При подаче теплоносителя по противоточной схеме:
1
250 690
4
90 00
![]()

![]()
т.к.
,
т.е.
,
тогда средний температурный напор
находим по формуле:
![]()
![]()
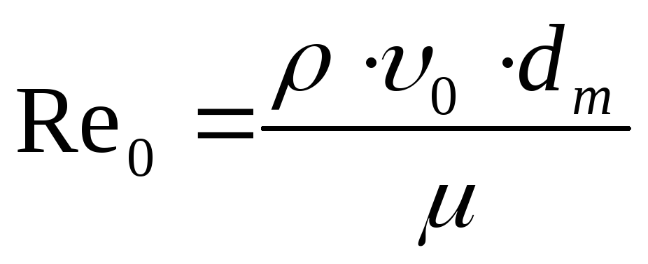
По среднему диаметру dт частиц, характером физических свойств влажного воздуха при средней температуре tср. (вязкость μ, плотности ρ) и плотность ρт материала вычисляют критерий Архимеда.
![]()
где
dт = 0,5 мм = 0,5·10-3 м;
ρт – плотность материала, ρт= 1500 кг/м3;(рис. VI [2])
ρ – плотность
воздуха (
)
μ – коэффициент динамической вязкости, μ=0,023·10-3 Па·с.
![]()
Принимаем величину порозности ε псевдоожиженного слоя в интервале 0,55 ÷ 0,75. Определяем критерий Рейнольдса Re.
![]()
учитывая,
что
,
находим фиктивную (отнесенную к полному
сечению) скорость υ0
сжижающего газа.
Принимаем ε =0,75
![]()
![]()
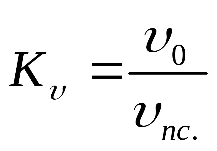
При сушке материала, близкого по составу к малодисперсному, определяем также критическую скорость псевдоожижения υпс. при ε = 0,4 и число псевдоожижения:
,
![]()
![]()
![]()
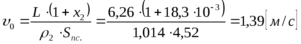
По расходу сухого газа через сушилку и скорости υ0 находим расчетную площадь Sпс. псевдоожиженного слоя и диаметр Dпс. сушилки в области псевдоожиженного слоя:
![]()
где
х2 и ρ2 – влагосодержание и плотность сушильного агента на выходе из
слоя, х2=18,3·10-3 кг/кг·с
![]()

![]()
Диаметр Dпс. сушилки округляем до стандартного по ГОСТ 9931 – 79.
Диаметр сушилки Dпс.=2400 мм;
Высота сушилки Нпс.=1600 мм.
Уточняем величину фиктивной скорости υ0 газа псевдоожиженного слоя, величину порозности слоя и расчетную площадь Sпс.:
![]()
.
Площадь Sр распределительной решетки примерно равна расчетной площади Sпс. псевдоожиженного слоя.
Живое сечение распределительной решетки находим по формуле:
![]()
где
φр – доля живого сечения решетки. Принимаем φр=0,04
![]()
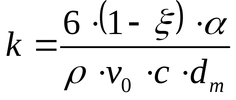
При большом свободном сечении решетки и малом ее сопротивлении распределения потока по сечению решетки будет неравномерным. Для удовлетворения распределения газового потока следует соблюдать определенное соотношение между сопротивлениями слоя и решетки. Минимально допускаемое гидравлическое сопротивление решетки может быть вычислено по формуле:

