Определить эффективность всей совокупности такого рода мероприятий, при всей ее очевидности, довольно непросто. Необходимо рассматривать каждый конкретный проект, принимая во внимание степень доступности и корректности информации.
В работе в качестве расчетного примера рассмотрен проект модернизации международного аэропорта г. Иркутск.
В соответствии с Указом Президента Российской Федерации «О повышении эффективности авиатранспортного обеспечения Иркутской области» от 31 декабря 2014 года ОАО «Международный аэропорт Иркутск» было передано из федеральной собственности в собственность Иркутской области в размере 100% акций предприятия.
Эта передача осуществляется для привлечения Правительством Иркутской области на условиях государственно-частного партнерства инвестиций в развитие авиационного узла г. Иркутска в целях:
а) реконструкции и строительства объектов действующего аэропорта г. Иркутска, в том числе аэродромной инфраструктуры, - в размере не менее 1,1 млрд. рублей;
б) строительства нового аэропортового комплекса г. Иркутска (за исключением аэродрома и объектов единой системы организации воздушного движения) - в размере не менее 20 млрд. рублей;
в) увеличения к 2020 году пассажиропотока авиационного узла г. Иркутска не менее чем до 3 млн. человек в год.
Автором была разработана условная и упрощенная модель финансирования модернизации существующего аэропорта на условиях ГЧП и оценена финансовая эффективность предложенной модели.
Модернизация предусматривает строительство нового здания пассажирского терминала, реконструкцию взлетно-посадочной полосы, а также создание портовой особой экономической зоны, на территории которой будут развиваться: техническое обслуживание и модернизация авиационной техники логистика; оптовая торговля, складская деятельность; неавиационное производство, связанное с авиастроением.
В ходе разработки проекта ввиду недостаточности данных (в частности невозможности оценить денежные потоки от проекта без компетентных источников, а именно оценки затрат на модернизацию, оценки увеличивающейся мощности аэропорта в результате проведенной модернизации, а также оценки характера финансовых обязательств) был принят ряд условностей:
. Первоначальные инвестиции в модернизацию составили 1 267 719 тыс.руб. (превышают установленный указом от 31.12.2014 объем на величину инфляции за соответствующие годы);
. Срок проекта - 5 лет (2017-2021), соглашение о ГЧП предусматривает реконструкцию аэропорта за счет собственных средств частного партнера в размере 267 719 тыс. руб. и привлеченных в размере 1 млрд. руб.
. Ввиду невозможности определения конкретных значений, необходимых для расчета обслуживания долга, условно было принято, что денежные потоки, создаваемые аэропортом после модернизации, обеспечат качественное обслуживание долга (условно полагалось, что 20% ежегодно создаваемого денежного потока будет уходить на обслуживание долга).
По истечении срока соглашения частный партнер получает в собственность ту часть собственности ОАО «Международный аэропорт Иркутск», рыночная стоимость которой не превышает вложения частного партнера (с учетом принятых на себя долговых обязательств) в реконструкцию аэропорта. В противном случае, в соответствии со ст. 6 ФЗ-224 возникает обязательность передачи права собственности на объект публичному партнеру. Публичным партнером признается Иркутская область, обеспечивающая частного партнера соответствующим земельным участком. Также в модели не рассматривались инструменты проектного финансирования ввиду достаточно малого срока проекта (5 лет).
Далее, принимая во внимание вышеописанные допущения, без которых определение эффективности модернизации невозможно, определим NPV проекта.
В соответствии с ретроспективными данными пассажиропотока за
ряд лет (Таблица 5), был определен средний темп роста пассажиропотока, который
составил 6,28%.
Таблица 5
Ретроспективные показатели аэропорта
|
|
Пассажиропоток, тыс.чел. |
Темп роста пассажиропотока, % |
Прибыль от продаж, тыс.руб. |
Прибыль от продаж от перевозки одного пассажира, руб. |
|
2011 |
1258,0 |
1,0000 |
268077,0 |
213,1 |
|
2012 |
1400,0 |
1,1129 |
365539,0 |
261,1 |
|
2013 |
1569,0 |
1,1207 |
414336,0 |
264,1 |
|
2014 |
1712,0 |
1,0911 |
460397,0 |
268,9 |
|
2015 |
1694,0 |
0,9895 |
452742,0 |
267,3 |
|
СРЕДНЕЕ ЗНАЧЕНИЕ |
1526,6 |
1,0628 |
392218,2 |
254,9 |
Источник: собственная разработка автора на основе данных
годовых отчетов ОАО «Международный аэропорт Иркутск».
На основе среднего темпа роста пассажиропотока, был вычислен
прогнозируемый пассажиропоток. Далее, был рассчитан мультипликатор для
определения денежного потока. В роли мультипликатора выступила средняя прибыль
от продаж от перевозки одного пассажира. Путем перемножения мультипликатора на
соответствующие данные о прогнозируемом пассажиропотоке был выполнен расчет
соответствующего денежного потока (Таблица 6).
