Материал: ГИДРАВЛИаЧАСТЬ 1

Внимание! Если размещение файла нарушает Ваши авторские права, то обязательно сообщите нам

2.8.1. Уравнение Бернулли для неустановившегося движения

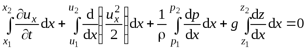
Вывод уравнения основан на равенстве (2.74). Приняв движение одномерным вдоль оси и потенциальным , получим

. (2.235)

Умножив равенство (2.235) на , запишем его в виде суммы интегралов:

. (2.236)

Разделив уравнение (2.236) на и опустив индекс «» при скорости, получим

.

После интегрирования слагаемых следует

. (2.237)

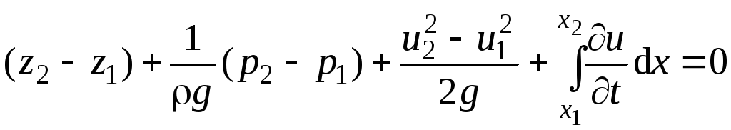
Уравнение (2.237) называется уравнением Бернулли для неустановившегося движения идеальной жидкости.

В уравнение для реальной среды должно войти слагаемое, учитывающее потери на гидравлическое трение. Заменив локальные скорости на средние, запишем

, (2.238)

где – инерционный напор.

Приняв и , получим из уравнения (2.237)

где – длина трубопровода.

Инерционный напор не связан с диссипативными силами. Он выражает обратимые преобразования энергии. Для ускоренного движения , для замедленного – .

При движении жидкости в трубопроводе появление инерционных сил, связанных с изменением скорости движения во времени, приводит к изменению давления. С практической стороны нас больше всего интересует расчет приращения давления при постепенном и мгновенном перекрытии трубопровода.

2.8.2. Постепенное перекрытие трубопровода

Рассмотрим для примера трубопровод, который перекрывается задвижкой за время (рис. 2.54). При и , опустив индексы, запишем

(2.239)

где − избыточное давление перед задвижкой.

Из уравнения (2.198) скорость движения жидкости в данный момент

, (2.240)

где .

Из совместного решения уравнений (2.239) и (2.240) следует

. (2.241)

Рис. 2.54. Схема к определению изменения давления

при перекрытии трубопровода

Если задан закон изменения коэффициента расхода , то интегрирование уравнения (2.241) дает возможность рассчитать процесс торможения жидкости в трубе.

В целях решения задачи, связанной с повышением давления в трубопроводе при постепенном его перекрытии, примем некоторые упрощенные условия:

− стенки трубы и жидкость не обладают упругостью;

− скоростным напором и гидравлическими потерями пренебречь;

− закон изменения во времени линейный, т. е.

(2.242)

где и − коэффициенты расхода в начале и конце закрытия (при полном закрытии ); − время закрытия.

С учетом принятых допущений уравнение (2.239) примет вид

. (2.243)

Так как при закрытии , то

и . (2.244)

Из уравнения (2.240) следует

.

В начальный момент времени в трубопроводе имело место установившееся течение и, согласно уравнению (2.198),

,

где − начальная скорость жидкости.

По окончании закрытия течение вновь станет установившимся со скоростью

.

Отношение текущей скорости к начальной

. (2.245)

В уравнении (2.242) отношение

. (2.246)

Из совместного решения уравнений (2.242), (2.245) и (2.246) следует

. (2.247)

В конечном итоге нас интересует максимальная величина напора, которой соответствует значение . Максимум инерционного напора найдем из условий .

Дифференцируя уравнение (2.247) по времени, получим после преобразования

, (2.248) где .

Из уравнений (2.244) и (2.248) следует, что максимальное давление

.

2.8.3. Мгновенное перекрытие трубопровода

При мгновенном перекрытии трубопровода происходит резкая остановка жидкости, и ее кинетическая энергия переходит в потенциальную, вследствие чего возникает резкое повышение давления, называемое гидравлическим ударом.

