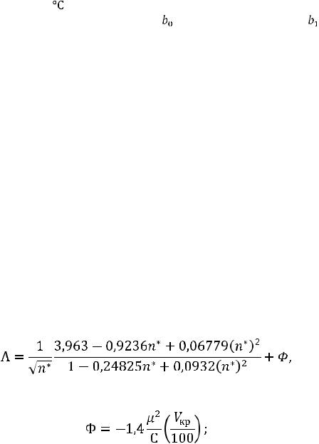
Значения постоянной
для водных растворов хлоридов натрия, кальция и магния соответственно равны 0; 0,01 и 0,033. Значения коэффициентов
и
приведены в табл. 1.7.
Таблица 1.7
Значения коэффициентов уравнения (1.61)
|
|
Коэффициент |
|
Температура, |
|
|
|
|
|
|
|
|
|
|
|
30–0 |
–7,395 |
|
2171 |
|
|
|
|
0–минус 21 |
–10,986 |
|
3152 |
|
|
|
|
–21–минус 55 |
–7,873 |
|
2367 |
|
|
|
|
2. ПРОГНОЗИРОВАНИЕ ТЕПЛОФИЗИЧЕСКИХ СВОЙСТВ ЖИДКОСТЕЙ
2.1. Термодинамические свойства
Возможности методов прогнозирования термодинамических свойств нормальных жидкостей рассмотрим на примере расчета свойств такого хладагента, как R11 (

, трихлорфторметан,
М = 123,37 кг/кмоль).
Определим параметр А Филиппова. Формула для вычисления
имеет следующий вид:
(2.1)
где
(2.2)
21
(2.3)
здесь 
величина, учитывающая вклад, вносимый дипольным взаимодействием; 
постоянная параметра дисперсионного взаимодействия; 
молярный критический объем, 
; 
число периферийных атомов молекулы; 

атомный и групповой инкремент, определяемый по данным табл. 2.1.
Таблица 2.1
Значения атомных и групповых инкрементов
Атомы, группы атомов |
|
||||||||
|
|
|
|
|
|
|
|
|
|
|
|
|
|
|
|
|
|
|
1 |
|
|
|
|
|
|
|
|
|
|
|
|
|
|
|
|
|
|
|
1 |
|
|
|
|
|
|
|
|
|
|
|
|
|
|
|
|
|
|
|
1,30 |
|
|
|
|
|
|
|
|
|
|
|
|
|
|
|
|
|
|
|
0,15 |
|
|
|
|
|
|
|
|
|
|
|
|
|
|
|
|
(в алканах) |
|||
|
|
|
|
||||||
|
|
|
|
|
|
|
|
|
|
|
|
|
|
|
|
|
|
|
|
|
|
|
|
|
|
|
|
|
|
|
|
|
|
|
|
(в алкенах) |
1 |
||
|
|
|
|
|
|
|
|
|
|
|
|
|
|
|
|
|
|
0,85 |
|
|
|
|
|
|
|
|
|
||
|
|
|
|
|
|
(в циклах) |
|||
|
|
|
|
|
|
||||
|
|
|
|
|
|
|
|
|
|
|
|
|
|
|
|
|
|
|
|
|
|
|
|
|
|
|
|
|
|
Величина Ф для полярных молекул, как правило, невелика и, по оценкам, не превышает 1 %, в то время как сама погрешность определения
, в том числе и для слабо полярных веществ, не более 2 %.
Учитывая, что молекула R11 неполярна, рассчитываем
без поправки Ф. По данным табл. 2.1, 









, откуда 


.
В основе расчета молярного критического объема лежит инкрементный расчет по табл. 2.2.
Молярный критический объем вещества вычисляется по фор-
муле
(2.4)
22
Таблица 2.2
Инкременты для расчета молярного критического объема
Атом |
Доля |
Связь |
|
Доля |
|
|
|
|
|
|
23,0 |
|
|
13,2 |
|
|
|
|
|
|
17,0 |
|
|
18,0 |
|
|
|
|
|
|
21,0 |
|
|
18,0 |
|
|
|
|
|
|
13,5 |
|
|
18,0 |
|
|
|
|
|
|
58,0 |
|
|
32,7 |
|
|
|
|
|
|
33,1 |
|
|
63,5 |
|
|
|
|
|
|
63,5 |
|
|
60,5 |
|
|
|
|
|
|
82,0 |
|
– |
|
|
|
|
||
|
110,9 |
|
||
|
|
|
|
|
|
|
|
|
|
Для R11
Значение критической температуры можно вывести из следующей формулы:
где 
молярный критический объем, 
. Величина
рассчитывается по формуле
|
= |
|
. |
(2.6) |
Значения 
приведены в табл. 2.3.
23
Таблица 2.3
Значения 
для разных атомов
Инкремент |
Химический элемент |
1,14 |
0,60 |
2,42 |
0,41 |
3,35 |
Для R11







,
откуда 



.
Определяем |
по формуле |
|
|
|
|
|
|
|
(2.7) |
откуда |
. Зная |
и |
, рассчитаем |
из уравнения |
|
: |
|
|
|
Результаты расчета зависимости давления насыщенного пара R11 от температуры приведены в табл. 2.4. Они получены с помощью формулы
Значение температуры
в (2.8) найдем из выражения
, |
(2.9) |
откуда получим 



.
24
Таблица 2.4
Зависимость давления насыщенного пара R11 от температуры
|
Па |
|
|
Па |
Па |
–60 |
0,0122 |
20 |
0,88 |
100 |
8,17 |
–20 |
0,156 |
60 |
3,09 |
140 |
17,8 |
Результаты расчета плотности жидкости на линии насыщения хладагента R11 представлены в табл. 2.5. Расчеты проведены с использованием формулы
(2.10)
Таблица 2.5
Плотность жидкости на линии насыщения хладагента R11
–20 |
1,59 |
20 |
1,50 |
60 |
1,40 |
0 |
1,54 |
40 |
1,45 |
80 |
1,35 |
Определим плотность жидкости при 


:
Следовательно,
Зная |
, находим |






,
откуда
25