температура материала в слое
![]()
![]()
По площади кипящего
слоя
высоте
и порозности
определяем заполнение сушилки материалом
и среднее время
сушки материала.
![]()
![]()
![]()
![]()
Плотность пара значительно меньше плотности сухого газа, поэтому при расчете параметров псевдоожиженного слоя, гидравлического сопротивления воздуховодов и в некоторых других случаях следует плотность сушильного агента находить с учетом его влагосодержания.
Рассматривая
плотность влажного газа ρв.г.
как сумму плотностей абсолютно сухого
газа ρс.г.
и пара ρп,
взятых при их парциальных давлениях, а
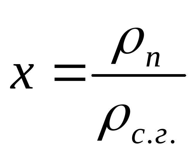
влагосодержание х
как соотношение
плотностей пара и воздуха (
)
получим расчетную формулу:
![]()
Парциальное давление сухого газа Рс.г. вычисляем как разность между общим давлением смеси Р и парциальных давлений пара Рп.
![]()
Парциальное давление пара Рп можно найти по дополнительному графику на I – х диаграмме в зависимости от величины влагосодержания х.
Плотность сухого газа при давлении Рс.г. и температуре t:
![]()
где
![]()
![]()
Поверхность
теплообмена
калорифера определяют по уравнению
теплопередачи:
![]()
где
общее количество теплоты, кВт;
средний температурный
напор, 0С;
коэффициент теплоотдачи

При этом температурные
напоры
и
на концах теплообменника рассчитывают
как разность температуры греющего пара
и температура воздуха при входе в
калорифер
или на выходе из него
![]()
![]()
![]()
![]()

тогда
![]()
Рекомендуемая
скорость воздуха 3…5 кг/м2·с.
Принимаем
По ГОСТ 7201-70 принимаем оребренный
калорифер средней модели №9.
Поверхность
теплообмена –
![]()
Живое сечение для
воздуха –
![]()
Размеры секций:
Длина – 200 мм
Ширина
– 880 мм
Высота – 1050мм
Находим необходимое число секций выбираем с 20% запасом по сравнению с расчетным:
![]()
Фактическое число секций принимаем 16 шт.
Секции калорифера устанавливают параллельно по ходу воздуха, так, чтобы получить в них рекомендуемую скорость воздуха, и последовательно по ходу воздуха, для набора необходимой поверхности теплообмена. Затем рассчитывают среднюю массовую скорость воздуха в калорифере:
![]()
где
расход абсолютно сухого воздуха,
.
площадь живого
сечения секций, включенных параллельно
по ходу воздуха,
![]()
![]()
Фактическая скорость воздуха:
![]()
Потери давления при проходе воздуха через секцию калорифера можно определить по формуле:
![]()
![]()
Сопротивление секций средней модели в 1,2 раза меньше, чем большой.
![]()
Сопротивление 16 секций 14.78 Па
Секции калорифера
устанавливают параллельно по ходу
воздуха, так, чтобы получить в них
рекомендуемую скорость воздуха, и
последовательно по ходу
воздуха
для набора необходимой поверхности
теплообмена. Затем рассчитываем среднюю
массовую скорость воздуха в калорифере:
![]()
где
расход абсолютно сухого воздуха, (кг/с)
площадь живого
сечения секций, включенных параллельно
по
ходу воздуха, м2.
![]()
Фактическая скорость воздуха:
![]()
Потери давления при проходе воздуха через секцию калорифера можно определить по формуле:
![]()
![]()
Сопротивление секций средней модели в 1,2 раза меньше, чем большой.
![]()
Сопротивление 16 секций составляет 147,8 Па.
Объемный расход газов Vг в системе пылеулавливания (без учета присосов воздуха) определяем по массовому расходу и параметрам сушильного газа на выходе из сушилки:
![]()
![]()
Рекомендуемый
расход газов qц
через
одиночный циклон НИИОГАЗ диаметром Dц
определяем из условия:
![]()
где
∆Рц – гидравлическое сопротивление циклона;
ρг – плотность газа, кг/м3
Принимаем
,
тогда
![]()
В этом случае:
![]()
где
ζц – коэффициент гидравлического сопротивления циклона, определяемый по условной скорости газа в цилиндрической части циклона.
Принимаем циклон НИИОГАЗ типа ЦН–15 с коэффициентом сопротивления ζц=105, Dц=400 ÷ 800 мм. Принимаем Dц=700 мм.
В этом случае:
![]()
Число циклонов должно соответствовать рекомендациям каталогов:
![]()
Принимаем количество циклонов равное 4 шт.
Техническая характеристика циклона НИИЩГАЗ ЦН-15
|
Угол наклона крышки входного патрубка |
150 |
|
Внутренний диаметр циклона |
700 мм |
|
Высота конуса циклона |
1400 мм |
|
Высота цилиндрической части циклона |
1582 мм |
|
Общая высота циклона |
3192 мм |
|
Наружный диаметр выхлопной трубы |
420 мм |
|
Высота выхлопной трубы |
1218 мм |
|
Высота внешней части выхлопной трубы |
210 мм |
|
Высота входного патрубка |
462 мм |
|
Ширина входного патрубка |
182 мм |
|
Длина входного патрубка |
420 мм |
|
Высота установки фланца |
200 мм |
|
Внутренний диаметр пылевыпускного отверстия |
250 мм |