Материал: Дослідження системи контролю ожеледе-паморозевих відкладень на проводах електричних мереж та способів їх усунення

Внимание! Если размещение файла нарушает Ваши авторские права, то обязательно сообщите нам

В [9] відмічається, що система контролю утворення ожеледі повинна, в першу чергу, здійснювати моніторинг метеопараметрів, які характеризують процес виникнення відкладень, а саме температури повітря, швидкості вітру, розмірів та ваги відкладень. В [10, 11] увага звертається на необхідність програмного комплексу, який дозволяє прогнозувати розвиток процесу наростання ожеледі та її плавлення на взаємозалежних ПЛ з урахуванням параметрів режиму плавлення (струм плавлення, тривалість знімання відкладень на кожній з ПЛ, черговість плавлень на ПЛ). Такий програмний комплекс в [12] пропонується доповнювати прикладними програмами для розрахунку механічних параметрів лінії.

Автоматизована система контролю процесу утворення ожеледі повинна бути складовою частиною більш функціональної автоматизованої системи моніторингу ПЛ (АСМ), яка дозволить контролювати механічні й електричні параметри лінії в умовах мінливого зовнішнього середовища. Це дасть можливість у більшій мірі використовувати закладені ресурси ПЛ (механічні, електричні), а також приймати адекватні керуючі рішення в нормальному та аварійних режимах (плавлення ожеледі, регулювання потужності, що передається, і т.д.).

Основними вимогами при побудові АСМ необхідно вважати такі:

розробка та використання сучасних технічних засобів збору, передачі й обробки інформації;

розробка багатофункціонального гнучкого програмного забезпечення, сумісного з існуючими програмними засобами;

модульний вигляд системи, що дозволяє інтегрувати її в загальну автоматизовану систему керування технологічним процесом передачі електричної енергії.

В ожеледних районах АСМ повинна мати наступні специфічні функціональні можливості:

. Короткостроковий і довгостроковий прогнози виникнення ожеледно-паморозевих відкладень (ОПВ) на ПЛ із визначенням імовірності виникнення, часу виникнення, наростання й існування, а також виду, розмірів відкладень і супутніх метеопараметрів (із залученням даних Гідрометеослужби).

. Раннє виявлення утворення ожеледі, а також початку інтенсивного галопування проводів, сигналізація, збір і первинна обробка поточних даних про ожеледно-вітрову ситуацію в режимі реального часу (температура й вологість повітря, напрямок і швидкість вітру, розпізнавання виду ОПВ, щільність відкладень, швидкість їх наростання, розміри й вага відкладень). Можливе доповнення інформаційної картини відео- і фотоданими.

. Розрахунок прогнозних параметрів режиму плавлення ожеледі (визначення моментів вмикання й вимикання схеми, черговості плавлень, величини струму й часу плавлень на кожній із взаємозалежних ліній (ділянок ліній), кількості ліній (ділянок ліній) з одночасним плавленням відкладень, кількості циклів плавлень з наступним коригуванням за поточними даними.

. Розрахунок механічних параметрів лінії у режимі реального часу (тяжіння, механічного напруження в проводах, габаритів).

. Архівування даних про ожеледно-вітрову ситуацію та параметри ПЛ з метою подальшого аналізу й накопичення досвіду.

Таким чином, програмне забезпечення АСМ в ожеледних районах повинне включати технологічні й прикладні програми.

Технологічні програми забезпечують функціонування апаратної частини системи.

До прикладних програм відносяться:

• програма обробки і представлення прогнозних і поточних даних про ожеледно-вітрову ситуацію та параметри ПЛ;

• програма розрахунку параметрів режиму плавлення ожеледі з коригуванням у режимі реального часу;

• програма архівування даних.

Очевидно, що при розробці систем контролю утворення ожеледі необхідно прагнути до максимально можливого рівня автоматизації процесів моніторингу ПЛ та плавлення ожеледних відкладень, що дозволить мінімізувати роль людського фактору та підвищити загальну ефективність роботи таких систем.

2.2 Прогнозування ожеледного навантаження на базі нейронних мереж

Прогнозування ожеледного навантаження може допомогти енергокомпаніям вчасно підготуватися до можливих аварійних ситуацій і вжити відповідних перспективних заходів. Тому розробка і впровадження таких систем прогнозування є одним з пріоритетних напрямів досліджень в енергетиці та суміжних галузях науки.

