Материал: Экономический анализ финансовой деятельности предприятия

Внимание! Если размещение файла нарушает Ваши авторские права, то обязательно сообщите нам

Себестоимость продукции рассчитывается по формуле:

С/Б=МЗ+З/П+А+ПР, (34)

где С/Б - себестоимость продукции;

МЗ - материальные затраты;

З/П - заработная плата;

А - амортизация;

ПР - прочие затраты.

Динамика и структура затрат представлена в таблице 23.

Таблица 23. Динамика и структура затрат.

показатели

предыдущий период

отчетный период

изменения


тыс.руб

уд.вес, %

тыс.руб.

уд.вес, %

тыс.руб.

Отн,%

уд.вес, %

себестоимость

88500

100

90130

100

1630

101,84

1,00

В том числе: материальные затраты

43365

49

40558,5

45

-2806,5

93,53

0,92

зарплата с начислениями

19470

22

20729,9

23

1259,9

106,47

1,05

амортизация

4425

5

5407,8

6

982,8

122,21

1,20

прочие

21240

24

23433,8

26

2193,8

110,33

1,08



Факторный анализ себестоимости:

)        С/Бпл=МЗпл+З/Ппл+Апл+ПРпл

С/Бпл=43365+19470+4425+21240=88500

)        С/Бмз=МЗф+З/Ппл+Апл+ПРпл

С/Бмз=40558,5+19470+4425+21240=85693,5

)        С/Бз/п=МЗф+З/Пф+Апл+ПРпл

С/Бз/п=40558,5+20729,9+4425+21240=86953,4

)        С/Ба=МЗф+З/Пф+Аф+ПРпл

С/Ба=40558,5+20729,9+5407,8+21240=87936,2

)        С/Бф=МЗф+З/Пф+Аф+ПРф

С/Бф=40558,5+20729,9+5407,8+23433,8=90130

)        С/Бмз-С/Бпл=85693,5-88500=-2806,5

)        С/Бз/п-С/Бмз=86953,4-85693,5=1259,9

)        С/Ба-С/Бз/п=87936,2-86953,4=982,8

)        С/Бф-С/Ба=90130-87936,2=2193,8

10)    ΔС/Б = -2806,5+1259,9+982,8+2193,8=1630

Факторный анализ себестоимости показал, что уменьшение материальных затрат на 2806,5 тыс. руб. привело к уменьшению себестоимости на это же число. Увеличение заработной платы привело к увеличению себестоимости на 1259,9 тыс. руб., увеличение амортизации на 982,8 тыс. руб. привело к увеличению себестоимости на то же число, а увеличение прочих расходов привело к увеличению себестоимости на 2193,8 тыс.руб. Получается что на себестоимость продукции большее влияние оказали материальные затраты, если бы материальные затраты не уменьшились, то себестоимость продукции возросла бы на 2806,5 тыс. руб., а значит на это же число уменьшилась бы прибыли предприятия.

5.2 Затраты на рубль продукции

В большинстве отраслей промышленности задание по себестоимости утверждается предприятием в виде предельного уровня затрат на рубль товарной продукции.

Показатель затрат на рубль товарной продукции характеризует уровень себестоимости одного рубля обезличенной продукции. Он исчисляется как частное от деления полной себестоимости всей товарное продукции на ее стоимость в оптовых ценах предприятия. Это - наиболее обобщающий показатель себестоимости продукции, выражающий ее прямую связь с прибылью. К достоинствам этого показателя можно также отнести его динамичность и широкую сопоставимость.

Непосредственное влияние на изменение уровня затрат на рубль товарной продукции оказывают 4 фактора, которые находятся с ним в прямой функциональной связи:

изменение структуры выпущенной продукции;

изменение уровня затрат на производство отдельных изделий;

изменение цен и тарифов на потребленные материальные ресурсы;

изменение оптовых цен на продукцию.

Важнейший обобщающий показатель себестоимости продукции - затраты на рубль продукции, который характеризует издержкоемкость продукции. Он выгоден тем, что, во-первых, очень универсальный: может рассчитываться в любой отрасли производства и, во-вторых, наглядно показывает связь между себестоимостью и прибылью. Определяется он отношением общей суммы затрат на производство и реализацию продукции к стоимости произведенной продукции в действующих ценах.

