

) 0 .

 

Поскольку Pkx = Xk; Pky = Yk, Pkl = Zk, получаем

 

 

X k 0;

 

Yk 0;

Zk

0;

(8.4)

 

 

 

 

 

 

M x ( Pk ) 0;

 

M y ( Pk ) 0;

M z ( Pk ) 0.

 

Итак, для равновесия произвольной системы сил необходимо и достаточно, чтобы сумма проекций всех сил системы на каждую из трех координатных осей произвольно выбранной системы координат равнялась нулю и чтобы сумма моментов всех сил системы относительно каждой из этих осей также равнялась нулю. Рассмотрим частные случаи.

8.2.1. Система сходящихся сил.

Выберем начало координат в точке пересечения линий действия (схождения) сил. Тогда линии действия всех сил пересекают оси координат и, согласно формуле (7.23) (см. пояснения к этой формуле) моменты сил относительно этих осей

143

равны нулю. Три последние равенства (8.4) принимают вид тождеств. Поэтому

X k 0;

Yk 0;

Zk 0 .

(8.5)

Итак, для равновесия системы сходящихся сил необходимо и достаточно, чтобы сумма проекций всех сил на каждую из трех координатных осей равнялась нулю.

Если все сходящиеся силы расположены в одной плоскости, то, взяв оси Ox и Oy в плоскости сил, получим, что Zk = 0, т. е. проекция любой силы на ось Oz равна нулю. Поэтому третье уравнение (8.5) тождественно удовлетворяется и его использовать нельзя.

Итак, для плоской сходящейся системы сил условия равновесия сводятся к двум соотношениям

X k 0;

Yk 0 .

(8.6)

8.2.2. Теорема о трех силах Если твердое тело находится в равновесии под действием

трех непараллельных сил, расположенных в одной плоскости, то линии действия этих сил пересекаются в одной точке.

Доказательство. Перенося две пересекающиеся силы P1

и P2 по их линиям действия в точку О их схождения, как в точку приложения, и векторно складывая, получаем равнодей-

 

 

 

 

 

ствующую R12

 

P1

P2

, которая должна уравновешиваться

третьей силой

P3

. Следовательно, согласно второй аксиоме,

линия действия силы

 

должна проходить через точку схож-

P3

 

 

 

 

 

дения сил P1 и

P2 . Поэтому линии действия трех сил, находя-

щихся в равновесии, пересекаются в одной точке.

Использование теоремы о трех силах приведено в задаче

8.2.

144

8.2.3.Система параллельных сил, не лежащих

водной плоскости.

Проводим оси координат так, чтобы ось Oz была параллельна силам, а оси Ox и Oy были перпендикулярны силам. Тогда все силы проецируются на ось Oz в полную величину со знаком плюс или минус в зависимости от того, совпадает ли направление силы с направлением оси, или противоположно этому направлению. Проекции всех сил на оси Ox и Oy равны нулю. Также будут равны нулю и моменты всех этих сил относительно параллельной им оси Oz (см. (7.23)). Поэтому вместо

уравнений (8.4) получаем систему

 

 

 

 

Pk

0;

M x ( Pk ) 0;

M y ( Pk ) 0 . (8.7)

Итак, для равновесия системы параллельных сил, не лежащих в одной плоскости, необходимо и достаточно, чтобы сумма величин проекций этих сил на ось, параллельную этим силам, равнялась нулю и чтобы сумма моментов всех сил относительно каждой из двух координатных осей, лежащих в плоскости, перпендикулярной этим силам, также равнялась нулю.

8.2.4. Произвольная плоская система сил Выберем систему осей координат так, чтобы плоскость

(х, у) совпадала с плоскостью сил. Тогда проекции всех сил на ось Oz будут равны нулю: Zk = 0, и моменты всех сил относительно осей Ox и Oy также равны нулю, так как эти оси и силы лежат в одной плоскости. Согласно определению момента силы относительно точки (7.15) и момента силы относительно оси (7.23), в нашем случае момент силы относительно оси Oz совпадает с моментом этой силы относительно точки О - начала координат. Поэтому из уравнений (8.4) остаются три урав-

нения

 

 

 

 

X k 0;

Yk 0;

M0 ( Pk ) 0 . (8.8)

 

145