. |
(1.34) |
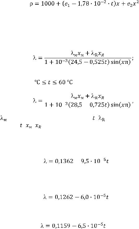
Уравнения (1.33), (1.34) описывают теплопроводность воды и водных растворов в пределах погрешности опытных данных. Значения постоянной
для расчета свойств водных растворов хлоридов щелочных и щелочно-земельных металлов приведены в табл. 1.6. Необходимо отметить, что уравнение (1.33) может быть также рекомендовано для расчета и прогнозирования теплопроводности ингибированных хладоноcителей. В этом случае 
это суммарная концентрация ингибитора и хлорида металла.
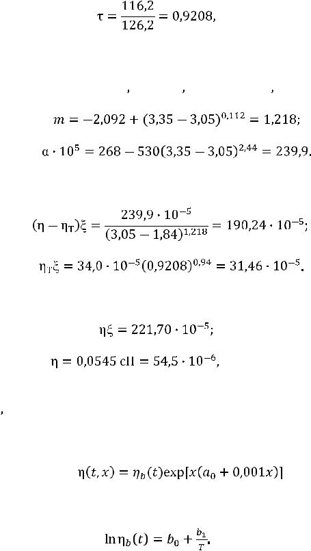
Таблица 1.6
Значения коэффициентов уравнений (1.33) и (1.35)
|
|
|
|
Коэффициент |
|
|
Водный раствор |
|
|
|
|
|
|
|
|
|
|
|
|
|
|
|
|
|
|
|
|
|
|
|
|
|
|
|
Хлорид кальция |
1,00 |
|
1,038 |
8,34 |
4,90 |
|
|
|
|
|
|
|
|
Хлорид натрия |
0,75 |
|
0,936 |
7,37 |
2,45 |
|
|
|
|
|
|
|
|
Хлорид магния |
2,40 |
|
2,126 |
8,06 |
4,18 |
|
|
|
|
|
|
|
|
Хлорид калия |
1,70 |
|
1,748 |
6,25 |
3,85 |
|
|
|
|
|
|
|
|
Значения
для других водных растворов можно определить, зная значение теплопроводности раствора при заданной температуре. Например, для расчета теплопроводности раствора при температуре 20 °С уравнение приобретает вид
. |
(1.35) |
Значения коэффициентов
,
и
даны в табл. 1.6.
Зная 

и определив
, по уравнению (1.33) можно рассчитать теплопроводность раствора во всем диапазоне температур, вплоть до эвтектической температуры.
16
Формула для определения плотности водных растворов хлоридов металлов в зависимости от концентрации и температуры имеет вид
. |
(1.36) |
Теплопроводность смесей холодильное масло–холодильный агент может быть рассчитана по следующим формулам:
– для 