ИЕ = , (35)

Где ИЕ - издержкоемкость;

Зобщ - общая сумма затрат на производство и реализацию продукции;

ВП - стоимость произведенной продукции.

Данные для анализа затрат на рубль товарной продукции представлены в таблице 24.

Таблица 24. Динамика и структура затрат на рубль товарной продукции.

показатели

предыдущий период

отчетный период

изменения


тыс.руб

уд.вес,%

тыс.руб.

уд.вес,%

тыс.руб.

Отн,%

уд.вес,%

себестоимость

0,81

100

0,83

100

0,02

102,91

1

В том числе: материальные затраты

0,4

49

0,38

45

-0,02

94,51

0,92

зарплата с начислениями

0,18

22

0,19

23

0,01

107,59

1,05

амортизация

0,04

5

0,05

6

0,01

123,49

1,2

прочие

0,19

24

0,22

26

0,02

111,48

1,08



Из таблицы видно, что в отчетном году было перевыполнение плана затрат на рубль товарной продукции на 2,91% или на 0,02 тыс.руб. Из этого было недовыполнение плана по материальным затратам на рубль продукции на 5,49% или на 0,02 тыс.руб., по остальным показателям план был перевыполнен, что в общей сумме привело к перевыполнению плана затрат на рубль товарной продукции. Резерв снижения себестоимости на рубль товарной продукции составил 0,04 тыс. руб.

.3 Анализ постоянных и переменных затрат

Важное значение в процессе управления затратами имеет их деление на постоянные и переменные в зависимости от объема деятельности предприятия.

Переменные затраты зависят от объема производства и продажи продукции. В основном это прямые затраты ресурсов на производство и реализацию продукции (прямая заработная плата, расход сырья, материалов, топлива, электроэнергии).

Постоянные затраты не зависят от динамики объема производства и продажи продукции. Это амортизация, арендная плата, заработная плата обслуживающего персонала на почасовой оплате, расходы, связанные с управлением и организацией производства.

Предприятию более выгодно, если на единицу продукции приходится меньшая сумма постоянных затрат, что возможно при достижении максимума объема производства продукции на имеющихся производственных мощностях. Если при спаде производства продукции переменные затраты сокращаются пропорционально, то сумма постоянных затрат не изменяется, что приводит к росту себестоимости продукции и уменьшению суммы прибыли.

Динамика и структура постоянных и переменных затрат представлена в таблице 25.

Таблица 25. Динамика и структура постоянных и переменных затрат.

показатели

предыдущий период

отчетный период

изменения


тыс.руб

уд.вес,%

тыс.руб.

уд.вес,%

тыс.руб.

отн

уд.вес,%

себестоимость

88500

100

90130

100

1630

101,84

1,00

В том числе: переменные затраты

54870

62

61288,4

68

6418,4

111,70

1,10

постоянные затраты

33630

38

28841,6

32

-4788,4

85,76

0,84



Из таблицы видно, что переменные затраты увеличились на 6418,4 тыс. руб. или на 11,7%, а постоянные затраты уменьшились на 4788,4 тыс. руб. или на 14,24%. Резерв снижения себестоимости за счет переменных затрат равен 6418,4 тыс. руб.

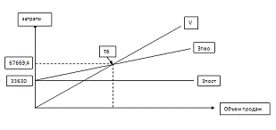
.4 Построение графика безубыточного объема продаж

Линия затрат при наличие постоянных и переменных расходов представляет собой уравнение первой степени.

=a+b*x, (36)

где Z - сумма затрат на производство продукции;- абсолютная сумма постоянных затрат;- ставка переменных расходов на единицу продукции:

х - объем производства продукции.

График безубыточного объема продаж по плану представлен на рисунке 1, по факту на рисунке 2.

Рис. 1. График безубыточного объема продаж по плану.

Точку безубыточности можно найти по формуле:

Тб = , (37)

где Тб - точка безубыточности;- объем продаж;

Зпост - постоянные затраты;

Зпер - переменные затраты

Рис. 2. График безубыточного объема продаж на факту.

Тб пл = =67669,4

Тб ф == 66724,05

∆Тб = Тб ф - Тб пл = 66724,05 - 67669,4= -945,35

Получается что безубыточный объем продаж по факту меньше чем по плану на 945,35 тыс. руб. Значит, предприятие получило больше прибыли на это же число.