Таблица 6
Определение денежного потока
|
Прогнозный период: |
Пассажиропоток, тыс.чел. |
Прибыль от продаж, тыс.руб. |
Денежный поток (за вычетом на обслуживание долга, 20%), тыс.руб. |
|
2016 |
1800,5 |
0 |
-1267619 |
|
2017 |
1913,6 |
487762,2118 |
390209,7694 |
|
2018 |
2033,9 |
518415,0138 |
414732,0111 |
|
2019 |
2161,7 |
550994,1526 |
440795,3221 |
|
2020 |
2297,5 |
585620,6864 |
468496,5491 |
|
2021 |
2441,9 |
622423,2811 |
497938,6249 |
Источник: собственная разработка автора.
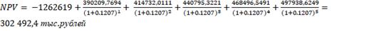
Ставка дисконтирования была принята в соответствии с
вышеописанной методикой и составила 12,07% (9,57% - доходность по облигациям
федерального займа + 2,5 процентных пункта). Таким образом, NPV проекта
модернизации оказался равным:

.
Итак, проект признается финансово эффективным, так как рассчитанный NPV больше нуля. Стоит отметить, что данная оценка носит весьма условный характер в силу наличия ряда допущений, без которых нельзя обойтись ввиду отсутствия нужной информации.
Социально-экономический эффект можно оценить достаточно условно, принимая во внимание заложенное в вышеупомянутом Указе Президента РФ «О повышении эффективности авиатранспортного обеспечения Иркутской области» от 31 декабря 2014 года увеличение к 2020 году пассажиропотока авиационного узла г. Иркутска не менее чем до 3 млн. человек в год. Что, безусловно, сопряжено с соответствующим пополнением доходов бюджета субъекта федерации и решением ряда социальных задач. В то же время, более детально оценить социально-экономический эффект даже условно, достаточно сложно, так как нет соответствующего обеспечения необходимой информацией. Так, например, количество созданных рабочих мест не может быть оценено из-за отсутствия информации о количестве вводимых в эксплуатацию стоек регистрации, количества необходимой дополнительной охраны и так далее. Такие данные могут быть получены только в условиях проектирования модернизации по согласованию с техническим регламентом.
Обоснование сравнительного преимущества проекта также не может быть рассчитано ввиду условности расчета всех обязательств частного партнера и условности самой модели финансирования.
Таким образом, обобщая предложенную условную схему финансирования можно сделать следующие выводы:
. Публичным партнером выступает Иркутская область, которая предоставляет земельный участок, а также имеет возможность обеспечить гарантиями выданный частному партнеру кредит;
. Финансирующим лицом выступает юридическое лицо в виде банка либо действующее без образования юридического лица по договору о совместной деятельности объединение двух и более юридических лиц (например, ведущие российские авиаперевозчики и заинтересованные иностранные, так, в ряде источников свою заинтересованность в модернизации аэропорта Иркутска указывали ряд китайских авиакомпаний), предоставляющие заемные средства частному партнеру для реализации соглашения на условиях возвратности, платности, срочности;
. Кроме того, частный партнер осуществляет собственные вложения в реконструкцию проекта.
Обобщая вышеизложенное, стоит отметить, что методика оценки
эффективности весьма понятна при наличии компетентной информации относительно
того или иного реализуемого проекта. В рамках представленной методики, проект
оценивается в части финансовой эффективности, которая предполагает расчет NPV
проекта, и социально-экономической эффективности, которая выражается в
показателях развития региона по мере реализации проекта. Такими показателями
могут выступать валовой внутренний продукт на душу населения, уровень
занятости, средняя заработная плата региона, реальные располагаемые денежные
доходы населения, специфические показатели, связанные непосредственно с тем или
иным проектом (например, пропускная способность аэропорта или уровень
доступности тех или иных видов транспорта) и другие. Кроме того, данная
методика предполагает обоснование сравнительного преимущества проекта, в основе
которого лежит сравнение чистых дисконтированных расходов средств бюджетов
бюджетной системы РФ в рамках реализации государственного контракта и
обязательств публичного партнера в случае реализации предложенного проекта.
Заключение
Резюмируя вышеизложенное, следует еще раз отметить об особой важности инвестирования средств в инфраструктуру, как значимого аспекта развития экономики России во всех отраслях. Инвестиции в инфраструктурные проекты повлекут за собой как создание новых предприятий с предоставлением новых рабочих мест, так и создание развитой системы для успешного функционирования и развития всех отраслей бизнеса.
