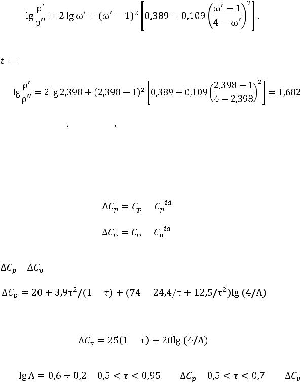
Расчет плотности пара на линии насыщения проводится с использованием формулы
(2.11)
Рассмотрим пример определения 
для той же температуры 
. Получаем
или 




и 






Исходным положением при рассмотрении калорических
свойств (здесь речь пойдет о теплоемкости) является определение так называемой конфигурационной теплоемкости, т. е. разности между реальной молярной теплоемкостью и молярной теплоемкостью разреженного газа при той же температуре:
|
|
|
|
|
|
|
|
|
; |
|
(2.12) |
|
|
|
|
|
|
|
|
|
|
|
|||
|
|
|
|
|
|
|
|
|
. |
|
(2.13) |
|
|
|
|
|
|
|
|
|
|
|
|||
|
Вдоль линии насыщения |
конфигурационную |
теплоемкость |
|||||||||
и |
вычисляют по формулам |
|
|
|
||||||||
и |
|
|
|
|
|
|
|
|
|
|
(2.14) |
|
|
|
|
|
|
|
|
|
|
|
|||
|
|
|
|
|
|
|
|
|
|
|
|
|
|
|
|
|
|
|
|
|
|
|
. |
(2.15) |
|
|
|
|
|
|
|
|
|
|
|
|||
|
Уравнения (2.14) и (2.15) |
справедливы в диапазоне значе- |
||||||||||
ний |
и |
для |
и |
для |
. |
|||||||
|
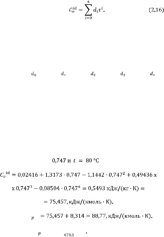
Теплоемкость хладагентов в идеальногазовом состоянии рас- |
|||||||||||
считывают по уравнению |
|
|
|
|
||||||||
26
Значения коэффициентов
для некоторых хладагентов приведены в табл. 2.6.
Таблица 2.6
Значения коэффициентов
в уравнении (2.16)
Хладагент |
|
|
|
|
|
|
|
|
|
|
|
R717 |
1,7262 |
–1,4470 |
2,5387 |
–1,2409 |
0,21857 |
|
|
|
|
|
|
R11 |
0,02416 |
1,3173 |
–1,1442 |
0,49436 |
–0,08504 |
|
|
|
|
|
|
R12 |
–0,00515 |
1,1578 |
–0,77326 |
0,26424 |
–0,03663 |
|
|
|
|
|
|
R22 |
0,20428 |
0,31010 |
0,29043 |
–0,21960 |
0,04135 |
|
|
|
|
|
|
R142в |
0,07801 |
1,1333 |
–0,29180 |
–0,01657 |
0,01477 |
|
|
|
|
|
|
R143а |
0,10560 |
0,8630 |
0,06359 |
–0,14261 |
0,02842 |
|
|
|
|
|
|
R502 |
0,02105 |
1,06130 |
–0,55178 |
0,17476 |
–0,02568 |
|
|
|
|
|
|
R503 |
0,34906 |
0,28014 |
0,06125 |
–0,04375 |
0,00529 |
|
|
|
|
|
|
Для R11 при 

Отсюда 

Находим
для 







27
Поскольку |
, |
Зависимость для определения поверхностного натяжения, рекомендуемая в литературе, имеет вид
|
|
|
(2.17) |
|
где |
||||
|
||||
; |
(2.18) |
|||
|
|
|
(2.19) |
|
Значения коэффициентов: a1 = 1,1239; а2 = 9,116; а3 = –29,0038; a4 = 51,1109; a5 = –35,105; f0 = 7,56938; f1 = –2,57629; f2 = 0,711868; f3 = –0,075567.
На основании зависимости (2.17) для R11 и температуры 

имеем
28















,
откуда 



















Для нормальных и слабоассоциированных веществ предложе-
но соотношение, связывающее поверхностное натяжение с плотно-
стью жидкости и пара: |
|
, |
(2.20) |
где 

парахор, который может быть рассчитан исходя из структуры молекулы,
[p] = |
. |
(2.21) |
Инкременты 
для атомов водорода, фтора, хлора и брома составляют 15,7; 24,8; 53,0; 67,0. Если атом углерода является единственным, его парахор равен 10,1.
Определяем парахор R11:








.
Тогда
По Мак-Годану [p] = 188,1, тогда
= 10,67 дин/см = = 10,67·10–3 Н/м. Отметим, что в последнем случае парахоры рассчитываются как сумма атомных долей углерода, водорода, хлора, фтора и брома, которые равны 47,6; 24,7; 62,0; 30,5; 76,1. Затем из суммы долей вычитается по 19 на каждую связь в молекуле, т. е. для R11
29
Следовательно, можно сделать вывод, что расчет поверхностного натяжения во многом зависит от метода определения 
.
2.2. Кинетические коэффициенты
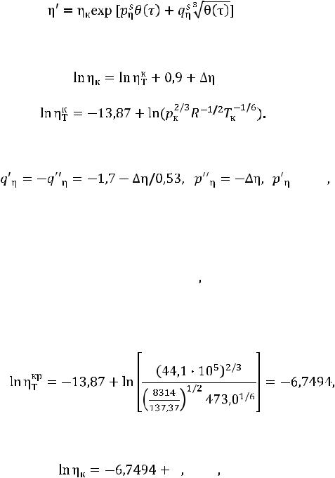
Уравнение для вычисления динамической вязкости на линии насыщения имеет вид
, |
(2.22) |
где
, |
(2.23) |
(2.24)
Рекомендуется принимать



.
Для определения значений коэффициентов уравнения (2.22) целесообразно располагать хотя бы одним экспериментальным значением динамической вязкости на линии насыщения. При отсутствии опытных данных о динамической вязкости полезно принять во внимание, что для многих веществ 




. Можно принять 

, что увеличивает максимальную погрешность оценки, но в целом это погрешность не должна превысить 20–25 %.
Рассчитываем 
для хладагента R11:
откуда, принимая 

, имеем




.
30