Материал: ГИДРАВЛИаЧАСТЬ 1

Внимание! Если размещение файла нарушает Ваши авторские права, то обязательно сообщите нам

2.10. Гидравлические струи

Гидравлические струи представляют собой потоки жидкости или газа, неограниченные твердыми стенками, и делятся на затопленные и незатопленные.

Затопленная струя возникает при истечении жидкости (газа) в среду со свойствами, близкими к свойствам струи, например: струя воздуха в воздухе; струя газа, вытекающего из сопла реактивного двигателя в воздух; струя воды в воде.

Незатопленные струи образуются при истечении жидкостей в газовую среду или газа в жидкость, т. е. когда физические свойства струи и среды сильно различаются.

2.10.1. Незатопленные струи

Незатопленные струи применяются в различных отраслях промышленности. В пищевых производствах они используются в устройствах для мойки оборудования. В этом случае струя должна быть компактной и обладать большой кинетической энергией.

При охлаждении теплой воды путем испарения стараются, наоборот, получить распыленную струю. Вид струи будет зависеть от конструкции форсунки, из которой происходит истечение.

Истечение жидкости из центробежной форсунки, предназначенной для распыления жидкости, будет рассмотрено в следующем разделе. Здесь же остановимся на взаимодействии компактной струи с твердой преградой.

Воздействие струи на твердую преграду

Преграда неподвижна. Рассмотрим поверхность произвольной формы (рис. 2.59). Струя движется со скоростью и наталкивается на преграду. Необходимо найти силу активного давления струи на преграду.

II

II

I

I

II

II

v

v

v0

Рис. 2.59. Схема взаимодействия свободной струи

с неподвижной твердой преградой

Для решения задачи используем теорему об изменении количества жидкости, заключенной между сечениями I–I и II–II. Составим проекцию на ось струи изменения количества движения за время и приравняем ее к импульсу искомой силы. Потерей энергии при движении жидкости от сечения I–I до II–II пренебрегаем. В этом случае можно считать , т. е. поток разделяется на две равные части. Тогда уравнение изменения количества движения можно представить в виде

Откуда следует

Так как – есть массовый расход , где – объемный расход, то

Если струя ударяется в вертикальную поверхность (рис. 2.60), т. е. , тогда

.

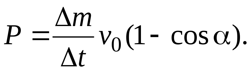
При развороте струи на 180 (рис. 2.61) и

.

v0

v0

Рис. 2.60. Схема взаимодействия Рис. 2.61. Схема взаимодействия

свободной струи с неподвижной свободной струи с неподвижной

вертикальной плоскостью криволинейной поверхностью

Преграда движется со скоростью (рис. 2.62). В рассматриваемом случае сила будет обусловливаться относительной скоростью движения струи и преграды , тогда

.

Реактивная сила струи. Рассмотрим истечение жидкости из сосуда под напором (рис. 2.63). Будем считать, что жидкость в сосуде неподвижна. Изменение количества движения за 1с выразится уравнением

.

Отсюда

.

Так как , то .

v0

u0

u0

u

I

I

II

II

v0

Рис. 2.62. Схема взаимодействия Рис. 2.63. К определению

свободной струи с движущейся реактивной силы струи

преградой

Таким образом, реактивная сила направлена в сторону, противоположную направлению движения струи, и в два раза больше силы, обусловленной гидростатическим давлением

2.10.2. Затопленные струи

Движение затопленных струй теоретически и экспериментально изучалось Г. Н. Абрамовичем. На рис. 2.64 изображены схема затопленной струи и поле скоростей по ее сечению и длине.

θ

A

0

Рис. 2.64. Схема затопленной струи

Согласно схеме, струя состоит из ядра, уменьшающегося вдоль координат от до в точке А. Расстояние от отверстия до точки А называется начальным участком струи. Вокруг ядра образуется заторможенная область, расширяющаяся по ходу движения жидкости. Принято считать, что профиль скорости в ядре постоянен. Скорость в заторможенной области меняется от нуля на внешней границе струи до скорости на ее оси. Угол раскрытия струи рассчитывается по уравнению

,

где – постоянная, находится экспериментально. Для воздуха, вытекающего из круглого отверстия, 0,07÷0,08. Таким образом, угол раскрытия есть величина постоянная, не зависящая от расхода газа.

Полюсное расстояние

.

Длина начального участка

.

Диаметр струи на любом расстоянии от отверстия

.

Скорость на оси струи

где – скорость истечения из отверстия.

При истечении струи воды в воду

где

Вопросы для самоконтроля

1. Какие струи встречаются в природе и где используются струйные течения?

2. От чего зависит сила взаимодействия струи с твердой преградой?

2.11. Течение со свободной поверхностью

До сих пор предметом нашего изучения было напорное движение жидкостей. Отличительной особенностью решения задач, связанных с напорным движением, является пренебрежение влиянием силы тяжести на распределении локальных скоростей в потоке. При течении со свободной поверхностью влияние силы тяжести на характер движения становится определяющим, и градиентом давления вдоль потока в большинстве случаев можно пренебречь.

Примером безнапорного движения может служить течение жидкостей в открытых руслах, в не полностью заполненных трубах (канализационные системы), по поверхности в виде пленки и т. п. Последний случай особенно интересен для пищевой промышленности, так как пленочное течение достаточно широко распространено и ему следует уделить особое внимание, тем более что в классическом курсе гидравлики оно, как правило, не изучается.

В качестве примеров приведем пленочное течение в трубах выпарных аппаратов, оросительных конденсаторах и охладителях, в абсорберах и т. п.

Основная задача заключается в определении расхода жидкости через аппарат. Для этого необходимо найти уравнения, описывающие распределение локальных скоростей по сечению пленки, ее толщи- ну и среднюю скорость . Прежде чем перейти к решению поставленных задач, приведем некоторые понятия и определения, характерные для пленочного течения.

Объемная плотность орошения – отношение объемного расхода к смоченному периметру:

, (2.259)

откуда

. (2.260)

С учетом равенства (2.260) пленочный критерий в уравнениях (2.125) примет вид

. (2.261)