На рис. 2.40 приведены электромеханические характеристики и траектория колебаний скорости относительно тока (момента).
|
|
|
01 |
|
|
|
02 |
|
0 |
I |
|
MAX |
0,8UЯН
0,7UЯН
М I
Рис. 2.40. Электромеханические характеристики и траектория колебания скорости
2.5.6. Скачкообразное приложение статической нагрузки при пониженном напряжении якоря
На рис. 2.41 изображены переходные процессы
UВХ
,
дв
,
iдв |
при приложении скачка номинальной нагрузки при пониженном |
||
напряжении якоря. |
|
||
|
В момент t |
1 |
нагрузка возрастает скачком до номинального |
|
|
|
|
значения, при этом скорость двигателя дает статическую просадкус , характер формирования тока и скорости колебательный,
возникает перерегулирование по току якоря 1 .
93
На рис. 2.42 показана траектория колебания скорости относительно момента (тока) при приложении статической нагрузки скачком.
U,i , 
0,6UЯН
|
,% |
1 |
|
I |
|
СН |
|
UЯ
дв iдв
с
IС
t
t1
Рис. 2.41. Приложение скачка статической нагрузки при пониженном напряжении якоря

|
01 |
0,6UЯН |
1Н |
|
с |
|
|
|
|
|
М I
0 |
IСН IMAX |
94
Рис. 2.42. Электромеханическая характеристика двигателя и траектория колебаний скорости относительно тока (момента) якоря
2.6. Исследование переходных процессов в двигателе постоянного тока при двухзонном регулировании скорости
В данном разделе с помощью известной динамической математической модели ДПТ с НВ [2] исследуются основные режимы работы двигателя при двухзонном регулировании скорости:
-пуск двигателя на холостом ходу;
-наброс нагрузки во время разгона двигателя и сброс во время торможения.
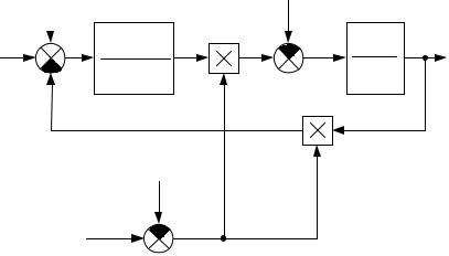
На рис. математической скорости.
UЯ
UЯ
2.43 представлена структурная схема модели ДПТ с НВ при двухзонном регулировании
|
|
|
|
|
|
|
|
|
М |
|
|
|
|
|
|
|
|
|
|
|
|
С |
|
|
|
|
1 / |
R |
|
i |
|
М |
Д |
М |
1 |
|
||
|
|
|
|
|
||||||||
|
|
|
|
Э |
|
Я |
|
|
ДИН |
|
|
|
|
|
|
|
|
|
|
|
|
|
|
||
Т |
Э |
р 1 |
|
|
|
|
J |
|
p |
|
||
|
|
|
|
|
|
|
||||||
|
|
|
|
|
|
|
|
|
|
|
|
|
|
Е |
|
|
|
|
|
|
|
|
|
|
|
|
|
Д |
|
|
|
|
|
|
|
|
|
|
Ф к
кФ
Рис. 2.43. Структурная схема математической модели ДПТ с НВ при двухзонном регулировании скорости
95
На рис. 2.44 представлены переходные процессы
UВХ
,
дв
,
i |
дв |
, |
кФ |
при пуске двигателя до максимальной скорости, работе и |
|
|
|
|
торможению на х/х.
U,кФ |
||
i |
, |
ДВ |
a |
|
|
кФН
кФН
UЯ
Iдин
0
|
двиг. |
|
|
|
|
|
|
|
|
режим |
|
Iдин
t1
кФ |
|
|
|
min |
|
|
0 |
мах |
|
||
IMAX
t |
2 |
t |
3 |
|
|
||
|
|
х / х |
|
t |
4 |
|
|
генерат. |
|
|
|
|
|
режим |
|
|
|
|
t
t |
5 |
|
Рис. 2.44. Переходные процессы U |
, |
, i |
дв |
, |
кФ |
ВХ |
дв |
|
|
|
при двухзонном регулировании скорости ДПТ с НВ
96
Участок времени от 0 до |
t |
1 |
: |
|
|
|
-разгон двигателя до скорости х/х поток двигателя номинальный;
-снижение потока до значения кФmin
приводит к увеличению тока якоря
перегрузочная способность двигателя с уменьшается;
динамическим током,
по линейному закону
до значения |
I |
MAX |
, |
|
|
|
|
уменьшением |
потока |
||
t |
1 |
|
- падение тока ( t |
1 |
) обусловлено тем, что в момент времени |
|
|
напряжение якоря достигло номинального значения и
установилось (перестало изменяться).
В статических электромеханических характеристиках пуск двигателя до максимальной скорости на х/х представлен на рис.
2.45.
|
|
,t |
|
0 |
мах |
|
Ф |
|
|
Н |
|
|
|
|
|
|
|
01 |
|
0 |
|
|
|
|
|
|
|
|
|
|
|
I |
|
|
|
|
|
|
|
|
|
|
Я |
0 |
I |
дин |
I |
MAX |
I |
ДОП |
2.5I |
H |
I |
К.З. |
|
||||||||||
|
|
|
|
|
|
Рис. 2.45. Электромеханические характеристики пуска двигателя до максимальной скорости на х/х
97