ВВЕДЕНИЕ
Соответственными состояниями называют состояния реальных газов или жидкостей, для которых независимые приведенные переменные одинаковы. Существуют группы веществ, для которых вид приведенного уравнения состояния (в физике и термодинамике это уравнение Ван-дер-Ваальса) одинаков. Так, закон соответственных состояний выполняется для инертных газов: аргона, криптона, ксенона, для фторхлорбромзамещенных метана (холодильных агентов) и для некоторых других групп веществ.
Если |
представить |
безразмерные |
(приведенные) переменные |
в виде |
, |
, |
приведенное уравнение со- |
стояния реального газа или жидкости может быть записано в следующем виде:
Функции
должны быть тождественны для термодинамически подобных веществ. Если бы закон соответственных состояний выполнялся для всех веществ, то в уравнении (1) было бы достаточно только трех безразмерных параметров. Однако закон выполняется лишь для отдельных групп термодинамически подобных веществ, причем принадлежность к той или иной группе обусловливается наличием дополнительных безразмерных величин 

и др.
В работах, посвященных этому вопросу, указывается различное число безразмерных величин. Довольно часто в качестве такой величины использовался фактор сжимаемости
.
Л.П. Филипповым [1] введена безразмерная величина
По Питцеру определяющий критерий
6
Простые связи можно установить между критерием Риделя и критерием Питцера, часто называемым ацентрическим фактором:


,
а также между критерием Филиппова и критерием Питцера:
.
Во всех этих случаях индивидуальность вещества в приведенном уравнении состояния однозначно характеризуется лишь одним безразмерным параметром (критерием). Такой вид описания термодинамических свойств называют однопараметрическим обобщенным законом соответственных состояний.
Два определяющих критерия подобия предлагаются И.С. Бадылькесом, а разнообразие методов расчета и прогнозирования термодинамических и теплофизических свойств веществ на основе закона соответственных состояний исключительно велико. В их разработке большую роль сыграли исследования И.И. Новикова, М.П. Вукаловича, Л.Н. Филиппова, И.С. Бадылькеса, И.И. Перельштейна, М.К. Карапетьянца, Л. Риделя, К. Питцера и др.
Вопрос о предпочтительности выбора тех или иных приведенных переменных решается главным образом исходя из соображений удобства расчета, простоты и надежности аппроксимации, что будет показано на расчетных примерах.
1.РАСЧЕТ ТЕПЛОФИЗИЧЕСКИХ СВОЙСТВ
1.1.Термодинамические свойства
Для зависимости давления насыщенного пара и плотности насыщенной жидкости от температуры И.И. Перельштейн рекомендует уравнения [2]


; (1.1)
, |
(1.2) |
7
где |
|
|
|
|
|
|
|
|
|
|
|
|
|
|
|
|
|
|
|
|
|
|
|
|
; |
|
(1.3) |
|
|
|
|
|
|
|
|
|
|
|
|
||
|
|
|
S |
|
|
|
|
|
|
|
|
|
(1.4) |
|
|
|
|
|
|
|
|
|
|
|
|
||
Значения критерия Ri и коэффициентов |
, , |
, а также ве- |
|||||||||||
личин |
, |
, |
для некоторых хладагентов приведены в табл. 1.1. |
||||||||||
|
|
|
|
|
|
|
|
|
|
|
|
Таблица 1.1 |
|
|
|
|
Характеристики хладагентов |
|
|
||||||||
|
|
|
|
|
|
|
|
|
|
|
|
|
|
Хладагент |
|
, К |
, |
|
, |
Ri |
|
|
|
|
|||
|
|
|
|
|
|
|
|
||||||
|
|
|
Па |
|
|
|
|
|
|
|
|
|
|
|
|
405,55 |
113,97 |
|
0,2350 |
7,0284 |
|
|
–0,3958 |
1,6839 |
0,3859 |
||
R11 |
|
471,15 |
43,70 |
|
|
0,5702 |
6,5974 |
|
|
–0,0617 |
1,4617 |
0,2492 |
|
R12 |
|
385,15 |
41,19 |
|
|
0,5791 |
6,5741 |
|
|
–0,0913 |
1,4388 |
0,2338 |
|
R22 |
|
369,28 |
49,90 |
|
|
0,5372 |
6,7964 |
|
|
–0,1644 |
1,4892 |
0,2865 |
|
R142в |
|
409,60 |
41,38 |
|
|
0,4590 |
6,9530 |
|
|
–0,3192 |
1,3500 |
0,0060 |
|
R143a |
|
346,25 |
41,10 |
|
|
0,4487 |
7,1818 |
|
|
–0,500 |
1,6251 |
0,4884 |
|
R152a |
|
386,65 |
44,91 |
|
|
0,3514 |
6,9210 |
|
|
0 |
1,7150 |
0,4183 |
|
R290 |
|
369,96 |
42,69 |
|
|
0,2254 |
6,4618 |
|
|
–0,0799 |
1,4603 |
0,2676 |
|
R503 |
|
292,65 |
43,38 |
|
|
0,5894 |
6,6380 |
|
|
0 |
1,4581 |
0,3453 |
|
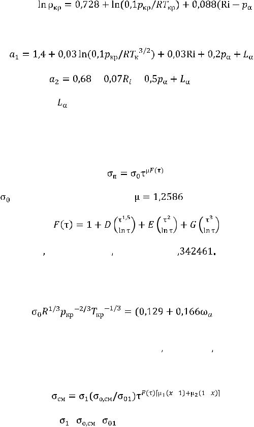
Критерий Ri можно рассчитать по формуле
Ri |
|
|
|
|
|
, |
(1.5) |
|
|
|
|
||||
|
|
где
; |
(1.6) |
(1.7)
Коэффициент
можно принять равным 0,1. Для вычисления критической плотности используют формулу
8
, (1.8)
а для вычисления
и
–
|
; |
(1.9) |
||||
|
|
|
|
|
. |
(1.10) |
|
|
|
||||
Поправку |
можно в первом приближении принять равной |
|||||
нулю или уточнить хотя бы по одному известному значению плотности насыщенной жидкости.
Для расчета поверхностного натяжения используется формула,
рекомендованная В.П. Железным [3]: |
|
|
|
|
|
||||
|
|
|
|
|
, |
|
|
|
(1.11) |
где |
|
эмпирическая константа; |
; |
|
, |
(1.12) |
|||
|
|||||||||
|
|
|
|
|
|
|
|
||
|
|
|
|
|
|
|
|||
здесь 



