Параметр
в уравнениях (1.15), (1.16) рассчитывают по формуле для 


:
х |
|
|
|
|
|
. |
(1.17) |
|
|
|
|
||||
|
|
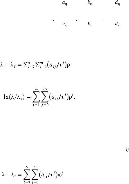
Для динамической вязкости и теплопроводности газов при атмосферном давлении И.И. Перельштейн рекомендует уравнения
|
|
|
|
|
; |
|
(1.18) |
|
|
|
|
|
|
|
(1.19) |
|
В этих уравнениях вычисляется по формуле (1.17), а величи- |
||||||
ны |
, |
, |
определяются из табл. 1.3. Для всех веществ |
= 0,9. |
|||
|
|
|
|
|
|
|
Таблица 1.3 |
|
|
|
Критические свойства переноса хладагентов [2] |
|
|||
|
|
|
|
|
|
|
|
|
Хладагент |
|
|
, |
|
|
|
|
|
, |
|
|
|
||
|
|
|
|
|
|
|
|
|
|
|
|
14,1 |
3,77 |
|
1,42 |
|
R11 |
|
|
17,1 |
1,54 |
|
1,29 |
|
R12 |
|
|
15,9 |
1,44 |
|
1,42 |
|
R22 |
|
|
15,4 |
1,50 |
|
1,55 |
|
R142в |
|
14,4 |
1,95 |
|
1,56 |
|
|
R143a |
|
13,5 |
1,85 |
|
1,66 |
|
|
R152a |
|
12,48 |
2,03 |
|
1,73 |
|
|
R290 |
|
|
10,0 |
2,76 |
|
1,80 |
|
R503 |
|
|
15,0 |
1,29 |
|
1,58 |
При плотности, равной двум критическим, динамическую вязкость и теплопроводность рассчитывают с помощью уравнений
; |
(1.20) |
. (1.21)
11
Значения постоянных
, b, d приведены в табл. 1.4.
Таблица 1.4
Значения коэффициентов уравнений (1.20) и (1.21)
Приведенная плотность |
|
|
|
|
|
|
|
0,0–0,3 |
0,26 |
1,584 |
1,000 |
0,3–2,0 |
0,54 |
1,079 |
1,081 |
Приведенная плотность |
|
|
|
|
|
|
|
0,0–0,5 |
1,22 |
0,535 |
1,000 |
0,5–2,0 |
1,13 |
0,670 |
1,069 |
Широко используются зависимости В.В. Алтунина [4]
;
(1.22)
(1.23)
Уравнение (1.23) В.В. Алтунин применил при обобщении данных по теплопроводности диоксида углерода.
В работе В.П. Барышева для теплопроводности хладагента R152a принята зависимость вида (1.22). Аналогичная зависимость получена С.В. Ильюшенко для обобщения данных по теплопроводности хладагентов R152a, R22 и R14. Значения коэффициентов
обобщающих уравнений вида
(1.24)
приведены в табл. 1.5.
12
|
|
|
Таблица 1.5 |
|
Значения коэффициентов уравнения (1.24) |
|
|
Коэффициенты |
|
Хладагент |
|
|
R152a |
R22 |
R14 |
Погрешность |
2–4 % |
До 3,48 % |
До 3,32 % |
Для расчета теплопроводности хладагентов при атмосферном |
|||
давлении рекомендованы следующие уравнения: |
|
||
для R152a |
|
|
|
|
|
|
|
|
|
|
|
|
|
|
|
|
|
; |
|
(1.25) |
|||
|
|
|
|
|
|
||||||||||||||
|
|
||||||||||||||||||
для |
R14 |
|
|||||||||||||||||
|
|
|
|
|
|
|
|
|
|
|
|
|
; |
(1.26) |
|||||
|
|
|
|
|
|
|
|||||||||||||
|
|
||||||||||||||||||
для |
R22 |
|
|||||||||||||||||
|
|
|
|
|
|
|
|
|
|
|
|
|
|
|
|
|
|
|
(1.27) |
|
|
|
|
|
|
|
|
|
|
|
|
|
|
|
|
|
|
|
|
|
|
|
|
|
|
|
|
|
|
|
|
|
|
|
|
|
|
|
|
По уравнениям (1.25)–(1.27) рассчитывалась теплопроводность хладагентов: R152a – в диапазоне давлений 0,1–50 МПа и темпера-
тур 220–430 К; R14 – |
|
; |
||
R22 – для |
. |
|
||
Для обобщения данных по теплопроводности жидких смесей |
||||
известно уравнение Филиппова–Новоселовой |
|
|
||
|
|
|
, |
(1.28) |
|
|
|
||
13
|
|
|
|
|
|
|
где |
|
|
|
|
здесь |
(для растворов неассоциирован- |
|
|
|
||||
ных жидкостей); |
|
массовые доли компонентов. |
||||
|
||||||
По Цедербергу теплопроводность жидких растворов можно приближенно оценивать по правилу аддитивности.
В Университете ИТМО на основании экспериментальных данных по теплопроводности бинарных смесей жидких хладагентов R22/R115 и R22/R13B1 предложена зависимость
|
|
|
|
|
|
|
, |
(1.29) |
|
|
|
|
|
|
|
||||
где |
|
|
аддитивная |
составляющая теплопроводности; |
|
подго- |
|||
|
|
|
|||||||
ночный параметр; |
|
массовые доли компонентов смеси. |
|
|
|||||
|
|
|
|||||||
|
По данным авторов значение коэффициента постоянно и для |
||||||||
упомянутых выше смесей оказалось равным 0,2. Уравнение (1.29) было использовано Ю.А. Михно при анализе данных о теплопроводности бинарных смесей хладагентов R12/R22 и трехкомпонентной смеси R12/R22/R142b (R601). Установлено, что при помощи этого
уравнения с тем же значением |
можно вычислить с погрешностью |
эксперимента теплопроводность |
смеси R12/R22 и даже сме- |
си R12/R22/R142b. При этом в уравнении (1.29) необходимо учесть концентрацию третьего компонента:
. |
(1.30) |
Следует отметить, что уравнения, аналогичные (1.29) и (1.30), были предложены С.И. Конрадом для описания экспериментальных
данных о вязкости смесей хладагентов R12/R22, |
R12/R22/R142b |
и R601/R744. Как и для теплопроводности, значение |
оказалось рав- |
ным 0,2. |
|
Интересна особенность применения уравнения (1.29) для описания концентрационной зависимости теплопроводности жидких смесей R14/R22 в работе С.В. Ильюшенко. Дело в том, что критиче-
ские температуры этих |
хладагентов значительно отличаются |
для R14 и |
для R22), причем один из |
компонентов смеси – жидкость, другой может находиться в газовой фазе. В этом случае предлагается уравнение (1.29) записать в более общей форме:
14
, |
(1.31) |
где 












