При стекании пленки жидкости по
поверхности могут наблюдаться три
режима течения: ламинарный, волновой и
турбулентный. Ламинарный режим имеет
место при
;
турбулентный, по разным источникам при
1200÷1600,
можно принять ориентировочно
.
Тогда волновой режим будет существовать
при
.
Теория гидродинамики стекающих пленок подробно рассмотрена в работе В. Н. Соколова и И. В. Доманского [9]. Их методики и будем придерживаться в дальнейшем.
Ламинарный режим течения пленки.
Рассмотрим течение пленки жидкости по
поверхности, наклоненной под углом
к горизонту (рис. 2.65).
Направление движения – вдоль оси
;
ось
направлена нормалью к поверхности.
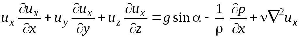
Движение стационарное, жидкость
несжимаемая. Уравнение Навье–Стокса
(2.45) применительно к поставленной задаче
примет вид
.
(2.262)

Рис. 2.65. Распределение скорости у твердой стенки
при течении жидкости со свободной поверхностью
Для пленочного течения граничные условия записываются в виде
при
; (2.263)
,
(2.264)
где
− касательные напряжения на внешней
границе пленки (возникают в том случае,
если относительно пленки движется газ
(пар));
при противоточном движении жидкости и
газа (пара) и
при движении их в одном направлении.
Вопросы совместного движения жидкости и газа (пара) будут рассмотрены в разд. 3, здесь же ограничимся рассмотрением течения однофазной жидкости.
Если принять условие
,
то с учетом уравнения неразрывности
(2.25) уравнение (2.262) примет вид
.
(2.265)
Интегрируя дважды уравнение (2.265) при
условии
получим
.
(2.266)
Постоянные интегрирования
и
найдем
из граничных условий
,
,
тогда
;
,
,
тогда
.
(2.267)
С учетом значений
и
уравнение (2.266) примет вид
.
(2.268)
Объемную плотность орошения, с учетом выражения (2.268), представим в виде интеграла
.
(2.269)
После интегрирования уравнения (2.269) получаем
.
(2.270)
Средняя скорость течения пленки
.
(2.271)
Подставив в уравнение (2.271) значение
из уравнения (2.268) и проинтегрировав
его, запишем
.
(2.272)
Максимум скорости найдем из уравнения
(2.268) при условии
:
.
(2.273)
Из уравнений (2.272) и (2.273) следует, что
(2.274)
т. е. отношение скоростей оказалось таким же, как было в плоском канале.
Толщину пленки, при заданной плотности орошения найдем из уравнения (2.270)
.
(2.275)
Волновой режим течения пленки. Данный режим является переходным от ламинарного режима к развитому турбулентному. Началом волнообразования считается условие
.
(2.276)
Толщина пленки при волновом режиме была теоретически определена П. Л. Капицей. Для вертикальной поверхности
.
(2.277)
Сравнение уравнений (2.275) и (2.277) показывает, что при волновом режиме пленка лишь на 7 % тоньше, чем при ламинарном.
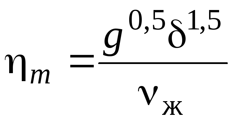
Турбулентный режим течения пленки.
Задачу по нахождению толщины пленки,
следуя работам В. Н. Соколова и И. В.
Доманского, решим полуэмпирическим
методом, применив модель распределения
турбулентных пульсаций (2.191). Для этой
цели приведем уравнение (2.269) к безразмерному
виду, используя универсальные координаты
и
:
,
(2.278)
где
− безразмерная толщина пленки,
.
(2.279)
Интегрирование уравнения (2.278) с учетом (2.191) дает
![]()
(2.280)
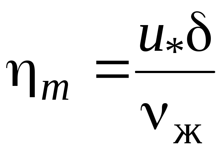
Динамическую скорость находим из уравнения (2.168), считая, что касательные напряжения уравновешиваются для однофазного потока силой тяжести пленки, т. е.
,
(2.281)
тогда
,
(2.282)
а
.
(2.283)
Толщину пленки можно найти путем подстановки уравнения (2.279) в (2.283)
.
(2.284)
Дальнейший путь определения
следующий: по заданной плотности орошения
из уравнения (2.280) находим значение
и далее по уравнению (2.284) значение
.
Задачу облегчают аппроксимацией уравнения (2.280) более простым выражением
.
(2.285)
Подстановка зависимости (2.285) в (2.284) дает выражение
,
(2.286)
справедливое при
.
