Определим 

из выражения
|
|
|
|
|
|
|
. |
|
|
|
|
(2.25) |
||||||||||||
|
||||||||||||||||||||||||
Имеем |
|
|
|
|
|
|
|
|||||||||||||||||
|
|
|
|
|
|
|
|
|
|
|
|
|
|
|
|
|
|
|
|
|
|
. |
|
|
|
|
|
|
|
|
|
|
|
|
|
|
|
|
|
|
|
|
|
|
|||||
Значения динамической вязкости |
на линии насыщения |
|||||||||||||||||||||||
при T = 353,15 K (t = 80 ºC) |
|
|
|
|
|
|
|
|||||||||||||||||
|
|
|
|
|
|
|
|
|
|
|
|
|
|
|
|
|
|
|
|
|
|
|
|
|
|
|
|
|
|
|
|
|
|
|
|
|
|
|
|
|
|
|
|
|
|
|
|
|
|
|
|
|
|
|
|
|
|
|
|
|
|
|
|
|
|
|
|
|
|
|
|
|
|
|
|
|
|
|
|
|
|
|
|
|
|
|
|
|
|
|
|
|
|
|
|
|
|
|
|
|
|
|
|
|
|
|
|
|
|
|
|
|
|
|
|
|
|
|
|
|
|
|
|
|
|
|
|
|
|
|
|
|
|
|
|
|
|
|
|
|
|
|
|
|
|
|
|
|
|
Справочные значения вязкости:
Для расчета динамической вязкости жидкости на линии насыщения может быть использован также метод Морриса. Уравнение Морриса имеет вид
, |
(2.26) |
где 

псевдокритическая вязкость, значения ее даны в табл. 2.7.
31
Таблица 2.7
Значения псевдокритической вязкости
Соединения |
|
Соединения |
|
Углеводороды |
0,0875 |
Спирты |
0,0819 |
Галогенозамещенные |
0,148 |
Простые эфиры, кетоны, |
0,096 |
углеводороды |
|
альдегиды, ацетаты |
|
Значение
рассчитывается с помощью уравнения
|
|
|
|
(2.27) |
|
|
|||
где |
|
структурные составлявшие, значения которых приведены |
||
|
||||
втабл. 2.8; 
число, показывающее, сколько раз группа появляется
вмолекуле.
Таблица 2.8
Значения структурных составляющих
|
|
|
Группа |
|
|
|
|
|
|
Группа |
|
|||||||||||||||||
|
|
|
|
|
|
|
|
|
|
|
|
0,0825 |
|
|
|
|
|
|
|
|
|
|
|
|
|
0,2058 |
||
|
|
|
|
|
|
|
|
|
|
|
|
|
|
|
|
|
|
|
|
|
|
|
|
|
||||
|
|
|
|
|
|
|
|
|
|
|
|
|
|
|
|
|
|
|
|
|
|
|
|
|
||||
|
|
|
|
|
|
|
|
|
|
|
|
|
|
|
|
|
|
|
|
|
|
|||||||
|
|
|
|
|
|
|
|
|
|
|
|
|
|
|
|
|
|
|
|
|
|
|
|
|
|
|
|
|
|
|
|
|
|
|
|
|
|
|
|
|
|
|
|
|
|
|
|
|
|
|
|
|
|
|
|
|
|
Галогенозамещенная |
|
|
|
|
0 |
|
|
|
|
|
|
|
|
|
|
|
|
|
0,1470 |
|||||||||
|
|
|
|
|
|
|
|
|
|
|
|
|
|
|||||||||||||||
Галогенозамещенная |
|
|
|
|
0,0893 |
|
|
|
|
|
|
|
|
|
|
|
|
|
0,1344 |
|||||||||
|
|
|
|
|
|
|
|
|
|
|
|
|
|
|||||||||||||||
|
|
|
|
|
|
|
|
|
|
|
|
|
|
|
|
|
|
|
|
|
|
|
|
|
|
|
|
|
|
|
|
|
|
|
|
|
|
|
|
|
|
|
|
|
|
|
|
|
|
|
|
|
|
|
|
|
|
|
|
|
|
|
|
|
|
|
|
|
|
|
|
|
|
|
|
|
|
|
|
|
|
|
|
|
|
|
Галогенозамещенная |
|
|
|
|
|
|
|
|
|
|
|
|
|
|
|
|
|
|
|
|
|
0,1908 |
||||||
|
|
|
|
|
|
|
|
|
|
|
|
|
|
|
|
|
|
|
|
|
||||||||
|
|
|
|
|
|
|
0 |
|
|
|
|
|
|
|
|
|
|
|
|
|
0,1090 |
|||||||
|
|
|
|
|
|
(для простых |
||||||||||||||||||||||
|
|
|
|
|
|
|
|
|
|
|
|
|
|
|
||||||||||||||
|
|
|
|
|
|
|
|
|
|
|
|
|
|
|
||||||||||||||
|
|
|
|
|
|
|
|
|
|
|
|
|
|
|
|
эфиров) |
|
|||||||||||
|
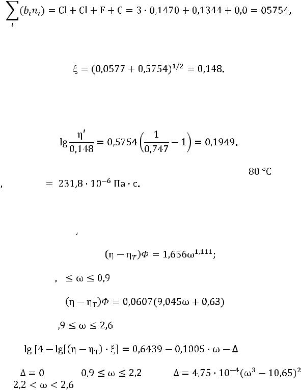
По табл. 2.8 |
|
|
находим значение |
|
|
|
|
|
|
|
для хладагента R11: |
||||||||||||||||