; 







Константа
определяется либо по одному известному значению поверхностного натяжения, либо из выражения



. (1.13)
Уравнения (1.11)–(1.13) позволяют рассчитывать поверхностное натяжение в интервале температур 





.
Для бинарных смесей хладагентов поверхностное натяжение находится из
|
|
|
|
|
|
. |
(1.14) |
|
|
|
|
||||
Величины , |
, |
определяются по нескольким значени- |
|||||
ям, полученным экспериментально, которых оказывается достаточно
9
для описания поверхностного натяжения во всем диапазоне молярных концентраций смеси
.
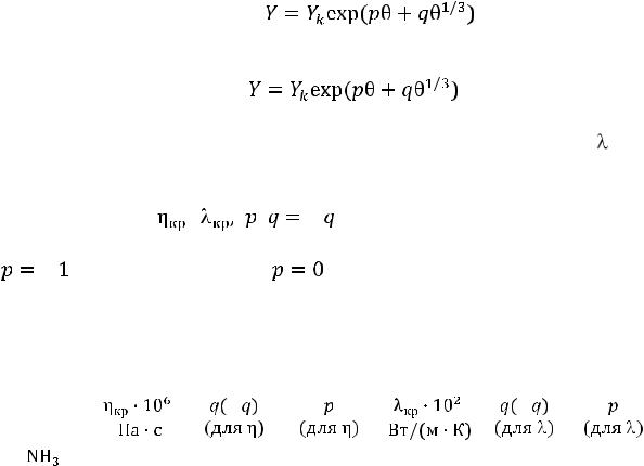
1.2. Кинетические коэффициенты
По И.И. Перельштейну [2] для определения теплопроводности и динамической вязкости на линии насыщения целесообразно применять уравнения
; |
(1.15) |
. |
(1.16) |
Буквой Y в уравнениях обозначена теплопроводность |
или |
динамическая вязкость η насыщенной жидкости либо сухого насыщенного пара.
|
|
Значения |
, |
, |
|
|
даны в табл. 1.2. Для всех вклю- |
||||||||||
|
|
||||||||||||||||
ченных в |
таблицу |
веществ |
при расчете динамической |
вязкости |
|||||||||||||
|
|
, а теплопроводности |
. |
|
|
|
Таблица 1.2 |
||||||||||
|
|
|
|
|
|||||||||||||
|
|
|
|
|
|
|
|
|
|
|
|
|
|
|
|
||
|
|
|
|
|
Параметры уравнений (1.15) и (1.16) |
|
|
|
|
||||||||
|
|
|
|
|
|
|
|
|
|
|
|
|
|
|
|
|
|
Хладагент |
|
|
, |
|
|
|
|
|
|
|
, |
|
|
|
|
||
|
|
|
|
|
|
|
|
|
|
|
|
||||||
|
|
|
|
|
|
|
|
|
|
|
|
|
|
|
|||
|
|
|
|
|
|
|
|
|
|
|
|
||||||
|
|
|
|
27,9 |
|
|
–1,75 |
–0,44 |
13,78 |
–1,93 |
0,79 |
||||||
R11 |
|
42,9 |
|
|
–1,75 |
–0,02 |
3,06 |
–1,29 |
0,60 |
||||||||
R12 |
|
40,0 |
|
|
–1,75 |
–0,02 |
2,98 |
–1,37 |
0,69 |
||||||||
R22 |
|
38,1 |
|
|
–1,72 |
0 |
3,39 |
–1,54 |
0,73 |
||||||||
R142в |
|
37,9 |
|
|
–1,84 |
–0,07 |
3,76 |
–1,23 |
0,90 |
||||||||
R143a |
|
35,5 |
|
|
–1,84 |
–0,07 |
3,69 |
–1,30 |
0,97 |
||||||||
R152a |
|
30,7 |
|
|
–1,71 |
0 |
4,14 |
–1,34 |
1,02 |
||||||||
R 290 |
|
24,3 |
|
|
–1,68 |
0,01 |
4,99 |
–1,12 |
1,21 |
||||||||
R 503 |
|
37,7 |
|
|
–1,74 |
–0,02 |
3,01 |
–1,60 |
0,73 |
||||||||
10