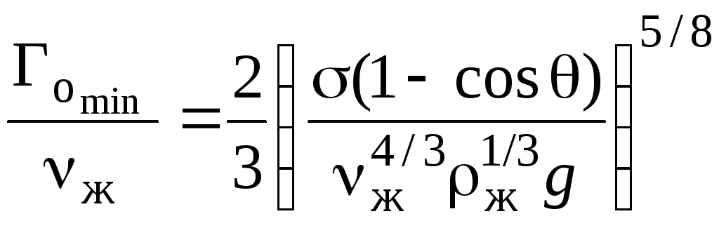
Выбор плотности орошения. Плотность
орошения должна быть такой, чтобы вся
поверхность смачивалась жидкостью,
т. е. она должна быть выше некоторого
минимального значения
.
Для обеспечения надежной работы аппарата,
независимо от режима его работы, расчет
можно производить по формуле
,
(2.287)
где
− угол смачивания жидкостью сухой
поверхности.
Вопросы для самоконтроля
1. В чем заключается отличие течения жидкости с открытой поверхностью от напорного?
2. Что такое объемная плотность орошения?
3. Какие режимы течения пленки встречаются в природе?
4. От чего зависит толщина пленки?
Под многофазными понимаются системы, внутри которых имеется поверхность раздела фаз, в общем случае изменяющаяся во времени и пространстве.
Многофазные системы состоят из сплошной и дисперсной фаз. Дисперсной считается та фаза, которая распределена в сплошной в виде отдельных объемов (пузырьков, капель, твердых частиц).
Примерами наиболее часто встречающихся в пищевой технологии многофазных систем могут служить двухфазные системы газ (пар)–жидкость, жидкость–жидкость, газ–твердое, жидкость–твердое. Рассмотрим области применения указанных систем в некоторых пищевых производствах.
Система газ–жидкость. Чаще всего данная система используется в процессах абсорбции газов, реже при перемешивании жидкостей газом.
Абсорбцией называется процесс растворения газов в жидкостях. В пищевой промышленности следует отметить следующие производства, где абсорбционные процессы играют наиболее важную роль в общетехнологической цепи.
Пивобезалкогольная промышленность.
Производство многих безалкогольных
напитков, пива, шипучих вин связано с
обязательным насыщением их диоксидом
углерода. От качества газирования
зависят вкус, аромат, пенистость и
игристость напитков. Газирование
напитков (в зарубежной литературе часто
встречается название «карбонизация»)
протекает либо в изотермических условиях,
когда в предварительно охлажденный
продукт подается
,
либо при переменной температуре в
процессе охлаждения напитка. И в том и
другом случае при гидравлическом расчете
абсорбера (карбонизатора) необходимо
учитывать наличие двух фаз.
Микробиологическая отрасль. В
производстве хлебопекарных дрожжей,
лимонной кислоты и некоторых других
пищевых продуктов основным процессом
является аэробное культивирование
микроорганизмов. Для обеспечения клеток
кислородом через культуральную среду
барботируется воздух в количестве до
100 м
/ч
на 1 м
среды. Процесс ведется при условиях,
обеспечивающих максимальную скорость
растворения кислорода в культуральной
жидкости.
Масложировая промышленность. При
производстве натуральных олиф основным
процессом является окислительная
полимеризация растительных масел,
осуществляемая в специальных реакторах
при температурах 130–160
С.
Окисление производится кислородом
воздуха, пропускаемого через слой масла
в виде пузырьков.
При производстве саломасов, промежуточного продукта, применяемого для производства маргариновой продукции, различных консистентных смазок, парфюмерных кремов важным этапом является гидрогенизация жиров.
Гидрогенизация – химический процесс
присоединения атомов водорода к
ненасыщенным жирным кислотам,
осуществляется при интервале температур
160–230
С
продувкой водорода через слой масла.
Как при окислительной полимеризации,
так и при гидрогенизации лимитирующим
фактором считается скорость растворения
водорода в жидкой среде. Интенсификация
процесса достигается путем изменения
гидродинамической обстановки в реакторе.
Система пар–жидкость. Парожидкостные потоки возникают в тех случаях, когда температура жидкости поднимается до температуры кипения при заданном давлении либо когда давление при заданной температуре становится равным давлению насыщенных паров жидкости.
Первый случай имеет место в кипятильных трубах выпарных аппаратов при производстве сгущенных пищевых жидкостей (молока, томатной пасты, фруктовых пюре и т. п.), в испарителях и конденсаторах холодильных машин и паросиловых установок.