Значения 

, при которых выбираются
и
соответству-
ют значениям приведенных температур и давлений для смеси. В частности,
и 
молярные доли компонентов, для смеси жидких хладагентов параметр
также постоянен, но равен минус 0,0225.
Уравнение (1.31) можно использовать и для описания теплопроводности смеси в состоянии плотного газа, представив коэффициент
в виде
|
|
|
|
|
(1.32) |
|
Значения коэффициентов уравнения (1.32), найденные по экс- |
||||
периментальным данным теплопроводности смеси R14/R22 и урав- |
|||||
нению состояния Редлиха–Квонга–Вильсона, составили: |
|||||
а10 |
= 0,1038063·104; а20 |
= –0,2169432·104; |
а30 |
= |
0,2486609·103; |
а40 |
= –0,1809998·103; а50 |
= 0,4989160·103; |
а11 |
= |
0,2522119·103; |
а21 |
= 0,1019109·104; а31 |
= 0,1052906·104; |
а41 |
= |
–1294380·104; |
а51 |
= – 0,2673547·103. |
|
|
|
|
Описанная методика расчета теплопроводности смесей хладагентов была разработана для составления таблиц теплопроводности
при значениях |
|
в интервале темпера- |
тур |
и давлений до |
. |
В холодильной технике широкое применение в качестве хладоносителей получили растворы хлоридов щелочных и щелочноземельных металлов.
Уравнение для расчета теплопроводности водных растворов хлоридов кальция, натрия, магния и калия во всем интервале концентраций (вплоть до эвтектической) и интервале температур от 20 °С до эвтектической по Перельштейну имеет вид
(1.33)
Теплопроводность воды в функции температуры для указанного диапазона температур вычисляется по формуле
15