На сьогоднішній день існує безліч моделей динаміки ожеледного навантаження, які можна розділити на дві великі групи: фізичні та імітаційні моделі. Перші описують процес утворення ожеледі у вигляді явної математичної залежності від безлічі факторів, що впливають, які необхідно безпосередньо вимірювати, що може бути досить важко. До таких параметрів, наприклад, відноситься розподіл розміру крапель рідких опадів. Другий тип моделей заснований на чисельному аналізі експериментальних даних, що описують реальні періоди зледеніння ЛЕП та сприятливі для цього погодні й інші умови.

Серед імітаційних моделей особливо слід виділити методи, пов'язані з обчислювальному інтелекту: нейронні мережі, еволюційні алгоритми і системи на основі нечіткої логіки. Ці методи володіють високою гнучкістю, здатністю обробляти нечітку, недостовірну інформацію, адаптуватися до мінливих умов функціонування, здатністю до навчання і самонавчання. Всі ці властивості виявляються надзвичайно корисними при побудові систем прогнозування ожеледного навантаження, оскільки тут доводиться мати справу з різного роду невизначеністю (помилкові або втрачені показники датчиків, непрямий облік параметрі, що не піддаються прямому виміру, тощо), нестаціонарностью (зміна в часі властивостей модельованих процесів) та іншими складнощами, безпосередній облік яких може бути дуже громіздким або взагалі неможливим.

Основою для моделювання є дані постів контролю ожеледного навантаження і метеофакторів, які розміщують на опорах ЛЕП в місцях найбільш вірогідної ожеледі. У даній роботі використані дані, зібрані на лініях 35 кВ «Старий Крим - Планерское» і «Підгірне - Оріон», розташованих в АР Крим. Особливістю цих ліній є їх проходження в прибережній зоні, яка характеризується підвищеною вологістю. Автоматичні пости контролю ожеледного навантаження і метеофакторів розташовуються на опорах ЛЕП в районах перевалів, де часто спостерігаються сильні вітри, що є додатковим чинником, що призводить до ожеледно - вітрових аварій.

Головним контрольованим параметром є вага дроту , вимірюваний за допомогою тензодатчика в точці підвісу (Рис.2.1). Для зручності моделювання (так як для різних ділянок нормальна вага різна) цей параметр виражається у відсотках від ваги чистого дроту. При утворенні ожеледі вага починає рости і може досягти критичного значення , визначеного конструктивними параметрами лінії. Завдання прогнозування полягає у завчасному попередженні чергового персоналу про ймовірне перевищення критичного значення ваги . З урахуванням часу, необхідного для прийняття рішення та підготовки до виконання плавки ожеледі, інтервал попередження  прийнятий рівним 2 ч.

Рисунок 2.1. Тензодатчик в точці підвісу

Крім ваги проводу, вимірюється температура  і відносна вологість  повітря, які безпосередньо впливають на процес утворення ожеледі. Інші метеопараметри (сила і напрям вітру, тип і інтенсивність опадів і т.д.) не вимірюються, оскільки це викликає певні технічні складності і значно збільшує вартість постів контролю. Знімання інформації з датчиків відбувається в реальному часі, потім виконується усереднення отриманих даних за минулу годину, і вже ці значення передаються по каналу зв'язку на диспетчерський пункт. Виняток становить параметр ваги проводу, для якого передається також максимально зафіксоване протягом години значення , за яким можна побічно судити про наявність вітрового навантаження на провід .

Отже, завдання полягає в побудові на основі наявних архівних даних спостережень прогнозуючої математичної моделі виду:

 (2.1)

де  - номер години;

 - Порядок моделі , відповідний глибині використовуваної передісторії ;

 - Шукане, в загальному випадку нелінійне, перетворення .

У силу того, що за наявними даними побудова фізичної моделі неможливо (недостатньо вимірюваних параметрів), звернемося до імітаційних моделей . Більшість з них оцінюють кількості ожеледі, виходячи з припущення, що йде переохолоджений дощ. Таким чином, для прогнозування ожеледного навантаження на ЛЕП спочатку необхідно спрогнозувати появу цього виду опадів, для чого можуть використовуватися декілька алгоритмів прогнозування опадів, одним з кращих вважається алгоритм Рамера [ 7], який забезпечує високу точність в задачах прогнозу обмерзання. Останнім часом для цієї мети стали використовувати деякі сучасні методи машинного навчання, які в свою чергу піддавалися множинним модифікаціям, що ще більш підвищило якість прогнозування .