(1.37)
– для 
|
|
|
|
|
|
|
|
|
|
|
|
|
|
|
|
|
(1.38) |
|
|
|
|
|
|
|
|
|
|
|
|
|
|
|
|
||
|
|
|
|
|
|
|
|
|
|
|
|
|
|
|
|
||
где |
|
|
теплопроводность масла при ; |
|
теплопроводность хлад- |
||||||||||||
|
|
|
|||||||||||||||
агента при ; , |
|
|
массовая концентрация масла и хладагента. |
||||||||||||||
|
|
||||||||||||||||
|
Теплопроводность для холодильных масел может быть рассчи- |
||||||||||||||||
тана по таким формулам: |
|
|
|||||||||||||||
|
– для масла КМ30 |
|
|
||||||||||||||
|
|
|
|
|
|
|
|
|
, |
(1.39) |
|||||||
|
|
|
|
|
|
|
|
||||||||||
|
|
|
|
|
|
||||||||||||
– для масла 51KM33
, |
(1.40) |
– для масла Шелл 22-12
, |
(1.41) |
– для масла ХФ22-24
17
|
|
|
|
|
|
|
|
|
|
|
|
|
|
|
|
|
|
|
|
|
|
|
|
|
|
|
|
, |
|
(1.42) |
|
|
|
|
|
|
|
|
|
|
|
|
|
|
|
|
|
|
|
||||||||||||||
|
|
|
|
|
|
|
|||||||||||||||||||||||||
|
– для масла ХФ12–18 |
|
|
||||||||||||||||||||||||||||
|
|
|
|
|
|
|
|
|
|
|
|
|
|
|
|
|
|
|
|
|
|
|
|
, |
|
(1.43) |
|||||
|
|
|
|
|
|
|
|
|
|
|
|
|
|
|
|
|
|||||||||||||||
|
|
|
|
|
|
||||||||||||||||||||||||||
|
– для масла ХА30 |
|
|
||||||||||||||||||||||||||||
|
|
|
|
|
|
|
|
|
|
|
|
|
|
|
|
|
, |
|
|
(1.44) |
|||||||||||
|
|
|
|
|
|
|
|
|
|
|
|
||||||||||||||||||||
|
|
|
|
||||||||||||||||||||||||||||
|
– для масла ХФ22с-16 |
|
|
||||||||||||||||||||||||||||
|
|
|
|
|
|
|
|
|
|
|
|
|
|
|
|
|
. |
|
(1.45) |
||||||||||||
|
|
|
|
|
|
|
|
|
|
|
|
||||||||||||||||||||
|
|
|
|||||||||||||||||||||||||||||
|
Для расчета плотности масло-фреоновых смесей (г/см3) могут |
||||||||||||||||||||||||||||||
быть использованы следующие зависимости: |
|
|
|||||||||||||||||||||||||||||
|
– для смеси масло 51КМ33/R11 |
|
|
||||||||||||||||||||||||||||
|
|
|
|
|
|
|
|
|
|
|
|
|
|
|
|
|
|
|
|
|
|
|
|
|
|
|
|
|
|
; |
(1.46) |
|
– для смеси масло 51КМ33/R12 |
||||||||||||||||||||||||||||||
|
|
|
|||||||||||||||||||||||||||||
|
|
|
|
|
|
|
|
|
|
|
|
|
|
|
|
|
|
|
|
|
|
|
|
|
|
|
|
|
|
; |
(1.47) |
|
– для смеси масло КМ30/R22 |
||||||||||||||||||||||||||||||
|
|
|
|||||||||||||||||||||||||||||
|
|
|
|
|
|
|
|
|
|
|
|
|
|
|
|
|
|
|
|
|
|
|
|
|
|
|
|
|
|
, |
(1.48) |
где |
|
|
концентрация холодильного агента в смеси. |
||||||||||||||||||||||||||||
|
|
|
|
||||||||||||||||||||||||||||
|
|
|
|
||||||||||||||||||||||||||||
|
Предложенные зависимости (1.46)–(1.48) |
справедливы |
|||||||||||||||||||||||||||||
для |
|
|
в интервале температур от –40 до 60 |
. Погрешность |
|||||||||||||||||||||||||||
вычислений не превышает |
|
|
|||||||||||||||||||||||||||||
|
Агрол и Тодос для расчета вязкости криогенных жидкостей на |
||||||||||||||||||||||||||||||
линии насыщения предложили уравнение [5] |
|
|
|||||||||||||||||||||||||||||
|
|
|
|
|
, |
|
(1.49) |
||||||||||||||||||||||||
|
|
|
|
||||||||||||||||||||||||||||
18
где
; |
(1.50) |
|||
|
|
|
; |
(1.51) |
|
||||
; |
(1.52) |
|||
; |
|
|
|
(1.53) |
|
. |
(1.54) |
||
|
||||
Для отдельных веществ получены следующие зависимости: для водорода










;
(1.55)
для других жидкостей
|
|
|
|
|
|
|
|
|
; |
(1.56) |
|
|
|
||||||||
|
для водорода |
|
||||||||
|
|
|
|
|
|
|
; |
(1.57) |
||
|
|
|
||||||||
|
для одноатомных жидкостей |
|
||||||||
|
|
|
|
|
; |
(1.58) |
||||
|
|
|
||||||||
|
для двухатомных жидкостей и метана |
|
||||||||
|
|
|
. |
(1.59) |
||||||
|
|
|||||||||
|
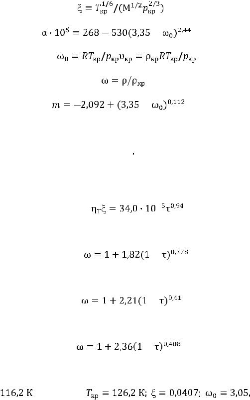
Пример расчета вязкости |
|
||||||||
|
Рассчитать вязкость жидкого азота на линии |
насыщения |
||||||||
при |
. Для азота: |
|
||||||||
19
Находим
при этом














;
Тогда
Откуда


.
Экспериментальное значение при этой температуре состави– ло 














Уравнение для расчета вязкости водных растворов η хлоридов натрия, кальция и магния имеет вид
, |
(1.60) |
где
(1.61)
20