Если бы жидкость была абсолютно несжимаемой, то она остановилась бы в трубе вся сразу. В действительности остановка происходит послойно. Поэтому при гидравлическом ударе условия отсутствия сжимаемости среды и деформации стенки трубы становятся неприемлемыми.

Рассмотрим сущность явления гидравлического удара. Предположим, что в напорном трубопроводе жидкость движется со средней скоростью и задвижка, расположенная на расстоянии от резервуара, мгновенно перекрыла трубопровод (см. рис. 2.54). В результате остановки движения произойдет резкое повышение давления в трубе вследствие перехода кинетической энергии остановившихся слоев в потенциальную энергию сжатой жидкости. При этом давление в первую очередь увеличивается непосредственно у задвижки; затем по мере остановки последующих слоев увеличение давления будет быстро распространяться вверх по трубопроводу, создавая волну повышенного давления. Повышение давления, распространяясь вверх по трубопроводу, вызывает сжатие жидкости и растяжение стенок трубы. Такая упругая деформация жидкости и трубы происходит со скоростью распространения давления по длине трубы.

Скорость распространения упругих деформаций называется скоростью распространения ударной волны. После того как остановится последний слой жидкости (во входном сечении трубы), давление у задвижки достигает максимального значения и вся жидкость в трубопроводе будет сжата. Так как в этот момент давление в резервуаре будет меньше давления в трубопроводе, то жидкость, находящаяся в трубе, придет в движение по направлению к резервуару. В результате произойдет резкое понижение давления в трубопроводе. Понижение давления, распространяющееся по направлению к задвижке, называется обратной ударной волной. Время пробега прямой и обратной ударных волн составляет длительность фазы гидравлического удара . Когда давление снизится во всем трубопроводе, жидкость остановится, находясь под пониженным давлением. Так как давление в резервуаре вновь оказалось выше давления в трубопроводе, то жидкость начнет обратное движение к задвижке, поэтому снова произойдет прямой гидравлический удар. Для него характерно меньшее повышение давления, так как часть энергии потока была диссипирована в предыдущей фазе гидравлического удара. За прямой ударной волной последует обратная, и т. д. На рис. 2.55 показан типовой вид изменения давления возле задвижки при гидравлическом ударе. Ударное давление при первом прямом гидравлическом ударе может значительно превышать статическое давление в трубопроводе.

Для решения задачи по определению приращения давления при гидравлическом ударе воспользуемся более простым методом, основанным на теории механики: изменение количества движения массы жидкости во времени равно импульсу равнодействующих сил, действующих на эту массу.

Решение выполним без учета деформации стенки трубопровода. Рассмотрим процесс остановки за бесконечно малый промежуток времени , за который остановится объем жидкости , заключенный между сечениями I−I и II−II. В данный момент времени в сечении I−I и . В остановившемся объеме давление возросло на величину

Рис. 2.55. Изменение давления во времени при гидравлическом ударе

Согласно теореме об изменении количества движения, импульс равнодействующей силы, действующей на объем , равен изменению количества движения, т. е.

, (2.249)

где , здесь − длина остановившегося слоя; − площадь сечения трубы,

.

Преобразуя уравнение (2.249), получим , откуда

, (2.250)

где − скорость распространения ударной волны.

Подставляя в равенство (2.250), запишем

. (2.251)

Зависимость (2.251) называется уравнением Н. Е. Жуковского.

Скорость распространения ударной волны зависит от упругих свойств среды и материала стенки и может быть рассчитана по уравнению

, где − модуль объемного сжатия жидкости; − диаметр трубы; − толщина стенки; − модуль упругости материала стенки.

Уравнение (2.251) пригодно для расчета при условии , т. е. когда имеет место прямой гидравлический удар. В противном случае, при , повышение давления не будет достигать значения , вычисленного по формуле (2.251), так как к закрываемому затвору через промежуток времени будут прибывать отраженные от резервуара отрицательные ударные волны. Накладываясь на волны, продолжающие образовываться у закрываемого затвора, они будут снижать значение . Такой гидравлический удар называется непрямым.