Всі названі алгоритми покладаються на просту моделі наростання ожеледі, тобто виконується двохетапне прогнозування: випадання опадів і утворення ожеледі. Однак такий підхід може бути джерелом додаткових помилок, і при наявності достатньої архівної інформації доцільно використовувати одноетапні моделі, прямо зв'язують вимірювані параметри з ожеледним навантаженням. Так як фізичні принципи вказують на нелінійний характер взаємозв'язків між параметрами, то необхідно застосування нелінійних навчальних моделей. Цим вимогам задовольняють штучні нейронні мережі, застосування яких у дослідженнях вже показало перспективність цього підходу. Зокрема, були спроби застосування багатошарового персептрона, а також мереж з кінцевою пам'яттю і рекурентних мереж.

.3 Архітектура мережі на базі гібридних нейроподібних елементів

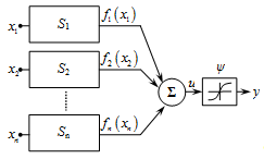
У цій роботі пропонується використовувати нову архітектуру мережі на гібридних нейроподібних елементвах [23] (рис. 2.2). Вона є узагальнюючою для названих вище типів нейронних мереж, тобто має властивості їх всіх одночасно і деякими додатковими можливостями.

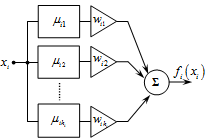
Вхідними сигналами мережі є поточні значення прогнозованої змінної  та інших вимірюваних величин . Подавати на вхід передісторію вимірювань немає необхідності, оскільки вона формується автоматично всередині гібридних нейроподібних елементів (HNU) [24], структура яких представлена ​​на рис. 2.3.

Рисунок 2.2. Архітектура мережі на базі гібридних нейроподібних елементів (HNU)

Рискнок 2.3. Гібридний нейроподібний елемент

Вхідні сигнали  перетворяться за допомогою синапсів різних типів  в сигнали , які потім об'єднуються в сигнал внутрішньої активації . Вихідний сигнал нейроподібного елемента формується за допомогою нелінійної активаційної функції:

 , (2.2)

де в якості , зазвичай, використовується сигмоїдальна функція або гіперболічний тангенс.

У гібридному нейроподібному елементі використовуються синапси чотирьох типів: лінійний синапс (рис. 2.4), синапс-фільтр з нескінченною імпульсною характеристикою (рис. 2.5), синапс-фільтр з кінцевою імпульсною характеристикою (рис. 2.6) і нелінійний синапс на основі нечіткої системи (рис. 2.7). У наведених схемах - настроюються синаптичні ваги,  - функції приналежності,  - елементи чистого запізнювання,  - максимальні порядки запізнювань.

Рисунок 2.4. Лінійний синапс Рисунок 2.5. Синапс-фільтр

Рисунок 2.6. Синапс-фільтр з кінцевою імпульсною характеристикою

Рисунок 2.7. Нелінійний синапс на основі нечіткої системи

У відповідності з даними схемами вихідні сигнали різних типів синапсів формуються наступним чином:

Для лінійного синапсу:

; (2.3)

Для синапсу-фільтра з нескінченною імпульсною характеристикою:

; (2.4)

Для синапсу-фільтра з кінцевою імпульсною характеристикою:

; (2.5)

Для нелінійного синапсу на основі нечіткої системи:

; (2.6)

де  - кількість функцій належності для -го входу.

У нелінійних синапсах на основі нечіткої системи зазвичай застосовуються трикутні функції приналежності, значення яких визначаються відстанню між входом  і центрами :

 (2.7)

при цьому автоматично забезпечується розбиття Руспіні .

Якщо активний нечіткий інтервал , вихід нелінійного синапсу можна виразити таким чином:

 (2.8)

;

.

Застосування гібридних нейроподібних елементів дозволяє будувати нейронну мережу за стандартною багатошарової архітектури, спеціалізація якої досягається за рахунок:

Вибору типу синапсу для кожного зв'язку мережі, включаючи можливість розриву зв'язку (відсутність синапсу);

Вибору кількості та порядку елементів затримок в синапсах - фільтрах з кінцевою і нескінченною імпульсними характеристиками;

Вибору кількості і параметрів функцій належності в нелінійних синапсах.

Таким чином, побудова мереж на базі гібридних нейроподібних елементів дає можливість гнучкого вибору між універсальними (всі синапси одного типу, повнозв'язна архітектура) і спеціалізованими (синапси різних типів і / або неполносвязная архітектура) архитектурами. При цьому можлива реалізація нелінійних моделей авторегресії (NAR), авторегресії із зовнішніми входами (NARX), авторегресії - ковзного середнього (NARMA), авторегресії - ковзного середнього з зовнішніми входами (NARMAX).