Для непрямого удара повышение давления можно определить по формуле
.
В целях предотвращения появления гидравлических ударов не рекомендуется применять быстродействующие запорные устройства либо использовать для гашения удара воздушные колпаки, предохранительные клапаны и т. п.
Вопросы для самоконтроля
1. Приведите примеры неустановившегося движения жидкостей.
2. В чем заключается опасность гидравлического удара при внезапной остановке жидкости?
3. Как рассчитать повышение давления при гидравлическом ударе?
4. Что такое фаза гидравлического удара?
В качестве примеров гидравлического метода измерения расхода жидкостей рассмотрим наиболее часто встречающиеся типы расходомерных устройств: диафрагмы, трубы Вентури и ротаметры.
Работа устройств двух первых типов основана на измерении перепада давления в местах сужения потока.
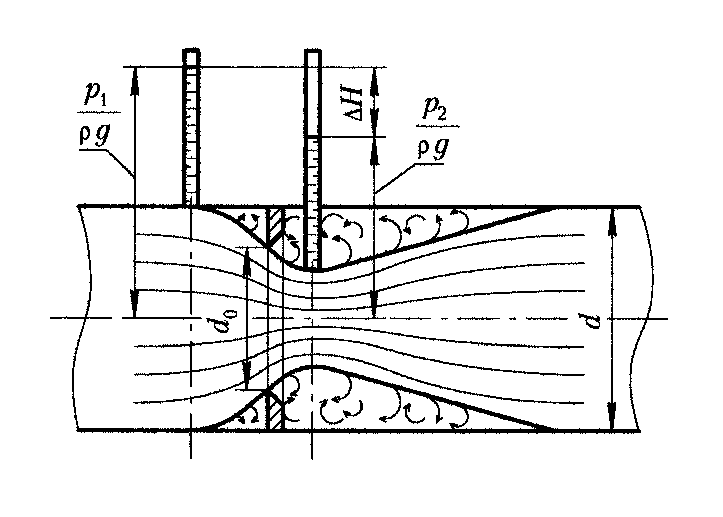
Диафрагма представляет собой тонкую
пластинку с отверстием посредине,
располагаемую в трубопроводе нормалью
к вектору средней скорости (рис. 2.56). При
течении жидкости через отверстие
происходит сжатие потока от сечения
отверстия
до
в зоне наибольшего сужения и падение
давления от
до
.
Задача заключается в нахождении
зависимости расхода жидкости от падения
напо-
ра
.
В целях ее решения составим уравнение
Бернулли для сечения I и
II:
. (2.252)
Согласно рис. 2.56,
. (2.253)
Из уравнения неразрывности
.
Учитывая, что коэффициент сжатия
,
а
и
,
из уравнений (2.252) и (2.253), получим
,
откуда
, (2.254)
где
– коэффициент расхода диафрагмы.
При турбулентном режиме течения можно
принять
![]()
Коэффициент сопротивления диафрагмы
зависит от отношения диаметров отверстия
и трубопровода
и определяется экспериментально.
Уравнение (2.254) обычно приводится к более простому виду
![]()
где
– коэффициент дроссельного прибора
при турбулентном режиме течения (при
)
и заданном значении
есть величина постоянная и находится
опытным путем.
I
I
II
II
g
g


Рис. 2.56. Схема диафрагмы
Положительная сторона диафрагмы заключается в простоте конструкции. Однако она имеет значительное гидравлическое сопротивление, вызванное наличием застойных зон до и после диафрагмы, где возникают вихревые движения жидкости, которые и являются причиной высоких гидравлических потерь. Если избежать образования застойных зон, то потери напора могут быть снижены. Такие условия наблюдаются в трубах Вентури.
Труба Вентури, или двухконусный водомер, представляет собой трубу переменного сечения, состоящую из двух частей – конфузорной и диффузорной (рис. 2.57).
Отсутствие застойных зон и пренебрежение потерями напора по длине на участке между сечениями I–I и II–II позволяет записать уравнение Бернулли в упрощенной форме:
,
откуда
. (2.255)
II
II
I
I
g
g
Рис. 2.57. Схема водомера Вентури
С учетом того, что
и
,
а также
,
из уравнения (2.255) следует
,
где
– коэффициент расхода водомера;
![]()
Коэффициент расхода водомера Вентури близок к единице.
Ротаметр представляет собой
вертикально расположенную трубку,
конусную внутри (рис. 2.58). В трубке имеется
поплавок, на который при движении
жидкости действуют три силы: лобового
сопротивления Т, тяжести
и подъемная
![]()
Сила лобового сопротивления будет определяться перепадом давления до и после поплавка, т. е.
,
где
– площадь лобового сечения поплавка в
широкой его части.
Рис. 2.58. Схема ротаметра
Подъемная сила
,
где
– объем поплавка.
Для любого определяемого значения расхода жидкости поплавок занимает положение, при котором наступает равновесие сил:
. (2.256)
Разность давлений
найдем из уравнения Бернулли, составленного
для сечений I–I
и II–II:
, (2.257)
где
– коэффициент сопротивления кольцевого
зазора между поплавком и трубкой.
Выразив
через
и выполнив несложные преобразования,
приведем уравнение (2.257) к виду
.
Подставив полученное выражение в уравнение (2.256), получим
, (2.258)
где
– коэффициент расхода ротаметра,
;
для
предварительных расчетов
=
0,62.
Вопросы для самоконтроля
1. Какие методы измерения расхода жидкостей и газов вам известны и на чем они основаны?
2. Каково преимущество водомера Вентури перед диафрагмой и каковы его недостатки?
3. От чего зависит расход жидкости или газа через ротаметр?