Материал: курсяк ПОС

Внимание! Если размещение файла нарушает Ваши авторские права, то обязательно сообщите нам

3. Построение на диаграммеI–х процесса сушки воздухом

На диаграмме состояние атмосферного воздуха изображается точкой А, состояние горячего воздуха на входе в сушилку – точкой В. Прямая АВ характеризует процесс нагрева воздуха в калорифере.

Точку А на диаграмму наносят по значениям и относительной влажности . Для зимних условий (при отрицательной температуре) рекомендуется использовать параметры и . Влагосодержание воздуха рассчитывают по уравнению:

где давление насыщенного водяного пара, при темперетуре ;

(табл. 2.5. [3]).

общее давление влажного воздуха;

относительная влажность

Энтальпию определяем по формуле:

где температура и влагосодержание окружающего воздуха

удельная теплота парообразования и теплоемкость воздуха

и пара.

Точка В с параметрами находят из условия равенства на пересечении вертикальной линии АВ с заданной изотермой .

Состояние воздуха на выходе из сушилки изображается на диаграмме точкой С с параметрами . Так как величина заранее неизвестна, находят сначала точку D (с параметрами ) на пересечении линии постоянной энтальпии с заданной изотермой и откладывают по вертикали величину до точки E. Линия ВЕ совпадает по направлению с линией действительного процесса сушки. Ее пересечение с изотермой определяет положение точки С.

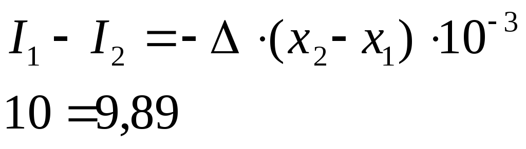
Для проверки подлинности построения необходимо убедиться в том, что разность энтальпий и при влагосодержании соответствует величине, рассчитанной по формуле:

где внутренний баланс сушильной камеры

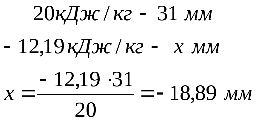
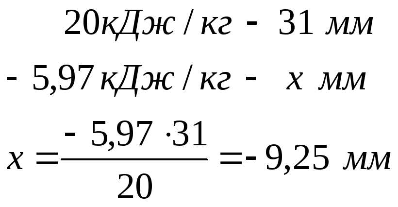
Построение на диаграмме проводим для зимних и летних условий.

Зима

Лето

Проверка

Проверка

4. Расчет расхода воздуха на сушку

Массовый расход абсолютно сухого воздуха (в составе сушильного агента) рассчитываем, используя результаты построения процесса сушки на I – х диаграмме:

Массовый расход влажного газа Lвл.г. определяем в зависимости от его влагосодержания х2:

Зима

Лето

Расход греющего пара в калорифере при сушке воздухом рассчитывают по уравнению теплового баланса:

где удельная теплота парообразования, соответствующая заданному давлению греющего пара (табл LVII [2]).

Зима

Лето

5. Расчет рабочего объема сушилки

Размеры сушилки в значительной степени зависят от интенсивности тепломассообменных процессов. Лишь при сушке в кипящем слое решающее значение приобретают условия псевдосжижения.

Общее количество теплоты, затрачиваемой в процесс сушки за 1 секунду, определяют по формуле:

Вычитая из него тепловые потери на нагрев транспортных устройств и в окружающую среду, можно найти количество теплоты передаваемое высушиваемому материалу в рабочем объеме сушилки за 1 секунду.

; т.к. нет транспортирующих устройств

Лето

Зима

Т.к. расчетные данные по зиме больше чем по лету, то дальнейшие расчеты ведем по зиме.

Для расчета величины находим температурные напоры на входе сушильного агента в сушилку и на выходе из нее:

где и температуры сушильного агента соответственно на входе в сушилку и

на выходе из нее.

В большинстве случаев допускается принимать температуру материала равной температуре мокрого термометра , которую находят с помощью диаграммы I – х по параметрам сушильного агента на входе и выходе из сушилки.