.
32
Рассчитываем
. Имеем
тогда
По уравнению (2.26)
Расчетное значение динамической вязкости при |
равно |
0 

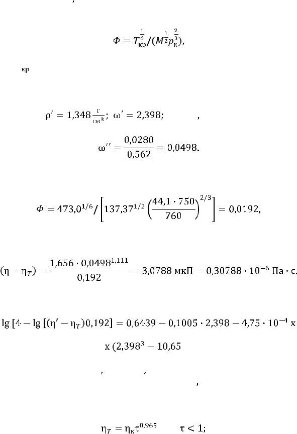
Отметим еще одну возможность расчета динамической вязкости по методу Тодоса [6, 7]:
– для 



(2.28)
– для 

; |
(2.29) |
– для 
, |
(2.30) |
где |
для |
или |
для |
|
. |
33
При 






произведение 



равно соответственно 90,0 и 250,0. В этих уравнениях
где 
в физических атмосферах; 

вязкость газа при атмосферном давлении.
Для хладагента R11 при 








,
Для насыщенного пара
откуда
Для насыщенней жидкости

,
откуда 











.
Получаем 

















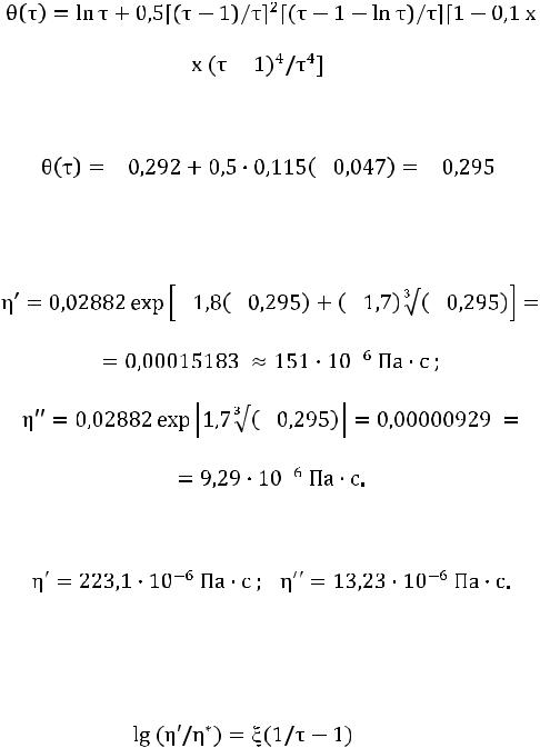
Для расчета вязкости газа целесообразно воспользоваться ме-
тодом Голубева [6]:
для |
(2.31) |
34
|
|
, |
(2.32) |
|||
где |
. |
|
|
|
|
|
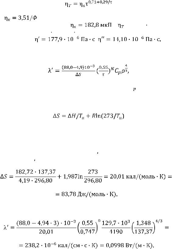
Для |
R11 получаем: |
; |
= 182,8 0,7470,965 = |
|||
= 137,96 мкПа ≈ 13,8 10–6 Па |
|
с. |
|
|
|
|
В итоге |
|
, |
|
|
|
|
|
|
|
|
|||
По теплопроводности насыщенной жидкости один из способов расчета предложили Л. Роббинс и С. Кингри [8]:
(2.33)
где 
молярная плотность жидкости, 

; 
молярная теплоемкость жидкости, 





теплопроводность жидкости, 




);
, |
(2.34) |
здесь 
молярная теплота парообразования при нормальной температуре кипения.
Значения параметров
и
приведены в табл. 2.9.
Для R11 при 







по табл. 2.9 

и, поскольку 






, 

. Для расчета энтропии имеем
По уравнению (2.33)
35