.5 Выявление резервов снижения затрат на производство продукции

Проведенный анализ себестоимости позволил выявить следующие резервы ее снижения:

·      Затраты в отчетном периоде были по всем статьям выше запланированных значений за исключением статьи "материальные затраты". По данной категории затраты не достигли планового значение на 2806,5 тыс.руб.

·        Для выявления резервов снижения затрат на производство продукции необходимо провести расчеты по корректировке затрат по плану на коэффициент изменения объема производства.

Для расчета коэффициента используется следующая формула:

З’ = Зпл * К - Зф, (38)

где Зпл - плановый объем затрат,

Зф - фактический объем затрат,

К - коэффициент изменения объема производства.

К = , (39)

Для выявления резервов необходимо провести корректировку в целом по затратам и в отдельности по каждому виду затрат и сравнить полученные данные с фактическими показателями затрат.

Расчеты по выявлению резервов приведены в таблице 26.

Таблица 26. Резервы снижения затрат.

Наименование

Зпл, тыс. руб.

К

Зпл*К, тыс. руб.

Зф,тыс. руб.

З', тыс. руб.

Материальные затраты

43365

1,01

43798,65

40558,5

3240,15

Амортизация

19470

1,01

19664,7

20729,9

-1065,2

Заработная плата

4425

1,01

4469,25

5407,8

-938,55

Прочие расходы

21240

1,01

21452,4

23433,8

-1981,4

Всего

88500

1,01

89385

90130

-745


Из таблицы видно, что общий резерв снижения себестоимости равен 745 тыс. руб. Из этого резерв снижения себестоимости за счет амортизации равен 1065,2 тыс. руб., за счет заработной платы 938,55 тыс. руб., за счет прочих расходов 1981,4 тыс. руб.

5.6 Определение прибыли предприятия

Прибыль предприятия является важнейшей экономической категорией и основной целью предпринимательской деятельности. Получить прибыль предприятие может только в том случае, если оно производит продукцию или услуги, которые реализуются, т.е. удовлетворяют общественные потребности. Предприятию необходимо произвести продукт, который удовлетворит потребности и притом по такой цене, которая соответствовала бы платежеспособным потребностям. Приемлемая цена возможна только в том случае, когда предприятие выдерживает определенный уровень издержек, когда потребляемые ресурсы, затраты их меньше, чем полученная выручка, т.е. когда оно работает с прибылью. Таким образом, прибыль, являясь непосредственной целью производства, характеризует одновременно результат его деятельности. Если предприятие не получает прибыли, оно вынуждено уйти из сферы производства, признать себя банкротом.

Как экономическая категория прибыль отражает чистый доход, созданный в сфере материального производства, и выполняет ряд функций.

Во-первых, прибыль характеризует экономический эффект, полученный в результате деятельности предприятия. Получение прибыли означает, что все расходы покрываются с избытком доходами.

Во-вторых, прибыль обладает стимулирующей функцией. Это связано с тем, что прибыль является одновременно не только финансовым результатом, но и основным элементом финансовых ресурсов предприятия. Предприятие заинтересовано в получении максимальной прибыли, так как это является основой для расширения производственной деятельности, научно-технического и социального развития предприятия, материального поощрения работников.

В-третьих, прибыль является одним из важнейших источников формирования бюджетов разных уровней.

Расширение производства и процветание национальной экономики требует максимизации прибыли и устойчивого ее роста. Только так предприятие может существовать в конкурентно-рыночной среде. Расширение производства может проявляться в увеличении масштабов самого предприятия, укреплении его позиций на рынке, но оно может выражаться и в поглощении других предприятий, в привлечении новых рынков, наконец, оно может стать следствием простого слияния с другими предприятиями.

На уровне хозяйствующего субъекта возникает целая система прибылей:

·        валовая (балансовая) прибыль,

·        прибыль от реализации основных фондов и иного имущества предприятия,

·        прибыль по внереализационным операциям,

·        чистая прибыль.

Кроме того, различают прибыль, облагаемую налогом, и прибыль, не облагаемую налогом.

Вал П=ВП - С/Б, (40)

где Вал П - валовая прибыль;

ВП - выручка от продаж;