где
∆Рсп – сопротивление кипящего слоя, Па;
Кυ – число псевдоожижения;
ε
– порозность
неподвижного слоя.
Перепад давления в псевдоожиженном слое находим из условия равенства силы гидравлического сопротивления слоя весу всех его частиц:
![]()
где
Нпс. – высота кипящего слоя, м
При сушке кристаллических материалов Нпс кипящего слоя выбирают обычно не менее 250…300 мм. Чтобы предотвратить каналообразование, и не более 400…500мм, т.к. от высоты слоя непосредственно зависит перепад давления в нем и следовательно, расход электроэнергии на сушку материала.
На основе опыта эксплуатации установлены следующие расчетные соотношения, связывающие высоту псевдоожиженного слоя Нпс. и высоту зоны действия струи (зоны гидравлической стабильности) Нст. с диаметром отверстий распределительной решетки.
![]()
Принимаем Нпс=400 мм =0,4 м, тогда
![]()
Расчетную величину d0 округляем до размеров установленных
ГОСТ 8636 – 69. Принимаем d0=5 мм.
![]()
![]()
![]()
![]()
Долю живого сечения распределительной решетки подбираем так, чтобы ее сопротивление ∆Рр было примерно равно ∆Pmin.
Сопротивление распределительной решетки с кипящим слоем:

![]()
где
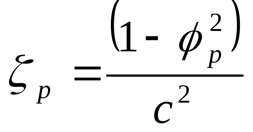
ζр – коэффициент гидравлического сопротивления решетки,
,
где
с – коэффициент зависящий от соотношения диаметра отверстий d0 и толщины решетки δ. Принимаем с=0,7.
![]()
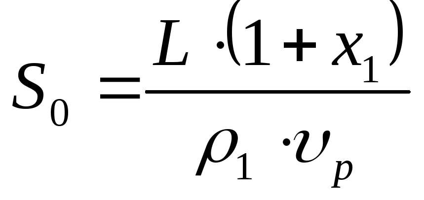
Принимаем ∆Рр ≈∆Рmin и определяем скорость газа υр:
![]()
Площадь живого сечения решетки S0, соответствующая этой скорости рассчитывается по формуле:
,
Для расчета конвективной теплоотдачи применяем эмпирические уравнения, которые устанавливают зависимость критерия Нуссельта, от критерия Рейнольдса:

.
где
υ – средняя скорость газа, м/с;
l – определяющий линейный размер, м;
λ – коэффициент теплопроводности, ВТ/м·К;
ν – кинематический коэффициент вязкости, м2/с;
т.к.
,
т.е.
,
тогда критерий Нуссельта вычисляем по
формуле:
![]()
где
порозность
псевдоожиженного слоя,
;
критерий
Прантля
![]()
Тогда коэффициент теплоотдачи будет равен:
![]()
![]()
Среднюю температуру сушильного агента находим по формуле:
![]()
где
температура материала рассчитанная
![]()
![]()
Находим температуру газа на выходе из псевдоожиженного слоя:
где
![]()
теплоемкость газа
![]()
и
температура газа на входе в слой и на
выходе из него;
где
ρ1 – плотность влажного воздуха (газа) при начальной температуре сушки t1 и влагосодержании х1.
![]()
Теперь находим φр:
![]()
Расчетную
величину
следует округлять до размеров,
установленных ГОСТ 6636-69
![]()
Число отверстий в решетке определяем по уравнению:
![]()
.
Принимаем шахматное расположение отверстий в распределительной решетке по углам равностороннего треугольников. В этом случае поперечный шаг l1 и продольный шаг l2 вычисляем по формулам:
![]()
![]()
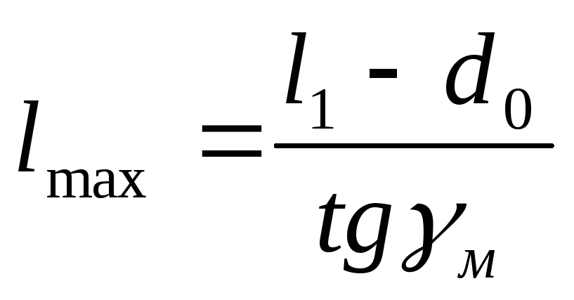
Для беспровальных перфорированных решеток, расстояние между верхней распределительной и нижней запирающей решетками:
,
где
γм – угол естественного откоса материала. Принимаем γм=40°
![]()