В рамках данного исследования ставились задачи определения существующих на сегодняшний день инвестиций в инфраструктуру. В ходе проведённого исследования, было выявлено, что на сегодняшний день отрасль энергетики практически не нуждается в инвестициях в связи с существенными капиталовложениями на протяжении последних лет, телекоммуникационная отрасль обеспечена достаточным объемом частных инвестиций вследствие своей актуальности и востребованности в рамках высокого технологического развития мира. Однако необходимыми и в то же время перспективными направлениями инвестиций являются отрасли развития воздушных и водных транспортных систем, подразумевающее строительство новых технологически обеспеченных аэропортов и морских портов с необходимой пропускной способностью. Перспективность данного направления заключается в содержательных будущих денежных потоках не только от характерных авиационных доходов в случае аэропорта, но также и от существенной доли неавиационных доходов, включающих в себя доходы от деятельности по развитию наземных услуг, предоставляемых пассажирам на территории аэропортов: магазины, в том числе Duty Free, точки питания, паркинг, упаковка багажа, кейтеринг, услуги бизнес залов и т.д. Аналогичное развитие событий предусмотрено и в случае развития морских портов. Не менее необходимыми являются инвестиции в реконструкцию и развитие дорожного обеспечения, включая строительство высокоскоростных платных трасс.
Задача оценки законодательного и нормативно-правового обеспечения была решена в части сравнительного анализа двух федеральных законов: закона о государственно-частном партнерстве и закона о концессионных соглашениях. Так, например, с вступлением в силу федерального закона о ГЧП появилась возможность передачи объекта соглашения в залог, что, безусловно, привлечет внимание банков, так как гарантии возврата инвестиций существенно возрастают. Кроме того, были освещены различия в субъектном праве: 224-ФЗ устанавливает более жесткие требования к составу лиц на стороне частного партнера (только российские предприятия). Еще одним существенным различием является возникновение права собственности у частного партнера по истечению соглашения о ГЧП, в то время как концессионное соглашение предусматривает право собственности публичного партнера.
Исследование источников и способов организации финансирования долгосрочного инвестирования в инфраструктуру как в российской, так и в мировой практике показало, что финансирование проектов ГЧП или же проектов, осуществляемых в рамках концессионного соглашения, остается понятным, надежным и перспективным механизмом, признанным во всем мире, однако многие российские кредиторы испытывают сложности с ликвидностью в среднесрочной и долгосрочной перспективе, вследствие чего избегают участия в инвестировании долгосрочных проектов. Однако законодательно закрепленные особенности предусмотренных на сегодняшний день специализированных обществ проектного финансирования обеспечивают новую альтернативу традиционному банковскому кредитованию в части привлечения финансирования посредством выпуска облигационных займов. Примечательно, что перспективным является направление покупки облигаций подобных обществ институциональными инвесторами, в частности, пенсионными фондами, что широко распространено в ряде зарубежных стран. Именно поэтому, помимо открывшихся горизонтов, уже сегодня имеет смысл говорить о дальнейшем совершенствовании законодательства в данной сфере.
Выявленные в ходе исследования основные проблемы инвестирования в инфраструктуру, такие как: проблемы разработки самого проекта, проблемы негибкой и излишне политизированной системы индексации инфраструктурных тарифов, недостроенность «экосистемы» рынка инфраструктурных инвестиций, в частности недостаток информации (с чем и столкнулся автор в ходе исследования), опыта и компетенций; обусловили разработку автором частных рекомендаций, которые могли бы способствовать развитию рынка долгосрочного инвестирования в инфраструктуру прежде всего, и долгосрочных инвестиций вообще:
. Наиболее перспективными являются создание бюджетных фондов долгосрочного инвестирования, обеспечением которого будут являться будущие денежные потоки от налоговых поступлений, созданных за счет ввода в эксплуатацию тех или иных объектов;
. Стимулирование институциональных инвесторов (таких как пенсионные фонды, страховые компании, а также инвестиционные фонды) посредством принятия тех или иных нормативно-правовых актов (например, законодательно-закрепленная обязанность институциональных инвесторов по достижении определенного капитала участвовать в капитале компаний, развивающих законодательно-закрепленные стратегически необходимые и важные проекты);
. Кроме того, создание профессиональных некоммерческих сообществ (по типу саморегулируемых организаций оценщиков и аудиторов), осуществляющих деятельность по переквалификации компетенций необходимого сектора инфраструктуры также способствовало бы повышению качества подготовки проектов;
. Поправки в налоговом законодательстве, закрепленные за стратегическими проектами, какими и являются большинство инфраструктурных, обеспечило бы большую привлекательность частных инвестиций (например, установление льготного режима налогообложения на стадии строительства объекта).
Кроме того, практическую ценность исследования представляет систематизированная автором регламентированная методика оценки эффективности (финансовой и социально-экономической) и сравнительного преимущества проектов государственно-частного партнерства. Также была обоснована социально-экономическая необходимость модернизации авиационного комплекса России посредством проведения корреляционного анализа между показателем развития отрасли и динамикой ВВП в разных странах мира (корреляция в среднем составила 91,7%). По результатам данного обоснования автором была рассчитана условная (в силу отсутствия надлежащей доступной информации) финансовая эффективность модернизации международного аэропорта г. Иркутск, как апробация методики.
Таким образом, обобщая результаты исследования, следует
отметить, что успешная реализация крупных инфраструктурных проектов сопряжена с
необходимостью развития организационно-правовых основ и инструментария
финансирования долгосрочного инвестирования в инфраструктуру, о чем
свидетельствует мировой опыт и российская практика. В свою очередь, это будет
способствовать экономическому развитию страны и решению социальных задач.